Fork me on GitHub

多用户MIMO-数学模型与容量

多用户通信环境:蜂窝系统中一个基站BS同时服务多个移动台MS,假设BS和每个MS分别有\(N_B\)\(N_M\)根天线,K个独立用户可以形成一个\(K\times N_M\)的虚天线集,与一个具有 \(N_B\)根天线的BS通信时,这种端到端的配置可以被认为是一个\((K\cdot N_M)\times N_B\)的MIMO下行系统或者是一个\(N_B\times (K\cdot N_M)\)的MIMO下行系统。

在多用户MIMO系统中,下行和上行信道分别被称为广播信道(BC)和多址接入信道(MAC).在MAC中,基站的接收机可以获得\(K\)个独立用户的所有数据流,此时多用户MIMO系统的上行容量与\(min(N_B,K\cdot N_M)\)成正比。

数学模型

MAC

MAC信道模型的特点是对于每个用户,发送/接收的信息不同,多址技术需要考虑信道资源的正交性(时间,空间,频率等),在同样的信道资源下划分子信道,利用子信道的正交性完成对不同用户不同信息的收发。例如基站的多址接入。

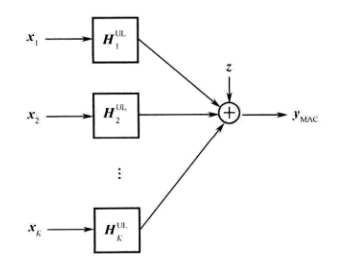
\(\mathbf{x}_u\in\mathbb{C}^{N_M\times 1},u=1,2,\cdots,K\) 表示来自第\(u\)个用户的发送信号;\(\mathbf{y}_{MAC}\in\mathbb{C}^{N_B\times 1}\)表示BS的接收信号;\(\mathbf{H}^{UL}_{u}\in\mathbb{C}^{N_B\times N_M},u=1,2,\cdots,K\)表示第\(u\)个用户和基站之间的信道增益。接收信号可以表示为

\[\mathbf{y}_{MAC}=\mathbf{H}_1^{UL}\mathbf{x}_1+\mathbf{H}_2^{UL}\mathbf{x}_2 +\cdots+\mathbf{H}_K^{UL}\mathbf{x}_K+\mathbf{z}\\ =\left[\begin{matrix}\mathbf{H}_1^{UL}\ \mathbf{H}_2^{UL} \cdots \mathbf{H}_K^{UL}\end{matrix}\right]\left[\begin{matrix}\mathbf{x}_1\\\vdots\\\mathbf{x}_K\end{matrix}\right]+\mathbf{z} =\mathbf{H}^{UL}\left[\begin{matrix}\mathbf{x}_1\\\vdots\\\mathbf{x}_K\end{matrix}\right]+\mathbf{z} \tag{1} \]

其中\(\mathbf{z}\in\mathbb{C}^{N_B\times 1}\)为接收机的加性噪声,将其建模为一个ZMCSCG随机向量。

fig1. 多用户MIMO系统的上行信道模型:MAC

BC

BC信道通常适合卫星通信建模,特点是对每个用户,都收发相同的信息,需要考虑各个用户经历的不同信道衰落。

\(\mathbf{x}\in\mathbb{C}^{N_B\times 1}\) 表示BS的发送信号;\(\mathbf{y}_{u}\in\mathbb{C}^{N_M\times 1}\)表示接收信号,\(u=1,2,\cdots,K\);令\(\mathbf{H}^{DL}_{u}\in\mathbb{C}^{N_M\times N_B},u=1,2,\cdots,K\)表示第\(u\)个用户和基站之间的信道增益,在BC中,第\(u\)个用户的接收信号可以表示为

\[\mathbf{y}_u=\mathbf{H}_{u}^{DL}\mathbf{x}+\mathbf{z}_u,u=1,2,\cdots,K \tag{2} \]

