第一章 流体的运动
第一节 理想流体的稳定流动
引入:
流体(fluid):能够流动的连续性物质。
流动性:液体与气体没有固定的状态,各部分之间很容易发生相对运动,这种相对运动的特征叫做流动性。
流体宏观模型在研究流体运动时的处理方法:将流体看作由无数个流体质元(流体微团)连续地组成的。(微元法)
(一)理想流体
一.理想流体的引入:由于流体具有黏性和可压缩性,一般的流体运动情景比较复杂,所以引入理想流体。
1.膨胀性:通常情况下,压强不变,流体的体积随着温度的升高而变大。(理想气体方程:PV=nRT)
(1)对于一般的液体而言,压缩性和膨胀性都比较小。但在特殊情况下(例如“水击”现象),液体的压缩性就比较强,不可以忽略。压缩性。
(2)对于气体而言,虽然气体的膨胀性、很好,但其流动性很强,在对气体进行压缩的时候,气体便可以迅速流动起来,所以气体可以认为是不可压缩的流体。
2.黏性:流体在运动过程中各层之间有阻碍相对运动的内摩擦力
(1)对于液体,当液体各层之间的相对速度比较小时,小到可以忽略不计,那么液体的黏性便可以忽略不计。
(2)气体的内摩擦力比液体的更小,可以忽略不计。
二.理想流体的定义:完全不可压缩的、没有粘、黏性的流体。
(二)稳定流动
一.稳定流动概念的引入:一般我们研究流体运动有拉格朗日法(着重于流体中流体质元的流动情况——类似于“微元法“)和欧拉法**(经过空间特定点位时的运动情况)。在使用欧拉法研究时,流速、空间位置、时间构成了一个三维信息空间,那么根据多元函数相关定义
V
=
f
(
s
,
t
)
(
s
为
空
间
位
置
,
t
为
时
间
)
V=f(s,t)(s为空间位置,t为时间)
V=f(s,t)(s为空间位置,t为时间)
其中
s
=
f
(
x
,
y
,
z
)
s=f(x,y,z)
s=f(x,y,z)
如果流体体内部的流体质元的速度不变,那么流体质元的速度就是一个关于**s(x,y,z)**的函数
V
=
V
(
s
)
=
V
(
f
(
x
,
y
,
z
)
)
V=V(s)=V(f(x,y,z))
V=V(s)=V(f(x,y,z))
二.稳定流动
流体流经的空间称为流体空间或流场 。流体的流动状态不随时间变化的流动称为***稳定流动***。
说明(在稳定流动状态下):
- 流体在空间各点的速度、密度以及压强分布不变。
- 流体质元在不同地点的速度可以各不相同。
- “稳定流动”并不仅限于“理想流体”。
(三)流线和流管
一.流线:类似于电场线,略(欧拉法用到了”场“的思想)
二.流管:由一组流线围成的管状区就是流管。
-
流体运动时,流管内遵循质量守恒(流进来多少,就流出来多少)
-
通常我们所建立的物理模型中的流管是**“细流管”**
注意:所谓的“细流管”并不是粗细之分,细流管是指任意一个截面上的所有点的速度都一样
-
当横截面积S----->0时,流管就成为了流线。
(四)连续性原理

在t时间内,流入细流管的流体质量
Δ
m
1
=
ρ
1
Δ
V
1
=
ρ
1
S
1
v
1
Δ
t
\Delta m_1=\rho_1 \Delta V_1= \rho_1S_1v_1 \Delta t
Δm1=ρ1ΔV1=ρ1S1v1Δt
同理,流出的质量
Δ
m
2
=
ρ
2
Δ
V
2
=
ρ
2
S
2
v
2
Δ
t
\Delta m_2=\rho_2 \Delta V_2= \rho_2S_2v_2 \Delta t
Δm2=ρ2ΔV2=ρ2S2v2Δt
根据流体做稳定流动时候的能量守恒
Δ
m
1
=
Δ
m
2
\Delta m_1=\Delta m_2
Δm1=Δm2
那么
ρ
1
S
1
v
1
=
ρ
2
S
2
v
2
或
者
Q
m
=
ρ
S
v
=
C
(
C
是
一
个
常
量
,
数
值
上
等
于
“
质
量
流
量
”
)
\rho_1S_1v_1=\rho_2S_2v_2或者Q_m=\rho Sv=C(C是一个常量,数值上等于“质量流量”)
ρ1S1v1=ρ2S2v2或者Qm=ρSv=C(C是一个常量,数值上等于“质量流量”)
对于不可压缩的流体,密度为常量,则
S
v
=
Q
v
=
C
Sv=Q_v=C
Sv=Qv=C
总结:对于稳定流动的流体,根据连续性定理,体积流量相同
说明:
(1)流量:单位时间内流过某截面的流体体积和流体质量,流体体积和流体质量分别称为体积流量和质量流量
体积流量:
Q
V
=
v
S
Q_V=vS
QV=vS
质量流量:
Q
m
=
ρ
v
S
Q_m=\rho vS
Qm=ρvS
(2)对于分支管道:
第二节 理想流体的伯努利方程
(一)伯努利方程推导
例子引入:理想流体在重力场中稳定流动,去图示细流管,设t内,流体从初位置ac移动到末位置bd。则在t内流过两截面S1与S2的流体体积分别为:

