【链表】160. 相交链表(两个链表的第一个公共节点)
题目:
编写一个程序,找到两个单链表相交的起始节点。
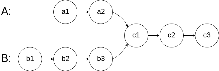
如下面的两个链表:

在节点 c1 开始相交。
示例 1:

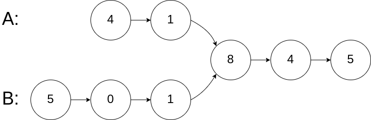
输入:intersectVal = 8, listA = [4,1,8,4,5], listB = [5,0,1,8,4,5], skipA = 2, skipB = 3
输出:Reference of the node with value = 8
输入解释:相交节点的值为 8 (注意,如果两个链表相交则不能为 0)。从各自的表头开始算起,链表 A 为 [4,1,8,4,5],链表 B 为 [5,0,1,8,4,5]。在 A 中,相交节点前有 2 个节点;在 B 中,相交节点前有 3 个节点。
示例 2:

输入:intersectVal = 2, listA = [0,9,1,2,4], listB = [3,2,4], skipA = 3, skipB = 1
输出:Reference of the node with value = 2
输入解释:相交节点的值为 2 (注意,如果两个链表相交则不能为 0)。从各自的表头开始算起,链表 A 为 [0,9,1,2,4],链表 B 为 [3,2,4]。在 A 中,相交节点前有 3 个节点;在 B 中,相交节点前有 1 个节点。
示例 3:

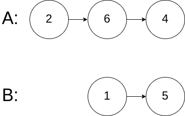
输入:intersectVal = 0, listA = [2,6,4], listB = [1,5], skipA = 3, skipB = 2
输出:null
输入解释:从各自的表头开始算起,链表 A 为 [2,6,4],链表 B 为 [1,5]。由于这两个链表不相交,所以 intersectVal 必须为 0,而 skipA 和 skipB 可以是任意值。
解释:这两个链表不相交,因此返回 null。
注意:
如果两个链表没有交点,返回 null.
在返回结果后,两个链表仍须保持原有的结构。
可假定整个链表结构中没有循环。
程序尽量满足 O(n) 时间复杂度,且仅用 O(1) 内存。
解答:
方法一: 暴力法
对链表A中的每一个结点 a,遍历整个链表 B 并检查链表 B 中是否存在结点和a相同。
复杂度分析:
时间复杂度 : (mn)(mn)。
空间复杂度 : O(1)O(1)。
方法二: 哈希表法
遍历链表 A 并将每个结点的地址/引用存储在哈希表中。然后检查链表 B 中的每一个结点 b是否在哈希表中。若在,则 b为相交结点。
复杂度分析:
时间复杂度 : O(m+n)O(m+n)。
空间复杂度 : O(m)O(m) 或 O(n)O(n)。
方法三:双指针法
(1)创建两个指针 pA 和 pB,分别初始化为链表 A 和 B 的头结点。然后让它们向后逐结点遍历。
(2)当 pA到达链表的尾部时,将它重定位到链表 B 的头结点 (你没看错,就是链表 B); 类似的,当 pB 到达链表的尾部时,将它重定位到链表 A 的头结点。
(3)若在某一时刻 pA 和 pB相遇,则pApB 为相交结点。
(4)想弄清楚为什么这样可行, 可以考虑以下两个链表: A={1,3,5,7,9,11} 和 B={2,4,9,11},相交于结点 9。 由于 B.length (=4) < A.length (=6),pB 比 pA 少经过 2 个结点,会先到达尾部。将 pB重定向到 A 的头结点,pA重定向到 B 的头结点后,pB要比 pA多走 2 个结点。因此,它们会同时到达交点。
如果两个链表存在相交,它们末尾的结点必然相同。因此当pA/pB到达链表结尾时,记录下链表 A/B 对应的元素。若最后元素不相同,则两个链表不相交。
复杂度分析
时间复杂度 : O(m+n)。
空间复杂度 : O(1)。
1 /** 2 * Definition for singly-linked list. 3 * struct ListNode { 4 * int val; 5 * ListNode *next; 6 * ListNode(int x) : val(x), next(NULL) {} 7 * }; 8 */ 9 class Solution { 10 public: 11 12 ListNode *getIntersectionNode(ListNode *headA, ListNode *headB) 13 { 14 if (NULL == headA || NULL == headB) 15 { 16 return NULL; 17 } 18 19 ListNode *pA = headA; 20 ListNode *pB = headB; 21 22 while (pA != pB) 23 { 24 pA = (pA == NULL ? headB : pA->next); 25 pB = (pB == NULL ? headA : pB->next); 26 } 27 28 return pA; 29 } 30 };

浙公网安备 33010602011771号