零基础使用Swift学习数据科学
概述
- Swift正迅速成为数据科学中最强大、最有效的语言之一
- Swift与Python非常相似,所以你会发现2种语言的转换非常平滑
- 我们将介绍Swift的基础知识,并学习如何使用该语言构建你的第一个数据科学模型
介绍
Python被广泛认为是数据科学中最好、最有效的语言。近年来我遇到的大多数调查都将Python列为这个领域的领导者。
但事实是数据科学是一个广阔并且不断发展的领域。我们用来构建数据科学模型的语言也会随之发展。还记得R是什么时候的流行语言吗?它很快就被Python超越了。Julia语言去年也出现在数据科学中。目前现在有另一种语言正在蓬勃发展。
是的,我说的是Swift语言。

"我总是希望当我开始学习一门新语言的时候,会有一些开阔思维的新想法,这点Swift绝对不会让我失望。Swift易于解释,并且灵活,简洁,安全,易于使用,快速。大多数其他语言在这些方面都有很大的限制。"——Jeremy Howard
当Jeremy Howard认可一种语言并开始在日常的数据科学工作中使用该语言时,你有必要开始思考这个语言的优点了。
在本文中,我们将了解Swift作为一种编程语言,以及它如何适应数据科学领域。如果你是Python用户,你将注意到两者之间的细微差别和惊人的相似之处。这里也有很多代码,让我们开始吧!
目录
- 为什么选择Swift?
- 数据分析的Swift基础
- 在Swift中使用Python库
- Swift中使用TensorFlow建立基本模型
- 数据科学Swift的未来
为什么选择Swift?
PyTorch是为了克服Tensorflow中的限制。但现在我们正接近Python的极限,而Swift有可能填补这一空白。"——Jeremy Howard
最近,Swift作为一种数据科学语言引起了很多人的兴奋和关注。每个人都在谈论它。以下是你应该学习Swift的几个理由:
- Swift快,很接近C的速度了
- 同时,它有一个非常简单和可读的语法,非常类似Python:

- 与Python相比,Swift是一种更高效、更稳定、更安全的编程语言
- 这也是一种很好的移动语言。事实上,它是为iPhone开发iOS应用程序的官方语言
- 它对自动微分有强大的集成支持,这使它成为为数不多的用于数值计算的高级语言之一
- 它背后有谷歌、Apple、FastAI等的支持!
以下是Jeremy Howard对Swift的评价视频:https://youtu.be/drSpCwDFwnM
数据分析的Swift基础
在我们开始使用Swift执行数据科学的细节之前,让我们简要介绍一下Swift编程语言的基础知识。
Swift的生态系统
当前数据科学的Swift主要由两个生态系统组成:
- 开源生态系统
- 苹果的生态系统

开源生态系统是我们可以下载并在任何操作系统或机器上运行Swift的地方。我们可以使用非常酷的Swift库来构建机器学习应用程序,比如用于TensorFlow的Swift、SwiftAI和SwiftPlot。
Swift还允许我们无缝地从Python中导入成熟的数据科学库,如NumPy、panda、matplotlib和scikit-learn。
另一方面,苹果的生态系统本身就令人印象深刻。有一些有用的库,比如CoreML,可以让我们用Python来训练大型模型,并直接将它们导入到Swift中进行推理。此外,它还提供了大量的预先训练过的先进模型,我们可以直接使用它们来构建iOS/macOS应用程序。

还有其他有趣的库,比如swift ,coreml,transformer,可以让我们在iPhone上运行最先进的文本生成模型,比如GPT-2、BERT等。

当你需要为Apple设备构建基于机器学习的应用程序时,还有许多其他的库可以提供良好的功能。
这两个生态系统之间存在多种差异。但最重要的是,为了使用苹果的生态系统,你需要有一台苹果的机器,你只能为苹果的设备开发,如iOS, macOS等。
既然你已经有了Swift作为数据科学语言的概述,让我们进入代码吧!
为Swift设置环境
Swift可用于谷歌Colab与GPU和TPU版本。我们将使用它,以便你可以快速跟上它的速度,而不必在安装过程中花费太多时间。

你可以按照下面的步骤打开一个Colab笔记本,这是快速激活的:
- 打开一个空白的Swift笔记本(https://colab.research.google.com/github/tensorflow/swift/blob/master/notebooks/blank_swift.ipynb)
- 点击"File",然后选择"Save a copy in Drive"-这将保存一个新的Swift笔记本在你自己的谷歌驱动器上!