Δ V 1 = v 1 S 1 Δ t \Delta V_1=v_1S_1\Delta t ΔV1=v1S1Δt
Δ V 2 = v 2 S 2 Δ t \Delta V_2=v_2S_2 \Delta t ΔV2=v2S2Δt
又由连续性定理:
相同时间内的体积流量的累积,也就是体积相同:
Δ
V
1
=
Δ
V
2
=
Δ
V
\Delta V_1=\Delta V_2=\Delta V
ΔV1=ΔV2=ΔV
由于流体的流动状态保持不变,则运动过程中:
对于重力势能
A
G
=
ρ
Δ
V
g
h
1
−
ρ
Δ
V
g
h
2
A_G=\rho \Delta Vgh_1-\rho \Delta Vgh_2
AG=ρΔVgh1−ρΔVgh2
对于其他流体质元对其做的功
A
1
=
P
1
S
1
v
1
Δ
t
=
P
1
Δ
V
(
A
1
是
下
方
的
流
体
质
元
对
其
做
的
功
)
A_1=P_1S_1v_1\Delta t=P_1\Delta V(A_1是下方的流体质元对其做的功)
A1=P1S1v1Δt=P1ΔV(A1是下方的流体质元对其做的功)
A 2 = P 2 S 2 v 2 Δ t = P 2 Δ V ( A 2 是 上 方 流 体 质 元 对 其 做 的 负 功 ) A_2=P_2S_2v_2\Delta t=P_2\Delta V(A_2是上方流体质元对其做的负功) A2=P2S2v2Δt=P2ΔV(A2是上方流体质元对其做的负功)
由动能定理:
ρ
Δ
V
g
h
1
−
ρ
Δ
V
g
h
2
+
(
P
1
−
P
2
)
Δ
V
=
1
/
2
ρ
Δ
V
(
v
1
2
−
v
2
2
)
\rho \Delta Vgh_1-\rho \Delta Vgh_2+(P_1-P_2)\Delta V=1/2 \rho \Delta V(v_1^2-v_2^2)
ρΔVgh1−ρΔVgh2+(P1−P2)ΔV=1/2ρΔV(v12−v22)
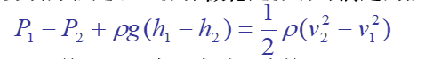
去掉V:
P
1
+
1
/
2
ρ
v
1
2
+
ρ
g
h
1
=
P
2
+
1
/
2
ρ
v
2
2
+
p
g
h
2
P_1+1/2 \rho v_1^2+\rho gh_1=P_2+1/2\rho v_2^2+pgh_2
P1+1/2ρv12+ρgh1=P2+1/2ρv22+pgh2
那么会发现:
P
+
1
/
2
ρ
v
2
+
ρ
g
h
=
C
(
一
个
常
量
)
P+1/2\rho v^2+\rho gh=C( 一个常量)
P+1/2ρv2+ρgh=C(一个常量)
但注意:

只是说为了表达简便,舍去了E_kbc
(二)伯努利方程的意义
一.伯努利方程在某种意义上是能量守恒在稳定流动的引申
p1-p2表示单位体积流体流过细流管时s1s2,外部压力做的功
pg(h1-h2)表示单位体积流体流过细流管时s1s2,重力做的功
1/2p(v_12-v_22)表示单位体积流体流过细流管时s1s2,动能的变化量
二.伯努利原理应用于流体静力学就是连通器原理
(三)伯努利方程的应用
1.空吸作用:当流体流动时,由于其内部压力减小而把其它物质吸入流体内的现象称为空吸收用。
(1)原理
根据连续性原理:
S
v
=
C
Sv=C
Sv=C
和伯努利方程:
p
+
1
/
2
ρ
v
2
=
C
p+ 1/2\rho v^2=C
p+1/2ρv2=C

我们就知道:s大v小p大,s小v大p小
那么,对于AB段的流体,当流速v比较快的时候,压强p较小,又由于P_amb连通的是大气压,当v足够大时,那么P_AB与P_amb的差值就足够大,竖直细管内的液面就会上升到AB段,然后以雾状喷出。
(2)应用:
喷雾器、水流抽气机(油扩散泵)、家俱喷漆等
(3)对于v的控制,v不能过大,否则液体流出过多,不能呈雾状喷出;不能过小,液体无法流出。
2.文丘里管——用于测流量和流速

(液体文丘里管示意图)



(气体文丘里管示意图)
3.皮托管流速计
(1)驻点:当流体遇到障碍物受阻时,会在障碍物前有一点,该店流体静止不动。
(2)原理:

4.飞机翼面
上曲下平,上快下慢,上小下大(压强)
5.压强与高度关系的应用

(注意:其中,由于P1与P2直接与大气压相连接,所以P1=P2=P0)
第三节 粘性流体的运动
(一)黏性流体的流动状态
黏性流体的流动状态分为层流、湍流和过渡流三类。
层流:当流体流速不大时,不同流层的流体之间互不混杂,只做相对滑动。这种流动状态称为层流。层流运动还有以下特点:
1.流体在远观轴心处流速最大,与圆管同轴的各层流速随着离轴线距离的增大而减小
2.在管壁处的流体速度为零。
湍流:当流体流速超过一定值时,不同流层流体之间相互混杂,流体做不规则运动的状态称为湍流。
过渡流:流体的流动介于层流和湍流之间的不稳定流动状态称为过渡流。
(二)牛顿黏滞定律
1.流体内摩擦力

黏性与内摩擦力:流体在做层流运动的时候,相邻两层之间会存在相对运动,在这两个流层之间会产生一对相互作用力,这种性质叫做黏性,这对相互作用力叫做内摩擦力。
2.牛顿粘滞定律
(1)梯度:一个物理量沿着某一个方向上的变化率,称为该物理量的梯度,梯度是一个矢量。
(2)
对 于 圆 筒 状 流 层 , 有 : F f = 2 π r η d v d z ( η 至 于 物 体 本 身 有 关 ) 对于圆筒状流层,有:F_f=2 \pi r \eta \frac{dv}{dz} \quad(\eta至于物体本身有关) 对于圆筒状流层,有:Ff=2πrηdzdv(η至于物体本身有关)
(三)雷诺数:用于判断流体的类型

第四节 粘性流体的流动规律
一.黏性流体的伯努利方程
黏性流体在运动过程中,由于内摩擦力(黏性),会损失一部分能量。
P
1
+
1
2
ρ
v
1
2
+
ρ
g
h
1
=
P
2
+
1
2
ρ
v
2
2
+
ρ
g
h
2
+
Δ
E
P_1+\frac12 \rho v_1^2+\rho g h_1=P_2+\frac12 \rho v_2^2+\rho gh_2+\Delta E
P1+21ρv12+ρgh1=P2+21ρv22+ρgh2+ΔE
在 上 式 子 中 , v 和 p 为 同 一 流 管 横 截 面 上 的 平 均 值 。 在上式子中,v和p为同一流管横截面上的平均值。 在上式子中,v和p为同一流管横截面上的平均值。
对 于 水 平 均 匀 流 管 ( s 1 = s 2 , v 1 = v 2 ) P 1 = P 2 + Δ E 而 在 开 放 的 均 匀 管 道 作 稳 定 流 动 时 ρ g h 1 − ρ g h 2 = Δ E 对于水平均匀流管(s_1=s_2,v_1=v_2)\\ P_1=P_2+\Delta E 而在开放的均匀管道作稳定流动时\\ \rho g h_1-\rho g h_2= \Delta E 对于水平均匀流管(s1=s2,v1=v2)P1=P2+ΔE而在开放的均匀管道作稳定流动时ρgh1−ρgh2=ΔE
以上的后两个式子分别说明:
必须维持一定压力差,流体才能流动。
必须维持一定高度差,流体才能流动。
二.泊肃叶定律——描述黏性流体在水平管道圆形管道中做稳定流动的运动状态
1.定义:黏滞系数为 的流体在压力差P_1-P_2的作用下,在半径为 R,长为l 的水平圆管中做稳定分层流动,则单位时间内流过圆管任一截面的流体体积为:
Q v = π R 4 8 η l ( P 1 − P 2 ) Q_v=\frac{\pi R^4}{8\eta l}(P_1-P_2) Qv=8ηlπR4(P1−P2)