其中,\(\mathbf{z}_u\in\mathbb{C}^{N_M\times 1}\)表示第\(u\)个用户的加性ZMCSCG噪声,整个系统可以表示为

\[\left[\begin{matrix}\mathbf{y}_1\\\mathbf{y}_2\\\vdots\\\mathbf{y}_K\end{matrix}\right]=\left[\begin{matrix}\mathbf{H}^{DL}_1\\\mathbf{H}^{DL}_2\\\vdots\\\mathbf{H}^{DL}_K\end{matrix}\right]\mathbf{x}+\left[\begin{matrix}\mathbf{z}_1\\\mathbf{z}_2\\\vdots\\\mathbf{z}_K\end{matrix}\right] \]

fig2.多用户MIMO系统的下行信道模型:BC

IC

IC是更加泛化的信道模型,去除MAC信道中的子信道正交化前提,去除BC信道中相同信息假设,不限制场景中所有用户的收发,对于K个用户共存的场景,令 \(\mathbf{x}_u\in\mathbb{C}^{N_B\times 1},u=1,2,\cdots,K\) 表示第\(u\)个用户的发送信号;\(\mathbf{y}_{u}\in\mathbb{C}^{N_M\times 1}\)表示第\(u\)个用户的接收信号,\(u=1,2,\cdots,K\);令\(\mathbf{H}^{DL}_{u}\in\mathbb{C}^{N_M\times N_B},u=1,2,\cdots,K\)表示第\(u\)个用户和基站之间的信道增益,在IC中,第\(u\)个用户的接收信号可以表示为

\[\mathbf{y}_u=\mathbf{H}_{u}^{DL}\mathbf{x }_u+\sum_{i=1,i\neq u}^{K}\mathbf{H}_{u}^{DL}\mathbf{x }_i+\mathbf{z}_u,u=1,2,\cdots,K \tag{3} \]

信道容量

MAC容量

\(P_u\)\(R_u\)分别表示在\(K\)个用户的MIMO系统中第\(u\)个用户的功率和数据速率。令\(K=2,N_M=1\),即两用户MAC容量区域表示为

\[R_1\le \text{log}_2\left(1+\frac{\begin{Vmatrix}\mathbf{H}^{UL}_1\end{Vmatrix}^2P_1}{\sigma_z^2}\right)\\ R_2\le \text{log}_2\left(1+\frac{\begin{Vmatrix}\mathbf{H}^{UL}_2\end{Vmatrix}^2P_2}{\sigma_z^2}\right)\\ R1+R2\le\text{log}_2\left(1+\frac{\begin{Vmatrix}\mathbf{H}^{UL}_1\end{Vmatrix}^2P_1}{\sigma_z^2}+\frac{\begin{Vmatrix}\mathbf{H}^{UL}_2\end{Vmatrix}^2P_2}{\sigma_z^2}\right) \tag{4} \]

上式分别对应单用户服务和发射端协作两种情况,该容量区域可以通过MMSE-SIC检测得到。发射端独立发送信号并在BS处叠加,接收信号可以表示为

\[\mathbf{y}_{MAC}=\mathbf{H}_{1}^{DL}x_1+\mathbf{H}_{2}^{DL}x_2+\mathbf{z} \tag{5} \]

检测信号\(x_1\)时假设另一个用户的信号为干扰,只要传输速率小于相应的信道容量,即

\[R_1= \text{log}_2\left(1+\frac{\begin{Vmatrix}\mathbf{H}^{UL}_1\end{Vmatrix}^2P_1}{\sigma_z^2+\begin{Vmatrix}\mathbf{H}^{UL}_2\end{Vmatrix}^2P_2}\right) \tag{6} \]

\(x_1\)就可以被正确检测,然后从接收信号中删除\(x_1\),再从无干扰的信号中检测\(x_2\),可达到用户2的信道容量为

\[R_2= \text{log}_2\left(1+\frac{\begin{Vmatrix}\mathbf{H}^{UL}_2\end{Vmatrix}^2P_2}{\sigma_z^2}\right) \tag{7} \]

当然这种干扰消除策略存在差错传播以及信道信息难以被完美估计等问题。

A与C之间的容量区域可以采用分时或者速率分拆的方式获得。

BC容量

利用脏纸编码(DPC)可以达到高斯广播信道的容量区域,讨论BS具有两根天线并服务于下行两个独立的单天线用户。用户接收信号可以表示为

\[\left[\begin{matrix}\mathbf{y}_1\\\mathbf{y}_2\end{matrix}\right]=\left[\begin{matrix}\mathbf{H}^{DL}_1\\\mathbf{H}^{DL}_2\end{matrix}\right]\left[\begin{matrix}x_1\\x_2\end{matrix}\right]+\left[\begin{matrix}z_1\\z_2\end{matrix}\right]\\ \to \mathbf{y}_{BC}=\mathbf{H}^{DL}\mathbf{x}+\mathbf{z} \tag{8} \]