- 已经准备好开始写Swift代码了,一下是第一行:
print("hello world from Swift")
如果你想在你自己的系统上使用Swift,那么这里有一些你可以打开的链接:
- 如果你想在本地系统上安装Swift,你可以按照安装说明操作:https://swift.org/getting-started/#using-the-repl
- 在Ubuntu上安装Jupyter笔记本,请参考Jeremy Howard安装Swift的说明:https://forums.fast.ai/t/jeremys-harebrained-install-guide/43814
- 在Ubuntu上,你也可以用Docker安装Swift:https://github.com/apple/swift-docker
现在,让我们快速介绍一下一些基本的Swift函数,然后再进入使用它的数据科学功能。
打印功能
我相信你用过这个。它的工作方式与Python中非常相似。只需调用print(),在括号内输入你想打印的内容:
print("Swift is easy to learn!")
Swift的变量
Swift提供了两个有用的选项来创建变量:let和var. let用来创建一个"常量",这个常量的值在程序的任何地方都不能改变。var与我们在Python中看到的变量非常相似——你可以在程序的任何时候更改存储在其中的值。
让我们看一个例子来看看区别。创建两个变量a和b:
let a = "Analytics"
var b = "Vidhya"
现在,尝试改变a和b的值:
b = "AV"
a = "AV"
你会注意到,b能够不报错的更新其值,而a则给出一个错误:

这种创建常量与变量的能力非常有用,可以帮助我们防止代码中出现看不见的bug。你将在本文中进一步看到,我们将使用let来创建存储重要信息并且不需要变更值的常量,
这里有一个技巧:使用var来创建你想使用一些中间计算的结果,因为这些中间计算结果需要改变。类似地,使用let来存储训练数据或者结果,这些数据基本上就是你不想更改或弄乱的值。
此外,Swift还有一个很酷的功能,你甚至可以使用表情符号作为变量名!

这是因为Swift非常支持Unicode,所以我们可以用希腊字母来创建变量:
var π= 3.1415925
Swift的数据类型
Swift支持所有常见的数据类型,如整数、字符串、浮点数和双精度。我们可以赋值给任何变量,其类型会被Swift自动检测到:
let marks = 63
let percentage= 70.0
var name = "Sushil"
你还可以在创建变量时显式地编写数据类型。这有助于防止程序中的错误,因为如果类型不匹配。Swift将抛出一个错误:
let weight: Double = 72.8
可以做个小测验。创建一个显式类型为"Float"的值为4的常量,结果是会报错的。
有一种简单的方法可以将变量的值包含在字符串中,方法是将变量放在括号中,并在括号前写入反斜杠()。例如:

可以对占用多行的字符串使用三个双引号(""")。
列表和字典
Swift支持列表和字典数据结构,就像Python一样(这又是一个比较!)这里与Python不同,我们不需要像字典的"{}"和列表的"[]"这样的单独语法。
让我们用Swift创建一个列表和字典:
var shoppingList = ["catfish", "water", "tulips", "blue paint"]
shoppingList[1] = "bottle of water"
var occupationsDict = [
"Malcolm": "Captain",
"Kaylee": "Mechanic",
]
我们可以通过在"[]"括号内写入索引或者键来访问列表或字典的元素(类似于Python):
occupationsDict["Jayne"] = "Public Relations"
print(occupationsDict)
上面的代码将把"Jayne"和"Public Relations"的键值对添加到字典中。如果你打印以上的字典以下就是输出:

// Swift中的列表与字典
// 列表
var shoppingList = ["catfish", "water", "tulips", "blue paint"]
shoppingList[1] = "bottle of water"
print("List : ",shoppingList)
// 字典
var occupationsDict = [
"Malcolm": "Captain",
"Kaylee": "Mechanic",
]
occupationsDict["Jayne"] = "Public Relations"
print("Dictionary : " , occupationsDict)
使用循环
循环是任何编程语言最重要的特性之一,Swift不会让你失望。它不仅支持所有传统的循环机制(for、while等),而且还实现了它自己的一些变体。
for..in 循环
非常类似于Python,你可以使用在Swift中的list或者range使用for循环:

第一个例子中的三个点表示Swift中的"range"。如果我们想做a到b范围内的事情,我们会使用a…b的语法。
类似地,如果我们想不要最后一个数字,我们可以把这三个点改成"..<"像"a.."。
这里需要注意的另一点是,与Python不同,Swift不使用缩进的概念,而是使用花括号"{}"来表示代码层次结构。
你可以在Swift中以类似的方式使用while和其他类型的循环。你可以这里了解更多关于循环的信息:https://docs.swift.org/swift-book/LanguageGuide/ControlFlow.html。
条件(if-else)
Swift支持条件语句,如if, if..else, if..else..if, 嵌套if甚至switch语句(Python不支持)。if语句的语法非常简单:
if boolean_expression {
/* statement(s) will execute if the boolean expression is true */
}
boolean_expression可以是任何比较,只有在比较结果或表达式的计算结果为true时,才会执行if块中编写的语句。你可以在这里阅读其他条件语句:https://docs.swift.org/swift-book/LanguageGuide/ControlFlow.html。
函数
Swift函数在语法上与Python中的函数非常相似。这里的主要区别是我们使用了func关键字而不是def,并且我们明确地提到了参数的数据类型和函数的返回类型。
一个基本的函数如下:

和条件语句一样,我们使用花括号"{}"来表示属于这个函数的代码块。
用代码编写注释
编写注释是优秀代码最重要的方面之一。这适用于任何行业。这是你应该学习的最重要的编程技巧!
在你的代码里包含注释文本,作为对自己的注释或提醒。注释在编译时会被Swift忽略。
单行注释以两个斜杠(//)开头:
// 我是注释.
多行注释以一个前斜杠和一个星号(/*)开始,以一个星号和一个前斜杠(*/)结束:
/* 我是多行
注释. */
现在你已经熟悉了Swift的基础知识,让我们来学习一个有趣的功能——在Swift中使用Python库!
在Swift中使用Python库
Swift支持与Python的互操作性。这意味着你可以从Swift导入有用的Python库,调用它们的函数,并在Swift和Python之间无缝地切换。
这给了Swift的数据科学生态系统不可思议的力量。这个生态系统还很年轻,还在发展中,你已经可以使用成熟的库,如Numpy、panda和Python的Matplotlib来填补现有Swift产品的空白。
为了在Swift中使用Python的模块,你可以直接导入Python并加载任何你想要使用的库!
import Python
// 从python导入numpy
let np = Python.import("numpy")
// 创建0数组
var zeros = np.ones([2, 3])
print(zeros)
这与你在Python中使用NumPy的方式非常相似,不是吗?你可以对其他包做同样的事情,如matplotlib:

你已经学了不少关于Swift的东西。现在是时候构建你的第一个模型了!
使用TensorFlow建立Swift的基本模型

Swift4Tensorflow是Swift开源生态系统中最成熟的库之一。我们可以使用一个非常简单的keras类语法很容易的建立机器学习和深度学习模型。
它变得更加有趣!Swift4Tensorflow不仅仅是对TensorFlow的快速包装,它还被开发为该语言本身的一个特性。人们普遍认为,在不久的将来,它将成为该语言的核心部分。
这意味着来自苹果公司的Swift团队和谷歌的Tensorflow团队的工程师将确保你能够在Swift中进行高性能的机器学习。
该库还向Swift添加了许多有用的特性,比如对自动微分的原生支持(这让我想起了PyTorch中的Autograd),从而使它与数值计算更加兼容。

关于数据集
让我们来理解一下我们将在本节中使用的问题陈述。如果你以前接触过深度学习领域,你可能对它很熟悉。
我们将构建一个卷积神经网络(CNN)模型,使用MNIST数据集将图像分类为数字。该数据集包含6万张训练图像和1万张手写数字测试图像,可用于训练图像分类模型:

这个数据集是处理计算机视觉问题的一个相当常见的数据集,所以我不打算详细描述它。
开始项目
在开始构建模型之前,我们需要下载数据集并对其进行预处理。为了方便你,我已经创建了一个GitHub存储库,里面预处理了代码和数据
下载安装代码,下载数据集,导入必要的库:
%include "EnableIPythonDisplay.swift"
IPythonDisplay.shell.enable_matplotlib("inline")
import Foundation
import Python
let os = Python.import("os")
let plt = Python.import("matplotlib.pyplot")
os.system("git clone https://github.com/mohdsanadzakirizvi/swift-datascience.git")
os.chdir("/content/swift-datascience")
你的数据集现在将在Colab上下载。让我们加载数据集:
加载数据集
%include "/content/swift-datascience/MNIST.swift"
// 加载数据集
let dataset = MNIST(batchSize: 128)
// 获取前5张图
let imgs = dataset.trainingImages.minibatch(at: 0, batchSize: 5).makeNumpyArray()
print(imgs.shape)
探索MNIST
我们将从数据集绘制一些图像,以了解我们的工作是什么:
// 显示前5张图
# Display first 5 images
for img in imgs{
plt.imshow(img.reshape(28,28))
plt.show()
}
这是我们的图像是这样的:

看起来很直观,对吧?第一个数字是手写的0,第二个数字是4。
定义模型的结构
现在让我们定义模型的体系结构。我使用的是LeNet-5架构,这是一个非常基础的CNN模型,使用了2个卷积层,平均池化层和3个全连接层。
最后一个全连接层的形状是10,因为我们有10个目标类,每个数字一个从0到9:
import TensorFlow
let epochCount = 100
let batchSize = 128
// LeNet-5架构
var classifier = Sequential {
Conv2D<Float>(filterShape: (5, 5, 1, 6), padding: .same, activation: relu)
AvgPool2D<Float>(poolSize: (2, 2), strides: (2, 2))
Conv2D<Float>(filterShape: (5, 5, 6, 16), activation: relu)
AvgPool2D<Float>(poolSize: (2, 2), strides: (2, 2))
Flatten<Float>()
Dense<Float>(inputSize: 400, outputSize: 120, activation: relu)
Dense<Float>(inputSize: 120, outputSize: 84, activation: relu)
Dense<Float>(inputSize: 84, outputSize: 10, activation: softmax)
}
你可能已经注意到,这些代码看起来非常类似于Keras、PyTorch或TensorFlow等Python框架中。
编写代码的简单性是Swift最大的卖点之一。
Swift4Tensorflow你可以在这里阅读更多关于它的信息:https://www.tensorflow.org/swift/api_docs/Structs
选择梯度下降作为优化器
类似地,我们需要一个优化器函数来训练我们的模型。我们将使用Swift4Tensorflow中提供的随机梯度下降(SGD):
Swift4Tensorflow支持许多额外的优化器。你可以根据你的项目选择:
- AMSGrad
- AdaDelta
- AdaGrad
- AdaMax
- Adam
- Parameter
- RMSProp
- SGD
模型训练
现在一切都设置好了,让我们来训练模型!
print("Beginning training...")
struct Statistics {
var correctGuessCount: Int = 0
var totalGuessCount: Int = 0
var totalLoss: Float = 0
}
// 训练期间存储准确性结果
var trainAccuracyResults: [Float] = []
var testAccuracyResults: [Float] = []
// 训练循环
for epoch in 1...epochCount {
var trainStats = Statistics()
var testStats = Statistics()
// 设置训练环境
Context.local.learningPhase = .training
for i in 0 ..< dataset.trainingSize / batchSize {
// 得到小批量的x和y
let x = dataset.trainingImages.minibatch(at: i, batchSize: batchSize)
let y = dataset.trainingLabels.minibatch(at: i, batchSize: batchSize)
// 计算关于模型的梯度。
let 𝛁model = classifier.gradient { classifier -> Tensor<Float> in
let ŷ = classifier(x)
let correctPredictions = ŷ.argmax(squeezingAxis: 1) .== y
trainStats.correctGuessCount = Int(Tensor<Int32>(correctPredictions).sum().scalarized())
trainStats.totalGuessCount = batchSize
let loss = softmaxCrossEntropy(logits: ŷ, labels: y)
trainStats.totalLoss = loss.scalarized()
return loss
}
// 沿着梯度更新模型的变量。
optimizer.update(&classifier, along: 𝛁model)
}
// 将上下文设置为推理模式
Context.local.learningPhase = .inference
for i in 0 ..< dataset.testSize / batchSize {
let x = dataset.testImages.minibatch(at: i, batchSize: batchSize)
let y = dataset.testLabels.minibatch(at: i, batchSize: batchSize)
// 计算测试集上的损失
let ŷ = classifier(x)
let correctPredictions = ŷ.argmax(squeezingAxis: 1) .== y
testStats.correctGuessCount = Int(Tensor<Int32>(correctPredictions).sum().scalarized())
testStats.totalGuessCount = batchSize
let loss = softmaxCrossEntropy(logits: ŷ, labels: y)
testStats.totalLoss = loss.scalarized()
}
let trainAccuracy = Float(trainStats.correctGuessCount) / Float(trainStats.totalGuessCount)
let testAccuracy = Float(testStats.correctGuessCount) / Float(testStats.totalGuessCount)
// 保存训练和测试的准确性
trainAccuracyResults.append(trainAccuracy)
testAccuracyResults.append(testAccuracy)
print("""
[Epoch \(epoch)] \
Training Loss: \(trainStats.totalLoss), \
Training Accuracy: \(trainStats.correctGuessCount)/\(trainStats.totalGuessCount) \
(\(trainAccuracy)), \
Test Loss: \(testStats.totalLoss), \
Test Accuracy: \(testStats.correctGuessCount)/\(testStats.totalGuessCount) \
(\(testAccuracy))
""")
}
上面的代码运行一个训练循环,该循环将数据集示例提供给模型,以帮助它做出更好的预测。以下是我们的训练步骤:
- 我们迭代每个epoch。epoch是遍历整个数据集的次数。
- 在epoch中,我们遍历训练数据集中的每个样本,获取其特征(x)和标签(y),这对于下一步非常重要。
- 利用例子的特征,我们做了一个预测,并与真实标签进行了比较。这是用来计算模型的损失和梯度。
- 这时使用梯度下降法来更新模型中的变量。
- 记录一些训练数据,以便以后能看到它们。
- 为每个epoch重复步骤1到5。
epochCount变量是遍历数据集集合的次数。
你花了多少epoch才在测试集上达到90%以上的准确率?
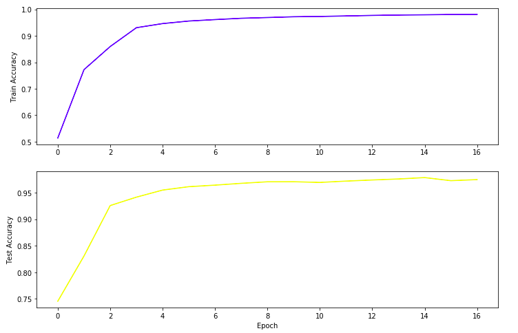
我在12个epoch内,在训练和测试集的准确率都达到了97%以上。