推导过程:
首先由于流体的流动具有圆柱形对称性,因此我们可以去除一段厚为dr,半径为r的小圆柱体进行研究
其次,根据牛顿第一运动定理,稳定分层流动时的液体中,
F
f
=
F
p
即
:
(
P
1
−
P
2
)
π
r
2
+
2
π
r
l
η
d
v
d
r
=
0
F_f=F_p\\ 即:\\ (P_1-P_2)\pi r^2+2\pi r l\eta \frac{dv}{dr}=0
Ff=Fp即:(P1−P2)πr2+2πrlηdrdv=0
整理得
−
d
v
=
p
1
−
p
2
2
η
l
r
d
r
-dv=\frac{p_1-p_2}{2 \eta l}rdr
−dv=2ηlp1−p2rdr
在0—r上对r进行积分:
v
(
r
)
=
−
p
1
−
p
2
4
η
l
r
2
+
C
当
r
=
R
时
:
v
(
R
)
=
0
那
么
有
:
C
=
p
1
−
p
2
4
η
l
R
2
v(r)=-\frac{p_1-p_2}{4 \eta l}r^2+C\\ 当r=R时:\\ v(R)=0\\ 那么有:C=\frac{p_1-p_2}{4 \eta l}R^2
v(r)=−4ηlp1−p2r2+C当r=R时:v(R)=0那么有:C=4ηlp1−p2R2
现在我们已经得到了这个**“微元小圆柱流体”**的流速表达式,即:
v
(
r
)
=
p
1
−
p
2
4
η
l
(
R
2
−
r
2
)
v(r)=\frac{p_1-p_2}{4 \eta l}(R^2-r^2)
v(r)=4ηlp1−p2(R2−r2)
那么,若要求Q_v:
Q
v
=
∫
0
R
v
2
π
r
d
r
Q_v=\displaystyle \int^{R}_{0}{v2\pi rdr}
Qv=∫0Rv2πrdr
对上列表达式(Qv=Sv)在0到R上进行积分即可:
Q
V
=
∫
0
R
v
2
π
r
d
r
=
∫
0
R
v
2
π
(
p
1
−
p
2
)
4
η
l
(
R
2
−
r
2
)
r
d
r
Q_V=\displaystyle \int^{R}_{0}{v2\pi rdr}\\ =\displaystyle \int^{R}_{0}{v2\pi \frac{(p_1-p_2)}{4\eta l}(R^2-r^2)rdr}\\
QV=∫0Rv2πrdr=∫0Rv2π4ηl(p1−p2)(R2−r2)rdr
最终化为:
Q
v
=
π
R
4
(
p
1
−
p
2
)
8
η
l
Q_v=\frac{\pi R^4(p_1-p_2)}{8\eta l}
Qv=8ηlπR4(p1−p2)
2.公式运用:
(1)测量\eta(比较法)。
(2)若无压强差,流量为零,再一次说明了黏性液体的伯努利定律。
(3)植物蒸腾作用的流体动力学模型

