【链表】 141. 环形链表
题目:
给定一个链表,判断链表中是否有环。
为了表示给定链表中的环,我们使用整数 pos 来表示链表尾连接到链表中的位置(索引从 0 开始)。 如果 pos 是 -1,则在该链表中没有环。
示例 1:
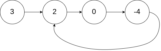
输入:head = [3,2,0,-4], pos = 1
输出:true
解释:链表中有一个环,其尾部连接到第二个节点。

示例 2:
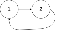
输入:head = [1,2], pos = 0
输出:true
解释:链表中有一个环,其尾部连接到第一个节点。

示例 3:
输入:head = [1], pos = -1
输出:false
解释:链表中没有环。

解答:
方法一:
采用双指针的方法,基本原理就是:定义两个指针,一个一次移动一个结点,另一个一次移动两个结点。两个指针同时向前移动,快指针每移动一次都要与慢指针比较。直到当快指针的next指向空时,证明这个链表就是不带环的单向链表。或者快指针等于慢指针时,证明这个链表是带环的链表。
1 /** 2 * Definition for singly-linked list. 3 * struct ListNode { 4 * int val; 5 * ListNode *next; 6 * ListNode(int x) : val(x), next(NULL) {} 7 * }; 8 */ 9 class Solution { 10 public: 11 bool hasCycle(ListNode *head) { 12 ListNode *slow = head; 13 ListNode *fast = head; 14 15 while(fast && fast->next) 16 { 17 slow = slow->next; 18 fast = fast->next->next; 19 if(slow == fast) 20 { 21 return true; 22 } 23 } 24 return false; 25 } 26 };
方法二:
哈希法。
/** * Definition for singly-linked list. * struct ListNode { * int val; * ListNode *next; * ListNode(int x) : val(x), next(NULL) {} * }; */ class Solution { public: bool hasCycle(ListNode *head) { unordered_map <ListNode *,int> m; while(head) { m[head]++; if(m[head] > 1) { return true; } head = head->next; } return false; } };

浙公网安备 33010602011771号