在word中使用Aurora插入Tex算法伪代码、表格和公式
1 环境配置
1.1 MikTex
1、去官网下载安装MikTex,选择相应的版本
https://miktex.org/download

2、输入包名搜索,加载相应的包

1.2 Aurora
1、自行搜索下载安装Aurora插件

2、使用:打开word->插入->对象->Aurora Equation


点击Properties

点击Paths,输入MikTex相应文件地址

点击Packages,配置包,把MikTex中下载的包导入

输入latex代码并点击Refresh进行编译

编译结束后,出现Done即编译完成

关闭对象,即在word中出现输入的内容

2 基本用法
2.1 插入公式
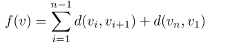
$f(v)= \sum\limits_{i=1}^{n-1}d(v_i,v_{i+1})+ d(v_n,v_{1})$

2.2 插入表格
\begin{table}[H]
\begin{center}
\begin{tabular}{lll}
20 & 30 \\
\end{tabular}
\end{center}
}
\end{table}
2.3 插入伪代码
\renewcommand{\thealgorithm}{2 }
\begin{algorithm}[H]
\caption{ The CoCS}
\label{alg:CoCS}
\begin{algorithmic}[1]
\STATE Initialize parameters$
\end{algorithmic}
本文来自博客园,作者:Patrick-Rex,转载请注明原文链接:https://www.cnblogs.com/patrickrex/p/18028765
浙公网安备 33010602011771号