基于matlab的圆形光栅与一维光栅组合设计

一、设计原理

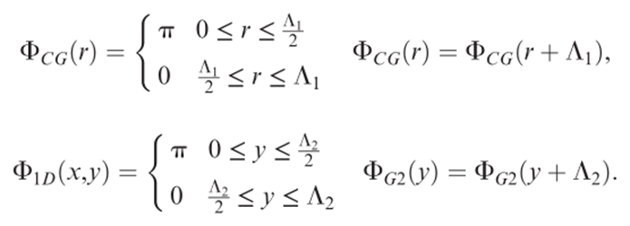
本文将圆形光栅与1D光栅结合起来。圆形光栅(周期为 Λ 1 {{\Lambda }_{1}} Λ1)和一维光栅(周期为 Λ 2 {{\Lambda }_{2}} Λ2 )沿y方向的相位分布由等式给出:
在这里插入图片描述
多功能DOE的相位可通过以下公式给出:
在这里插入图片描述
设计结果如下

在这里插入图片描述
其远场衍射图如下:

在这里插入图片描述

二、资源获取

上述程序可从点击以下链接获取:

基于matlab的圆形光栅与一维光栅组合设计

posted @ 2022-02-20 20:12  简单光学  阅读(171)  评论(0)    收藏  举报