外排序&归并排序具体分析
问题:10g大小的数据,只有1g大小的内存?如何对他们进行排序?
基本思想分治加多路归并
读取10g的大文件,用指针读读入0到1g的数据到内存,然后排序,然后写入到小文件
就这样写好了10个排好序的小文件
对于普通的归并排序
每次读入,10个文件里面最前面的那个数,比较9次,将最小的那个写入大文件,最小的那个数指针后移。到第二位。
总共的数字是n个的话,时间复杂度就是n*(k-1)

但在每轮比较的过程中,我们其实后一轮只是在前一轮的基础上,改变了一个数字,前一轮的一些信息我们是可以利用得到的,所以我们这里采用树选择排序的方法
胜者树和败者树:
胜者树和败者树都是完全二叉树,是树形选择排序的一种变型。每个叶子结点相当于一个选手,每个中间结点相当于一场比赛,每一层相当于一轮比赛。
不同的是,胜者树的中间结点记录的是胜者的标号;而败者树的中间结点记录的败者的标号(然后拿来比较的确实胜者,所以在根节点除了维持最终败者的节点,同时也维持了最终胜者的节点)。
胜者树与败者树可以在log(n)的时间内找到最值。任何一个叶子结点的值改变后,利用中间结点的信息,还是能够快速地找到最值。在k路归并排序中经常用到。
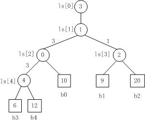
胜者树:

上图是一个胜者树的示例。规定数值小者胜。
1. b3 PK b4,b3胜b4负,内部结点ls[4]的值为3;
2. b3 PK b0,b3胜b0负,内部结点ls[2]的值为3;
3. b1 PK b2,b1胜b2负,内部结点ls[3]的值为1;
4. b3 PK b1,b3胜b1负,内部结点ls[1]的值为3。.
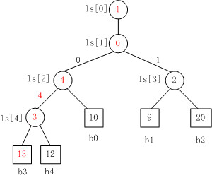
上图中叶子结点b3的值变为11时,重构的胜者树下图所示。
1. b3 PK b4,b3胜b4负,内部结点ls[4]的值为3;
2. b3 PK b0,b0胜b3负,内部结点ls[2]的值为0;
3. b1 PK b2,b1胜b2负,内部结点ls[3]的值为1;
4. b0 PK b1,b1胜b0负,内部结点ls[1]的值为1。.

败者树:(除了根部多维持一个节点,再就是修改一个节点的时候,不用去与它的兄弟节点比较,直接去与它的父节点进行比较)

上图是一棵败者树。规定数大者败。
1. b3 PK b4,b3胜b4负,内部结点ls[4]的值为4;
2. b3 PK b0,b3胜b0负,内部结点ls[2]的值为0;
3. b1 PK b2,b1胜b2负,内部结点ls[3]的值为2;
4. b3 PK b1,b3胜b1负,内部结点ls[1]的值为1;
5. 在根结点ls[1]上又加了一个结点ls[0]=3,记录的最后的胜者。
败者树重构过程如下:
· 将新进入选择树的结点与其父结点进行比赛:将败者存放在父结点中;而胜者再与上一级的父结点比较。
· 比赛沿着到根结点的路径不断进行,直到ls[1]处。把败者存放在结点ls[1]中,胜者存放在ls[0]中。

上图是当b3变为13时,败者树的重构图。
注意,败者树的重构跟胜者树是不一样的,败者树的重构只需要与其父结点比较。对照Fig. 3来看,b3与结点ls[4]的原值比较,ls[4]中存放的原值是结点4,即b3与b4比较,b3负b4胜,则修改ls[4]的值为结点3。同理,以此类推,沿着根结点不断比赛,直至结束。
由上可知,败者树简化了重构。败者树的重构只是与该结点的父结点的记录有关,而胜者树的重构还与该结点的兄弟结点有关
在选用数选择排序以后我们的时间复杂度就变为了log(k)*(n-1)
在对每个小文件内排序的时候,我们也需要选定一定的内排序的方法(这个当时阿里面试官怼我了)
当原表有序或基本有序时,直接插入排序和冒泡排序将大大减少比较次数和移动记录的次数,时间复杂度可降至O(n);
而快速排序则相反,当原表基本有序时,将蜕化为冒泡排序,时间复杂度提高为O(n2);
原表是否有序,对简单选择排序、堆排序、归并排序和基数排序的时间复杂度影响不大。
所以不要干啥就快排!!!记住
本文来自博客园,作者:LeeJuly,转载请注明原文链接:https://www.cnblogs.com/peterleee/p/11343933.html

浙公网安备 33010602011771号