会员
众包
新闻
博问
闪存
赞助商
HarmonyOS
Chat2DB
所有博客
当前博客
我的博客
我的园子
账号设置
会员中心
简洁模式
...
退出登录
注册
登录
橙同学的学习笔记
首页
新随笔
管理
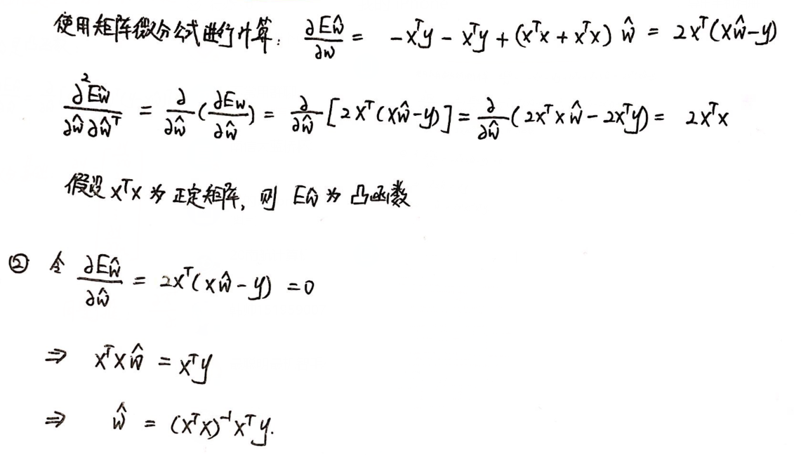
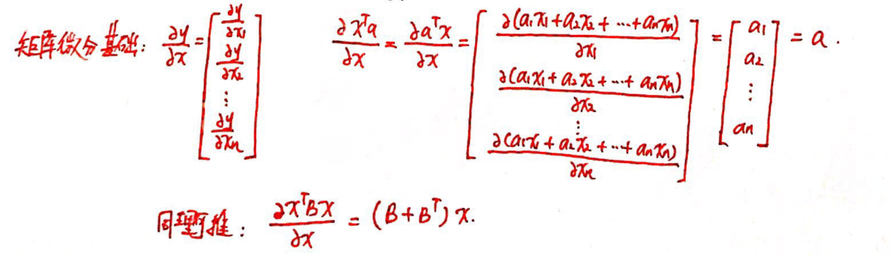
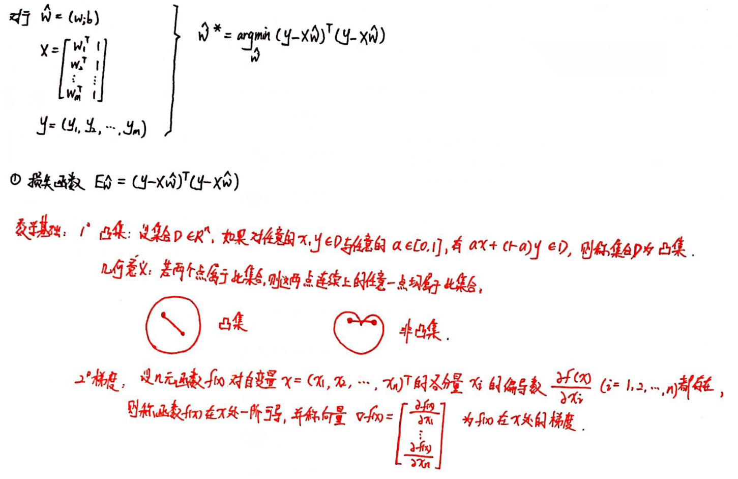
西瓜书经典算法推导(二)多元线性回归
posted @
2019-11-24 21:26
橙同学的学习笔记
阅读(
412
) 评论(
0
)
收藏
举报
刷新页面
返回顶部
公告