算法入门--图及树的存储方式
α. 图的定义
在数据结构层面上,图是有两个集合组成(V ,E),V指的是顶点的集合,E指的是边的集合(V中顶点偶对的有穷集合)
β. 基本术语
| 术语 | 定义 |
|---|---|
| 顶点 | V中的元素 |
| 有向图 | 有方向的图 |
| 无向图 | 没有指定方向的图 |
| 回路 | 存在第一个顶点和最后一个顶点的路径 |
| 完全图 | 图具有n个顶点且具有n*(n-1)/2 个边 |
| 稀疏图 | 边的数目比较少的图 |
| 稠密图 | 边的数目比较多的图 |
| 权 | 边的权值(未指定一般为一,具体情况具体分析) |
γ. 图的分类
γ1. 有向图与无向图




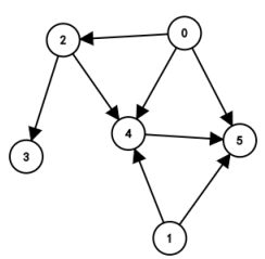
图1为有向图 2->4 指定了可以从2到4,但不可以从4 -> 2
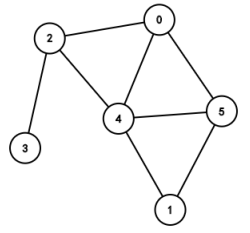
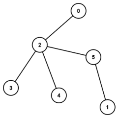
图2,3,4为无向图 既可以从 2->4 又可以从 4->2
γ2. 稠密图与稀疏图
我们可以称图三为稀疏图,图四为稠密图,二者区分准则:边的条数|E|是否远小于|V|²,但这个概念是比较模糊的,官方也没有明确的定义,一般认为点的个数小于n*log2n(n对二取对数)
δ. 两种存储方法(C++实现)
δ1.邻接矩阵(适用于稠密图)
首先我们定义一个整数类型的二维矩阵,矩阵元素(a[3][4]) 的下标表示两一个顶点(3 和 4),而a[3][4] 里面存储的数据便是顶点3 和 顶点4之间的距离,如果两个顶点相同,则里面存储的数据为0.
const int maxN = 1e3+10;
int g[maxN][maxN];
当然还会出现两个顶点不联通的情况,我们认为它们之间的距离为无穷大,但是我们肯定没法找出来一个无穷大的数,我们可以认为一般情况下,我们处理的数据不会很大,只要选取一个很大的数,相比较而言,那个很大的数就是无穷大了.
#define inf 0x3f3f3f3f
我们一般选取 0x3f3f3f3f 作为无穷大,0x3f3f3f3f的十进制是1061109567,也就是10^9级别的,而我们一般处理的边的长度也就几百几十,我们可以认为它是无穷大.
δ2.邻接表(适用于稀疏图)
首先我们维护一个vector数组(没有接触过vector的小伙伴可以点击进行学习),数组的下标表示一个顶点,而每一个数组元素(如 v[3] )里存储着与本顶点相连的点以及二者之间的距离.
const int maxN = 1e3+10;
vector<node>v[maxN];
但如何让每一个顶点的vector里的元素存储两个数据呢,这就用到了结构体,我们定义一个包含两个数据的结构体(相邻顶点以及之间的距离)
struct node{
int e;int w;
node(int e,int w){
this->e = e;
this->w = w;
}
};
对于不相连的顶点不会记录到vector中,无需考虑不联通的顶点情况
δ3.实战演练
这里我们将以蓝桥杯(无向图存储)的一道题为例为大家讲解两种方法的用法先不讲解题哦~
很久以前,T王国空前繁荣。为了更好地管理国家,王国修建了大量的快速路,用于连接首都和王国内的各大城市。
为节省经费,T国的大臣们经过思考,制定了一套优秀的修建方案,使得任何一个大城市都能从首都直接或者通过其他大城市间接到达。同时,如果不重复经过大城市,从首都到达每个大城市的方案都是唯一的。
J是T国重要大臣,他巡查于各大城市之间,体察民情。所以,从一个城市马不停蹄地到另一个城市成了J最常做的事情。他有一个钱袋,用于存放往来城市间的路费。
聪明的J发现,如果不在某个城市停下来修整,在连续行进过程中,他所花的路费与他已走过的距离有关,在走第x千米到第x+1千米这一千米中(x是整数),他花费的路费是x+10这么多。也就是说走1千米花费11,走2千米要花费23。
J大臣想知道:他从某一个城市出发,中间不休息,到达另一个城市,所有可能花费的路费中最多是多少呢?
输入格式
输入的第一行包含一个整数n,表示包括首都在内的T王国的城市数
城市从1开始依次编号,1号城市为首都。
接下来n-1行,描述T国的高速路(T国的高速路一定是n-1条)
每行三个整数Pi, Qi, Di,表示城市Pi和城市Qi之间有一条高速路,长度为Di千米。
输出格式
输出一个整数,表示大臣J最多花费的路费是多少。
样例输入1
5
1 2 2
1 3 1
2 4 5
2 5 4
样例输出1
135
题目很啰嗦,但我们要习惯,以后接触的题目有很多是这种,从中快速提取我们所需要的信息也是一种能力哦~
δ3.1 邻接矩阵
#include "bits/stdc++.h"
using namespace std;
#define inf 0x3f3f3f3f
const int maxN = 1e3+10;
int g[maxN][maxN];
int m,a,b,w;
void Init(){
for(int i = 1;i <= m;i++){
for (int j = 1; j <= m; ++j) {
if(i == j){
g[i][j] = 0;
}else{
g[i][j] = inf;
}
}
}
}
int main(){
ios::sync_with_stdio(false);
cin.tie(0);
cout.tie(0);
cin>>m;
Init();
for(int i = 1;i < m;i++){
cin>>a>>b>>w;
g[a][b] = w;
g[b][a] = w;
}
for(int i =1;i <= m;i++){
for (int j = 1; j <= m; ++j) {
printf("%d ",g[i][j]);
}
printf("\n");
}
return 0;
}
δ3.2 邻接表
#include "bits/stdc++.h"
using namespace std;
#define inf 0x3f3f3f3f
const int maxN = 1e3+10;
struct node{
int x;
int v;
node(int x,int v){
this->x = x;
this->v = v;
}
};
vector<node>v[maxN];
int N,M,a,b,c;
int main(){
ios::sync_with_stdio(0);
cin.tie(0);
cout.tie(0);
cin>>M;
for (int i = 1; i < M; ++i) {
cin>>a>>b>>c;
v[a].push_back(node(b,c));
v[b].push_back(node(a,c));
}
for (int i = 1; i <= M; ++i) {
printf("%d",i);
for (int j = 0; j < v[i].size(); ++j) {
printf("-> (%d %d)",v[i][j].x,v[i][j].v);
}
printf("\n");
}
return 0;
}
树其实是一种特殊的图,因此在存储的时候所使用的方法和图一样的~

浙公网安备 33010602011771号