[oeasy]python076_int这个词怎么来的_[词根溯源]整数类型_int_integer_touch
int这个词怎么来的_[词根溯源]整数类型_int_integer_touch 回忆上次内容
  • 上次 分辨了 语言类型
  • 静态类型、动态类型
  • 强类型、弱类型
 
  • python
  • 属于 动态类型强类型 语言
  • 对 初学者很友好
  • 类型 容易 混淆
 
 
 
添加图片注释,不超过 140 字(可选)
 
  • 整型变量(int) 为什么叫做 int 呢?🤔
  • int是什么意思呢?
int 含义
  • int 全称 integer
  • 意思是整的数
 
 
 
添加图片注释,不超过 140 字(可选)
 
  • 整的
  • 和零碎的(fraction)相反
  • 一个就是一个
  • 两个就是两个
  • 没有一个半
 
  • 这个词来自哪个词根呢?
tag
  • tag
  • tact 接触
 
 
 
添加图片注释,不超过 140 字(可选)
 
  • 标签
touch
  • touch
  • 接触
 
 
 
添加图片注释,不超过 140 字(可选)
 
  • 接触到
  • 才能贴标签
 
 
 
添加图片注释,不超过 140 字(可选)
tact
  • 触觉
 
 
添加图片注释,不超过 140 字(可选)
 
  • 在单细胞阶段
  • 就很强烈的觉知
 
tactility
  • tact
  • 接触
 
 
 
添加图片注释,不超过 140 字(可选)
 
  • tactility
  • [tæk'tɪlɪtɪ]
  • ility 性质,状态,情况
  • 触觉
 
tactual
  • tactual
  • tact 接触
  • -ual 有…性质的
 
 
 
添加图片注释,不超过 140 字(可选)
 
  • 触觉的
contact
  • contact
  • con 加强
  • tact 接触
 
 
 
添加图片注释,不超过 140 字(可选)
 
  • 加强接触 联系
contacts
  • contacts
 
 
添加图片注释,不超过 140 字(可选)
 
  • 联系人
contagion
  • contagion
  • [kənˈteɪdʒən]
  • con 共同
  • tag 接触
  • ion 表名词
 
 
 
添加图片注释,不超过 140 字(可选)
 
  • 共同接触到 → 传染
  • 蔓延
 
contagious
  • contagious
  • [kənˈteɪdʒəs]
  • con 共同
  • tag 接触
  • ious …的
 
 
 
添加图片注释,不超过 140 字(可选)
 
  • 传染的
tactics
  • tactics
  • [ˈtæktɪks]
  • tact 接触
  • ics …学
  • 〔和别人〕接触的学问
 
 
 
添加图片注释,不超过 140 字(可选)
 
  • 策略
  • 战术
 
tangent
  • 和圆有一个交点
  • 切线
  • tangent
 
 
 
添加图片注释,不超过 140 字(可选)
 
  • secant
  • [ˈsiːkənt]
  • 割线
 
  • chord
 
tangential
  • tangential
  • [tænˈdʒenʃl]
  • (几何)切向的,切线的,正切的;
 
 
 
添加图片注释,不超过 140 字(可选)
 
  • 不在圈里
  • 不相干的
  • 离题的
  • 稍微沾边的
 
tangible
  • tangible
  • [ˈtændʒəbl]
  • tang 接触
  • ible 能…的
  • 能接触的
 
 
 
添加图片注释,不超过 140 字(可选)
 
  • 可触摸的
intagible
  • intagible
 
 
添加图片注释,不超过 140 字(可选)
 
  • intagible assets
  • 无形资产
 
intact
  • intact
  • in- 否定前缀
  • tact 触觉
 
 
 
添加图片注释,不超过 140 字(可选)
 
  • 没有接触过的
  • 没有受伤的
  • 完好的
 
integral
  • integral
  • [ˈɪntɪɡrəl]
  • 没有被触摸过的
 
  • 完整的
  • 不可或缺的
  • 必需的
  • 完备的
  • 作为组成部分的
 
 
 
添加图片注释,不超过 140 字(可选)
 
  • 整体
  • 积分
 
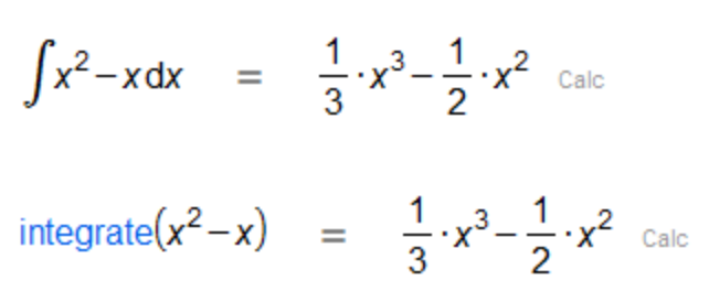
integrate
  • integrate
  • 整合、积分
 
 
 
添加图片注释,不超过 140 字(可选)
 
  • integrated circuit
  • 集成电路
 
 
 
添加图片注释,不超过 140 字(可选)
 
  • integrated science
  • 综合科学
 
integrity
  • integrity
  • in- 没有
  • teg 触摸
  • rity 名词
  • 没有被碰过的特性
  • 完整性
 
 
 
 
添加图片注释,不超过 140 字(可选)
 
  • 没有被污染的
  • 出淤泥而不染的完人
  • 正直、诚实
 
  • int 代表 整数类型
  • 简称 整型
 
integer
  • integer
  • in-
  • 没有
 
  • teg = tag
  • touch 接触
 
  • -er
  • 的东西
 
  • 没有被碰过的东西
  • 是完整的
  • 整数
 
 
 
添加图片注释,不超过 140 字(可选)
 
  • entire
 
 
添加图片注释,不超过 140 字(可选)
总结
  • 这次了解的是
  • int词根溯源
 
 
 
添加图片注释,不超过 140 字(可选)
 


posted on 2025-03-20 08:40  overmind1980  阅读(51)  评论(0)    收藏  举报