假设基站可以获得完全的信道信息,对信道进行LQ分解,即

\[\mathbf{H}^{DL}=\left[\begin{matrix}l_{11}&0\\l_{21}&l_{22}\end{matrix}\right]\left[\begin{matrix}\mathbf{q}_1\\\mathbf{q}_2\end{matrix}\right]\\ \to \mathbf{H}^{DL}=\mathbf{LQ} \tag{9} \]

其中

\[l_{11}=\begin{Vmatrix}\mathbf{H}^{DL}_1\end{Vmatrix},\\ \mathbf{q}_1=\frac{\mathbf{H}^{DL}_1}{\begin{Vmatrix}\mathbf{H}^{DL}_1\end{Vmatrix}}, \\ l_{21}=\mathbf{q}_1\cdot(\mathbf{H}^{DL}_2)^H,\\ l_{22} = \begin{Vmatrix}\mathbf{H}^{DL}_2-l_{21}\mathbf{q}_1\end{Vmatrix},\\ \mathbf{q}_2=\frac{1}{l_{22}}(\mathbf{H}^{DL}_2-l_{21}\mathbf{q}_1) \tag{10} \]

\(\{\mathbf{q}_i\}^2_{i=1}\)是正交行向量,对发射信号进行预编码,即

\[\left[\begin{matrix}x_1\\x_2\end{matrix}\right]\gets \mathbf{Q}^H\left[\begin{matrix}x_1\\x_2-\frac{1}{l_{22}}l_{21}x_1\end{matrix}\right] \tag{11} \]

接收到的信息即可表述为

\[\mathbf{y}_{BC} = \mathbf{H}^{DL}\mathbf{x}+\mathbf{z}\\ =\left[\begin{matrix}l_{11}&0\\l_{21}&l_{22}\end{matrix}\right]\left[\begin{matrix}\mathbf{q}_1\\\mathbf{q}_2\end{matrix}\right]\left[\begin{matrix}\mathbf{q}^H_1&\mathbf{q}^H_2\end{matrix}\right]\left[\begin{matrix}x_1\\x_2-\frac{1}{l_{22}}l_{21}x_1\end{matrix}\right]\\ =\left[\begin{matrix}\begin{Vmatrix}\mathbf{H}_1^{DL}\end{Vmatrix}&0\\0&\begin{Vmatrix}\mathbf{H}_1^{DL}-l_{21}\mathbf{q}_1\end{Vmatrix}\end{matrix}\right] \left[\begin{matrix}x_1\\x_2\end{matrix}\right]+\mathbf{z} \tag{12} \]

可见产生了两个无干扰的虚拟信道,假设将总功率\(P\)分为\(\alpha P\)\((1-\alpha)P\),分别分配给第一个用户和第二个用户,则两个用户的容量分别为

\[R_1=\text{log}_2\left(1+\frac{\begin{Vmatrix}\mathbf{H}^{DL}_1\end{Vmatrix}^2\alpha P}{\sigma_z^2}\right)\\ R_2=\text{log}_2\left(1+\frac{\begin{Vmatrix}\mathbf{H}^{DL}_2-l_{21}\mathbf{q}_1\end{Vmatrix}^2(1-\alpha)P}{\sigma_z^2}\right) \tag{13} \]

IC容量

假设每个用户为单天线用户,干扰信道模型的信道容量可以表述为

\[R=\text{log}_2\text{det}\left(\mathbf{I}+\frac{\mathbf{H}^{DL}_i\mathbf{R}_i(\mathbf{H}_i^{DL})^H}{\sum_{j\neq i}\mathbf{H}^{DL}_i\mathbf{R}_j(\mathbf{H}_i^{DL})^H+\sigma^2_z}\right) \tag{14} \]

posted @ 2024-04-03 15:38  bupaanything  阅读(824)  评论(0)    收藏  举报
1