可视化训练和测试数据
虽然打印出模型的训练进度很有帮助,但是看到可视化图像通常更有帮助。
让我们将在模型训练期间捕获的训练和测试统计数据可视化。
plt.figure(figsize: [12, 8])
let accuracyAxes = plt.subplot(2, 1, 1)
accuracyAxes.set_ylabel("Train Accuracy")
accuracyAxes.plot(trainAccuracyResults, color: "blue")
let lossAxes = plt.subplot(2, 1, 2)
lossAxes.set_ylabel("Test Accuracy")
lossAxes.set_xlabel("Epoch")
lossAxes.plot(testAccuracyResults, color: "yellow")
plt.show()
这是训练和测试精度在训练过程中的演变过程:

数据科学Swift的未来
行业专家们对Swift的反应是令人难以置信的,感觉它不仅有潜力成为数据科学的主流语言,而且它也是用于在现实世界构建基于机器学习的应用程序。
目前,它还处于起步阶段,围绕数据科学和数值计算的库仍在发展中。然而,它背后有强大的行业支持,我期待着未来它将拥有一个丰富的工具和库生态系统(甚至可能比现在的Python更好)。
这里有几个Swift的库,你可以进一步探索:
- Nifty (Demo):这是一个通用的Swift编程语言的数值计算库。
Github链接:https://github.com/nifty-swift/Nifty-demo - Swiftplot:用于数据可视化的Swift库。
Github链接:https://github.com/KarthikRIyer/swiftplot - Swift的TensorFlow:是下一代机器学习平台。
Github链接:https://github.com/tensorflow/swift
Swift AI:这是一个完全用Swift编写的高性能深度学习库。Github链接:https://github.com/Swift-AI/Swift-AI
本文中使用的所有代码都可以在Github上找到:https://github.com/mohdsanadzakirizvi/swift-datascience
欢迎关注磐创博客资源汇总站:http://docs.panchuang.net/
欢迎关注PyTorch官方中文教程站:http://pytorch.panchuang.net/

浙公网安备 33010602011771号