二叉树的遍历
1. 二叉树的定义
二叉树的每个节点包含指向其左、右子节点的指针,我们假设二叉树中保存的值为int型,那么节点的定义如下:
struct BinaryTreeNode {
int value;
BinaryTreeNode* lchild; // left child
BinaryTreeNode* rchild; // right child
BinaryTreeNode(int value, BinaryTreeNode* lchild = nullptr, BinaryTreeNode* rchild = nullptr) {
this->value = value;
this->lchild = lchild;
this->rchild = rchild;
}
};
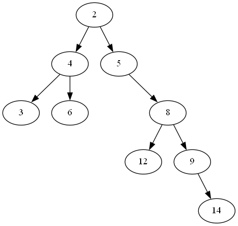
现在我们构建一棵如下图所示的二叉树:

BinaryTreeNode* newBinaryTreeNode(int value, BinaryTreeNode* lchild = nullptr, BinaryTreeNode* rchild = nullptr) {
// 新建一个二叉树结点
BinaryTreeNode* node = new BinaryTreeNode(value, lchild=lchild, rchild=rchild);
return node;
}
BinaryTreeNode* tree = newBinaryTreeNode(2,
newBinaryTreeNode(4,
newBinaryTreeNode(3),
newBinaryTreeNode(6)
),
newBinaryTreeNode(5,
nullptr,
newBinaryTreeNode(8,
newBinaryTreeNode(12),
newBinaryTreeNode(9,
nullptr,
newBinaryTreeNode(14)
)
)
)
);
2. 前序、中序和后序遍历
二叉树本身存在着递归结构:它的每一棵子树同样是二叉树。因此,采用递归遍历二叉树会带来很大的方便。
前序、中序和后序遍历的不同主要在于访问每个节点中的值的时机。前序遍历首先访问每个节点的值,再分别遍历左子树、右子树:
void preOrderVisit(BinaryTreeNode* tree) {
if (tree != nullptr) {
std::cout << tree->value << " "; // 首先访问当前节点的值
preOrderVisit(tree->lchild); // 随后遍历其左子树
preOrderVisit(tree->rchild); // 最后遍历其右子树
}
}
中序遍历则是先遍历左子树,然后访问节点的值,最后遍历其右子树:
void midOrderVisit(BinaryTreeNode* tree) {
if (tree != nullptr) {
midOrderVisit(tree->lchild); // 首先遍历左子树
std::cout << tree->value << " "; // 访问当前节点的值
midOrderVisit(tree->rchild); // 最后遍历右子树
}
}
而后序遍历首先遍历其左、右子树,最后访问当前节点的值:
void postOrderVisit(BinaryTreeNode* tree) {
if (tree != nullptr) {
postOrderVisit(tree->lchild); // 首先遍历左子树
postOrderVisit(tree->rchild); // 随后遍历右子树
std::cout << tree->value << " "; // 最后访问当前节点的值
}
}
对于上面图示的二叉树,它的前序、中序、后序遍历结果为:
(前序): 2 4 3 6 5 8 12 9 14
(中序): 3 4 6 2 5 12 8 9 14
(后序): 3 6 4 12 14 9 8 5 2
3. 按层遍历
对于上图所示的二叉树,可以看出不同的节点具有不同的深度,有时候我们需要按照节点所处的深度,一层一层地遍历二叉树。例如,对于上面图示的二叉树,我们希望按层遍历的结果为:
2
4 5
3 6 8
12 9
14
按层遍历也不是太难,不过我们需要借助一个队列。每次从队列取出头节点,将它的左、右子节点加入队列,重复这一步骤,直到队列为空。
void levelOrderVisit(TreeNode* root) {
if (root != nullptr) {
queue<TreeNode*> q;
q.push(root); // 将根节点压入队列(第1层)
while (!q.empty()) {
int size = q.size(); // size是当前层的节点个数
vector<int> levelOutput(size);
for (int i = 0; i < size; ++i) {
// 遍历当前层的每一个节点
auto element = q.front();
q.pop();
// 访问当前层的节点
std::cout << element->val << " ";
// 压入下一层的节点
if (element->left != nullptr) {
q.push(element->left);
}
if (element->right != nullptr) {
q.push(element->right);
}
}
std::cout << std::endl;
}
}
}

二叉树的前序、中序和后序遍历,以及按层遍历。
浙公网安备 33010602011771号