VASP计算其他性质(备忘录)
tip:以下归类的计算都在scf计算以后读取自洽计算的CHGCAR或者WAVCAR进行进一步计算
- 光学性质计算
关键参数
LOPTICS = .TRUE. # 开启光学性质计算
CSHIFT = 0.1 # Kramers-Kronig变换中的虚部偏移(典型值0.1-0.2 eV)
NBANDS = 1000 # 增加能带数量(建议2-3倍于默认值,确保空带足够)
NEDOS = 2000 # 态密度网格点数,控制能谱分辨率
其他
ALGO = Normal # 推荐Normal或Exact
ISMEAR = 0 # 半导体用Gaussian平滑,金属使用1,如果半导体使用0报错则换1
SIGMA = 0.05 # 平滑宽度
LPEAD = .TRUE. # 可选,计算动量矩阵元
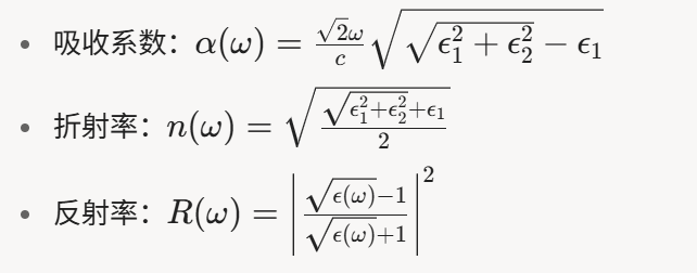
相关计算公式
![image]()
后处理
工具:使用vasprun.xml提取介电函数数据,可通过脚本(如p4vasp、VaspKit或Python脚本)绘制吸收光谱、折射率等。
本人使用vaspkit,流程vaspkit——711,会先生成复介电函数实部和虚部文件(real.in和imge.in),然后再从介电函数中提取吸收系数、折射率、反射率、损失曲线的数据。
###################################################################################################
2. 使用DFT+U
参数设置
以Gd₂O₃为例,适用性:DFT+U主要用于Gd₂O₃中Gd的4f电子,O的2p电子通常不加U。
LDAU = .TRUE. # 开启DFT+U计算
LDAUTYPE = 2 # 使用Dudarev方法(推荐,Ueff = U - J)
LDAUL = 2 # 应用U的轨道类型(Ti的3d电子,2表示d轨道)
LDAUU = 5.0 0.0 # U值,(Gd: 5.0 eV, O: 0.0 eV,单位eV)
LDAUJ = 0.0 0.0 # J值(Gd: 0.0 eV, O: 0.0 eV,单位eV)
LMAXMIX = 6 # 控制f(d)电子的混合(d轨道用4,f轨道用6)
###################################################################################################
3.其他
