最小生成树
1.问题
w(t)=$$\sum_{(u,v)\in t}^n$W(u,v),在一给定的无向图G = (V, E) 中,(u, v) 代表连接顶点 u 与顶点 v 的边(即),而 w(u, v) 代表此边的权重,若存在 T 为 E 的子集(即)且为无循环图,使得
2.解析
有两种算法:分别是kruskal和prim算法
kruskal:
kruskal总时维护无向图的最小生成森林,最初森林由两条边构成,然后逐渐的去增加边。
1.从剩余的边中选择权值最小的边,判断两个节点是否在一棵树中
2.如果是在一棵树中那么就掠过这条边,重复步骤1
3.若这两个节点不是在一棵树中,把该条边加入生成森林当中。
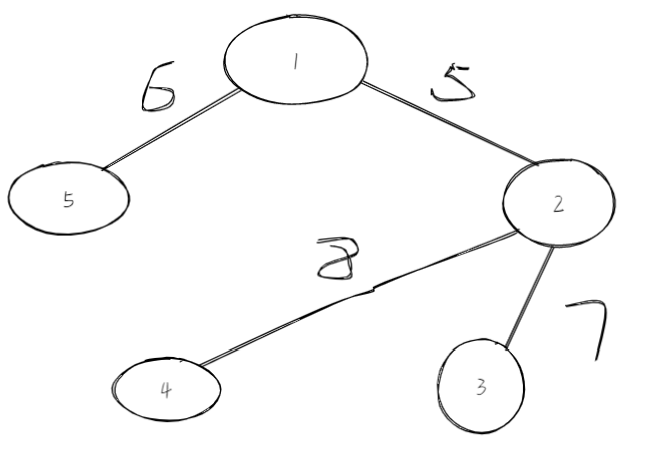
例子:
n=5,m=7
edge(分别表示两个节点和边值):
1 2 5
2 3 7
2 4 8
4 5 11
3 5 7
1 5 6
4 2 12
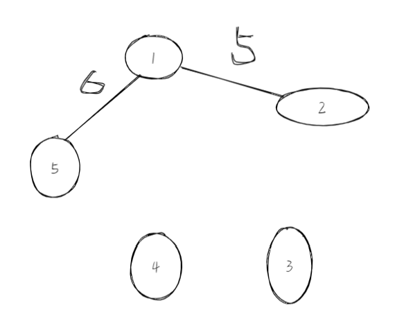
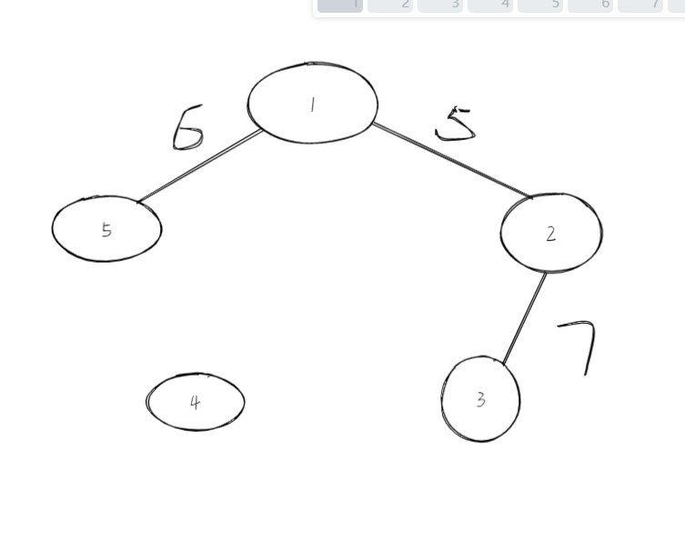
Step1:边长最小的5,两个不在一个树中,加入 Step2:选择边长最小的6,两点也不在一棵树中,加入
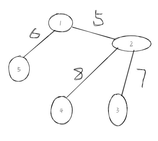
Step3:权值最小的7,选择2和3 Step4:3和5在一个树中,所以不选

Step5:选择边权为8的边,加入,选购了n-1条边,所以结束。

prim:
prim算法总是维护最小生成树的一部分。
1.设已经确定属于最小生成树的节点集合为T(初始时候节点包含1),剩余边的集合为S。
2.找到一条边两个端点x,y分别在T和S中,且是权值最小的边,将y从S中去除,加入到T中,并加上权值。
3.重复2。
例子:
n=5,m=7
edge(分别表示两个节点和边值):
1 2 5
2 3 7
2 4 8
4 5 11
3 5 7
1 5 6
4 2 12
Step1: Step2:

Step3: Step4:

3.设计
void kruskal() { 将所有的边按照从小到大的顺序排序一遍 int cnt=0;//用来存放有多少条边 ans=0;//用来存放MST的值 for(将所有的边遍历一遍) { 判断两个节点是否在一棵树中 if(在一棵树中) continue; 更新ans和cnt,并且将这两个节点更新到一棵树中 } }
void prim() { for(遍历所有点) { 找出当前最小生成树节点集合中最小的边,同时这个边连接的另外一个点不在这个集合中 去更新集合 } }
4.分析
kruskal复杂度O(mlog m) (适合稀疏图)
prim复杂度O(n^2),堆优化能达到O(n^2) (适合稠密图)
5.源码

浙公网安备 33010602011771号