LeetCode每日一题——897. 递增顺序搜索树(深度优先搜索 递归 树)
题目描述
给你一棵二叉搜索树,请你 按中序遍历 将其重新排列为一棵递增顺序搜索树,使树中最左边的节点成为树的根节点,并且每个节点没有左子节点,只有一个右子节点。
示例 1:
输入:root = [5,3,6,2,4,null,8,1,null,null,null,7,9]
输出:[1,null,2,null,3,null,4,null,5,null,6,null,7,null,8,null,9]
示例 2:
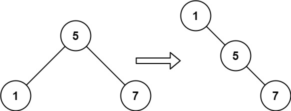
输入:root = [5,1,7]
输出:[1,null,5,null,7]
提示:
树中节点数的取值范围是 [1, 100]
0 <= Node.val <= 1000
思路
这题是我在leetcode上做每日一题中最简单的一题哈哈,其实就是会中序遍历和深搜就能出来。首先通过中序遍历将一组升序的数存到list集合中,然后再以当前list集合中的第一个元素为根节点,随之通过dfs将后面的数都作为前面一个数的右孩子组合成一棵树即可。
AC代码
1 /** 2 * Definition for a binary tree node. 3 * public class TreeNode { 4 * int val; 5 * TreeNode left; 6 * TreeNode right; 7 * TreeNode() {} 8 * TreeNode(int val) { this.val = val; } 9 * TreeNode(int val, TreeNode left, TreeNode right) { 10 * this.val = val; 11 * this.left = left; 12 * this.right = right; 13 * } 14 * } 15 */ 16 class Solution { 17 public TreeNode increasingBST(TreeNode root) { 18 List<Integer> list = new ArrayList<>(); 19 middleOrderTraversal(root, list); 20 21 TreeNode newRoot = new TreeNode(list.get(0)); 22 23 dfs(newRoot, list, 1); 24 25 return newRoot; 26 } 27 28 public void dfs(TreeNode root, List<Integer> list, int cur) { 29 if (cur == list.size()) { 30 return; 31 } 32 33 TreeNode newNode = new TreeNode(list.get(cur)); 34 root.right = newNode; 35 dfs(newNode, list, cur + 1); 36 } 37 38 // 中序遍历 39 public void middleOrderTraversal(TreeNode root, List<Integer> list) { 40 if (root == null) { 41 return; 42 } 43 44 if (root.left != null) { 45 middleOrderTraversal(root.left, list); 46 } 47 list.add(root.val); 48 if (root.right != null) { 49 middleOrderTraversal(root.right, list); 50 } 51 } 52 }
leetcode链接:https://leetcode-cn.com/problems/increasing-order-search-tree/

浙公网安备 33010602011771号