LUSE_VDW = .TRUE. # 开启 VASP 内部实现的范德华 (Van der Waals, vdW) 密度泛函修正,考虑长程范德华弱相互作用
BPARAM = 15.7 # 这个参数用于设置 rVV10 范德华修正中的一个经验参数 B
METAGGA=SCAN # SCAN (Strongly Constrained and Appropriately Normed) 泛函是一种先进的 Meta-GGA 泛函
LASPH = .TRUE. # 启用非球形截断,对于过渡金属、稀土元素(具有 d 或 f 电子,其电子云分布通常是非球形的)以及具有共价键合的体系,启用 LASPH = .TRUE. 可以提高计算的准确性
###################################################################################################
4.bader电荷计算
默认使用优化以后的POSCAR结构
(1)计算参数设置
在INCAR文件中,需要设置以下参数来生成Bader电荷分析所需的文件:
LCHARG = .TRUE.:这个参数告诉VASP写入电荷密度文件(CHGCAR)。
LAECHG = .TRUE.:这个参数告诉VASP写入核心电荷密度文件(AECCAR0 和 AECCAR2)。这两个文件包含了所有电子的电荷密度信息,包括价电子和核心电子。
(2)后处理 Bader 电荷
第一步提交计算之后,得到 AECCAR0;AECCAR1;AECCAR2,将 chgsum.pl 和 bader 两个脚本放在~/bin 目录下,并复制到计算目录下
在计算目录下执行:chgsum.pl AECCAR0 AECCAR2
等待计算完成,完成后得到 CHGCAR_sum,然后执行:./bader CHGCAR -ref CHGCAR_sum
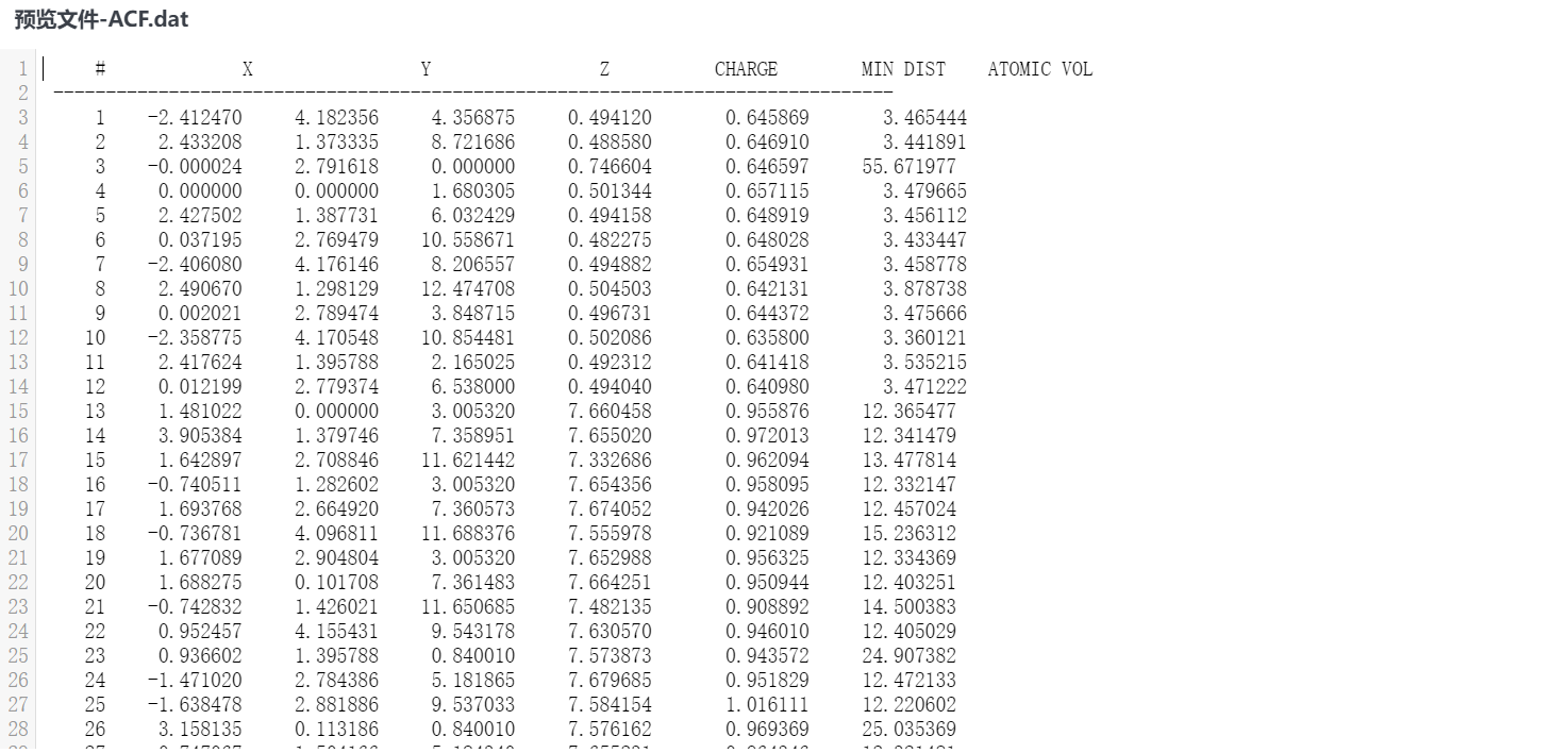
结束后得到 ACF.dat;BCF.dat;AVF.dat,其中 ACF.dat 是包含价电子的电荷信息,一般都是查看此文件的结果。
注:chgsum.pl 和 bader 两个脚本需要提前通过网站下载
(3)注意说明
第一列,是原子的序号,这和 POSCAR 中原子的顺序一致。每个原子的电荷大小是 CHGCAR 这一列所对应的数值,这是原子价层电子中的电子总数。我们想要分析原子得失电子的情况,则需要减去计算所用的赝势(POTCAR)中的电子数。或直接在 OUTCAR 中查看 ,grep ‘ZVAL’ OUTCAR



浙公网安备 33010602011771号