袋鼠将军大冒险 (hard version)
袋鼠将军大冒险 (hard version)
题目描述
本题为问题的困难版本,两题的唯一区别在于询问的次数限制。在困难版本中,询问次数不多于 $10^5$ 次。
在环扎阿越王国中有 $n$ 个岛屿,岛屿之间一共存在 $n - 1$ 条双向道路连接。保证任意一条道路连接两个不同的岛屿,任意两个岛屿之间最多存在一条道路,任意两个岛屿之间可以通过道路相互抵达。
袋鼠将军被坎格鲁斯普雷打得落荒而逃,它逃到了编号为 $s$ 的岛屿上,而袋鼠将军希望自己能够到达编号为 $x$ 的岛屿并逃离环扎阿越王国。袋鼠将军可以通过道路在岛屿之间移动,但是,对于任意一条道路,每当袋鼠将军走过这条道路,都会损失一定的能量。袋鼠将军的初始能量为 $0$。
幸运的是,在每个岛屿都存在着一定能量的补给。当袋鼠将军位于某个岛屿时,它都可以立即获得这个岛屿上的补给。但是,每个岛屿上的补给都只能被获取一次。
袋鼠将军会给你若干次询问,每次询问都会给定 $s$ 与 $x$。对于每次询问,请求出袋鼠将军在逃离环扎阿越王国时,最多剩下多少能量?
注意:袋鼠将军在到达编号为 $x$ 的岛屿时,可以选择不立即逃离环扎阿越王国。也就是说,袋鼠将军可以在到达编号为 $x$ 的岛屿后继续移动。但是,袋鼠将军最后必须位于编号为 $x$ 的岛屿。
输入描述:
每个测试文件均包含多组测试数据。第一行输入一个整数 $T\left(1 \leq T \leq 10^{4}\right)$ 代表数据组数,每组测试数据描述如下:
第一行输入一个整数 $n\left(2 \leq n \leq 10^{5}\right)$,表示岛屿的个数。
第二行输入 $n$ 个整数 $a_1,a_2,\ldots,a_n\left(1 \leq a_i \leq 10^{9}\right)$,表示编号为 $i$ 的岛屿上有 $a_i$ 单位的能量。
此后 $n - 1$ 行,第 $i$ 行输入三个整数 $u_i,v_i,w_i\left(1 \leq u_i,v_i \leq n;u_i \neq v_i;1 \leq w_i \leq 10^{9}\right)$,表示第 $i$ 条双向道路连接编号为 $u_i$ 的岛屿与编号为 $v_i$ 的岛屿,且每当袋鼠将军走过这条道路,它都会损失 $w_i$ 单位的能量。
第 $n + 2$ 行输入一个整数 $q\left(\pmb{1 \leq q \leq 10^5}\right)$,表示询问的次数。
此后 $q$ 行,第 $i$ 行输入两个整数 $s_i, x_i\left(1 \leq s_i, x_i \leq n;\ s_i \neq x_i\right)$,表示第 $i$ 次询问中,袋鼠将军的起始位置为编号为 $s_i$ 的岛屿,最终需要到达编号为 $x_i$ 的岛屿。
除此之外,保证单个测试文件的 $n$ 之和、$q$ 之和均不超过 $10^{5}$。保证任意一条道路连接两个不同的岛屿,任意两个岛屿之间最多存在一条道路,任意两个岛屿之间可以通过道路相互抵达。
输出描述:
对于每组数据,新起一行输出 $q$ 个整数 $e_1,e_2,\ldots,e_q$,其中第 $i$ 个整数 $e_i$ 表示对于第 $i$ 次询问,袋鼠将军在逃离环扎阿越王国时最多能剩下多少能量。
示例1
输入
2
5
1 2 3 4 5
1 2 1
2 3 1
2 4 1
2 5 1
1
1 2
5
1 2 3 4 5
1 2 1
2 3 100
2 4 10
2 5 1
3
1 4
2 4
1 5输出
8
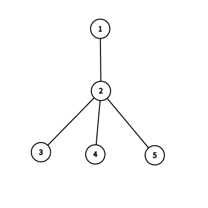
-1 -1 6这两个样例中,岛屿的结构一致,如下图所示:

对于第一组测试数据,袋鼠将军可以按照如下路线移动:$1 \to 2 \to 3 \to 2 \to 4 \to 2 \to 5 \to 2$,袋鼠将军在编号为 $1$,$2$,$3$,$4$,$5$,的岛屿一共可以获得 $1 + 2 + 3 + 4 + 5 = 15$ 单位的能量,而在经过上述路径时,一共损失了 $7$ 单位的能量。需要注意的是,袋鼠将军每经过一次道路,都会损失一定的能量。袋鼠将军通过这种方式,最后剩余的能量为 $8$。可以证明,这种方式是最优的。
对于第二组测试数据的第一次询问,一种最优的路线是:$1 \to 2 \to 5 \to 2 \to 4$;第三次询问中,一种最优的路线是:$1 \to 2 \to 5$。
备注:
注意:对于 Python 选手,单链的情况可能导致递归爆栈,请注意代码实现。
解题思路
先假设只有一组询问,考虑 $s \to x$ 的最大能量是多少。由于从 $s \to x$ 必然会经过连接 $s$ 和 $x$ 的简单路径 $P(s,x)$,因此我们把 $P(s,x)$ 拉直,整棵树就会变成一条链上挂着若干棵子树的形状。如下图有 $n=11$ 个节点构成的树,其中 $s = 1$,$x=n$:

由于 $s \to x$ 必然经过 $P(s,x)$,因此 $s \to x$ 的能量必然包含 $P(s,x)$ 中各节点的点权和,并减去路径中边的边权和。除此之外,在从 $s$ 按照 $P(s,x)$ 走到 $x$ 的过程中,每经过 $P(s,x)$ 中的一个节点 $u$ 时,我们还需要判断是否访问挂在 $u$ 上的子树。显然只有从 $u$ 出发访问完其子树(不一定是完整的子树)并回到 $u$ 时,能获得的能量大于 $0$ 时,我们才选择访问。因此,我们需要对 $P(s,x)$ 中的每个节点 $u$ 计算从 $u$ 出发访问挂在 $u$ 上的子树并回到 $u$ 时能够获得的最大能量。该问题可通过 dp 解决。
定义 $f(u)$ 表示从 $u$ 出发访问其子树并回到 $u$ 时能获得的最大能量,状态转移方程为 $f(u) = a_{u} + \sum\limits_{v \in \text{son}(u)}{\max\{0,f(v) - 2 \cdot w_{u,v}\}}$。
因此 $s \to x$ 能获得的最大能量为 $\sum\limits_{u \in P(s,x)}{f(u)} - \sum\limits_{(u,v)\in P(s,x)}{w_{u,v}}$。
当有多组询问时,显然我们不可能每次把 $s$ 到 $x$ 的简单路径拉直然后用上述方法求答案。既然涉及到简单路径,我们试一下能否通过 lca 加速上面的方法。
在下面的讨论中默认固定 $1$ 号节点为根节点。我们重新定义 $f(u)$ 表示以 $1$ 号节点为根时,从 $u$ 出发访问其子树并回到 $u$ 能获得的最大能量,状态转移方程不变。因此直接套用 $\sum\limits_{u \in P(s,x)}{f(u)} - \sum\limits_{(u,v)\in P(s,x)}{w_{u,v}}$ 会存在问题。考虑另外一棵树,如下图所示,其中 $s=3$,$x=9$。