将两单位面积叶片之间细胞间隙内的饱和水汽看成是在半径为R、长为L的圆管中做稳定分层流动。
1面为叶子的一面,而2面为另一面。
中间的小圆柱体就是气孔。
结合伯努利方程和泊肃叶方程:
根
据
伯
努
利
方
程
:
1
2
ρ
1
v
1
2
+
p
1
=
1
2
ρ
2
v
2
2
+
p
2
那
么
p
1
−
p
2
=
1
2
ρ
1
(
v
2
2
−
v
1
2
)
代
入
:
Q
v
=
π
R
4
8
η
l
(
P
1
−
P
2
)
=
π
ρ
1
R
4
16
η
l
(
v
2
2
−
v
1
2
)
又
由
Q
m
=
ρ
2
Q
V
所
以
:
Q
V
=
π
ρ
1
ρ
2
R
4
16
η
l
(
v
2
2
−
v
1
2
)
这
就
是
单
位
时
间
内
通
过
单
位
体
积
水
蒸
气
质
量
根据伯努利方程:\\ \frac{1}{2}\rho _1v_1^2+p_1=\frac{1}{2}\rho _2v_2^2+p_2\\ 那么\quad \quad \quad \quad \quad \quad \quad \quad \quad\\ p_1-p_2=\frac{1}{2}\rho_1(v_2^2-v_1^2)\\ 代入: Q_v=\frac{\pi R^4}{8\eta l}(P_1-P_2)=\frac{\pi \rho_1 R^4}{16\eta l}(v_2^2-v_1^2)\\ 又由Q_m=\rho_2Q_V\\ 所以:Q_V=\frac{\pi\rho_1 \rho_2R^4}{16\eta l}(v_2^2-v_1^2) 这就是单位时间内通过单位体积水蒸气质量
根据伯努利方程:21ρ1v12+p1=21ρ2v22+p2那么p1−p2=21ρ1(v22−v12)代入:Qv=8ηlπR4(P1−P2)=16ηlπρ1R4(v22−v12)又由Qm=ρ2QV所以:QV=16ηlπρ1ρ2R4(v22−v12)这就是单位时间内通过单位体积水蒸气质量
三.斯托克斯公式——描述球形物体在流体中运动所受粘滞阻力的的大小。
1.公式:
f = − 6 π η r v f=-6\pi\eta rv f=−6πηrv
2.小球在静止液体中的运动情况
半径为r的小球在黏性静止流体中自由降落

(1)小球收到三个力:重力、浮力、粘滞阻力
G = m g = 4 3 π r 3 ρ 球 g F 浮 = 4 3 π r 3 ρ 流 体 g F f = 6 π η r v G=mg=\frac{4}{3}\pi r^3 \rho_球g\\ F_浮=\frac{4}{3}\pi r^3\rho_{流体}g\\ F_f=6\pi \eta rv G=mg=34πr3ρ球gF浮=34πr3ρ流体gFf=6πηrv
化简得:
v
=
2
(
ρ
球
−
ρ
流
体
)
g
r
2
9
η
v=\frac{2(\rho_球-\rho_{流体})gr^2}{9\eta}
v=9η2(ρ球−ρ流体)gr2
此公式的应用:
(1)测定粘滞系数
(2)v与r^2呈正比,利用沉降分离法分离生物样品
(2)运动状态分析:
/u>在流体中运动所受粘滞阻力的的大小。
1.公式:
f = − 6 π η r v f=-6\pi\eta rv f=−6πηrv
2.小球在静止液体中的运动情况
半径为r的小球在黏性静止流体中自由降落
[外链图片转存中…(img-0yOIa10c-1616162751489)]
(1)小球收到三个力:重力、浮力、粘滞阻力
G = m g = 4 3 π r 3 ρ 球 g F 浮 = 4 3 π r 3 ρ 流 体 g F f = 6 π η r v G=mg=\frac{4}{3}\pi r^3 \rho_球g\\ F_浮=\frac{4}{3}\pi r^3\rho_{流体}g\\ F_f=6\pi \eta rv G=mg=34πr3ρ球gF浮=34πr3ρ流体gFf=6πηrv
化简得:
v
=
2
(
ρ
球
−
ρ
流
体
)
g
r
2
9
η
v=\frac{2(\rho_球-\rho_{流体})gr^2}{9\eta}
v=9η2(ρ球−ρ流体)gr2
此公式的应用:
(1)测定粘滞系数
(2)v与r^2呈正比,利用沉降分离法分离生物样品
(2)运动状态分析:
通过分析运动状态以及最终公式,我们发现小球先做一个复杂的变加速运动,最后达到稳定状态的时候,粘滞阻力不再变化,v是一个确定值。我们称这个速度为最终速度、沉降速度、收尾速度。
浙公网安备 33010602011771号