对于 $7$ 号点而言,我们本应考虑往子树 $4$ 以及父节点 $1$ 走的结果,而现在 $f(7)$ 包含了不需要的子树 $2$ 和子树 $6$ 的结果,同时缺少了往父节点走的结果,因此直接代上述式子是不行的。不过也启发我们除了求 $f(u)$ 外,还需要求解从 $u$ 往父节点方向走的结果(就是经典的换根 dp)。同时还需要从 $f(u)$ 减去不需要的子树结果。
定义 $g(u)$ 表示以 $1$ 号节点为根时,从 $u$ 出发往父节点方向访问并回到 $u$ 能获得的最大能量(不含节点 $u$ 的能量),假设 $u$ 的父节点为 $p$ 则状态转移方程为 $g(u) = f(p) - \max\{0,f(u) - 2 \cdot w_{u,p}\} + g(p) - 2 \cdot w_{u,p}$。
另外我们还需要维护 $sd_u$ 表示 $1$ 到 $u$ 的简单路径的边权和。$sf_u$ 表示 $1$ 到 $u$ 的简单路径上每个节点的 $f(u)$ 的和。以及 $sp_u$ 表示 $1$ 到 $u$ 的简单路径上,每个节点 $x$(除了节点 $1$)对其父节点 $y$ 的 $f(y)$ 的贡献(即 $\max\{0, f(x) - 2 \cdot w_{x,y} \}$)的和。
那么对于 $s$ 和 $x$,假设 lca 为 $p$,$p$ 的父节点为 $P$,那么 $s \to x$ 的最大能量就是 $$\left(sf_s + sf_x - sf_p - sf_P\right) + g(p) - \left(sp_s + sp_x - 2 \cdot sp_p\right) - \left(sd_s + sd_x - 2 \cdot sd_p\right)$$
AC 代码如下,时间复杂度为 $O\left((n + q) \log{n}\right)$:
#include <bits/stdc++.h>
using namespace std;
typedef long long LL;
const int N = 1e5 + 5, M = N * 2;
int a[N];
int h[N], e[M], wt[M], ne[M], idx;
LL f[N], g[N];
int fa[N][17], d[N];
LL sd[N], sf[N], sp[N];
void add(int u, int v, int w) {
    e[idx] = v, wt[idx] = w, ne[idx] = h[u], h[u] = idx++;
}
void dfs1(int u, int p) {
    f[u] = a[u];
    for (int i = h[u]; i != -1; i = ne[i]) {
        int v = e[i], w = wt[i];
        if (v == p) continue;
        dfs1(v, u);
        f[u] += max(0ll, f[v] - 2 * w);
    }
}
void dfs2(int u, int p) {
    for (int i = h[u]; i != -1; i = ne[i]) {
        int v = e[i], w = wt[i];
        if (v == p) continue;
        g[v] = max(0ll, f[u] - max(0ll, f[v] - 2 * w) + g[u] - 2 * w);
        dfs2(v, u);
    }
}
void dfs3(int u, int p) {
    d[u] = d[p] + 1;
    sf[u] = sf[p] + f[u];
    for (int i = h[u]; i != -1; i = ne[i]) {
        int v = e[i], w = wt[i];
        if (v == p) continue;
        fa[v][0] = u;
        for (int j = 1; j <= 16; j++) {
            fa[v][j] = fa[fa[v][j - 1]][j - 1];
        }
        sd[v] = sd[u] + w;
        sp[v] = sp[u] + max(0ll, f[v] - 2 * w);
        dfs3(v, u);
    }
}
int lca(int u, int v) {
    if (d[u] < d[v]) swap(u, v);
    for (int i = 16; i >= 0; i--) {
        if (d[fa[u][i]] >= d[v]) u = fa[u][i];
    }
    if (u == v) return u;
    for (int i = 16; i >= 0; i--) {
        if (fa[u][i] != fa[v][i]) u = fa[u][i], v = fa[v][i];
    }
    return fa[u][0];
}
void solve() {
    int n, m;
    cin >> n;
    for (int i = 1; i <= n; i++) {
        cin >> a[i];
    }
    memset(h, -1, n + 1 << 2);
    idx = 0;
    for (int i = 0; i < n - 1; i++) {
        int u, v, w;
        cin >> u >> v >> w;
        add(u, v, w), add(v, u, w);
    }
    dfs1(1, 0);
    dfs2(1, 0);
    dfs3(1, 0);
    cin >> m;
    while (m--) {
        int u, v;
        cin >> u >> v;
        int p = lca(u, v);
        cout << sf[u] + sf[v] - sf[p] - sf[fa[p][0]] + g[p] -(sp[u] + sp[v] - 2 * sp[p] + sd[u] + sd[v] - 2 * sd[p]) << ' ';
    }
    cout << '\n';
}
int main() {
    ios::sync_with_stdio(false);
    cin.tie(nullptr);
    int t;
    cin >> t;
    while (t--) {
        solve();
    }
    
    return 0;
}
参考资料
牛客练习赛 140 题解_牛客博客:https://blog.nowcoder.net/n/1ca1f90126ba43f89628698805048fce
本文来自博客园,作者:onlyblues,转载请注明原文链接:https://www.cnblogs.com/onlyblues/p/18922580
 
                    
                     
                    
                 
                    
                
 
 
                
            
         
         浙公网安备 33010602011771号
浙公网安备 33010602011771号