Kruskal重构树
Kruskal重构树,即与瓶颈树类似,kurskal重构树的特性是,任意两点之间的简单路径种的(最大或最小)边权值为其最近公共祖先
Kruskal算法
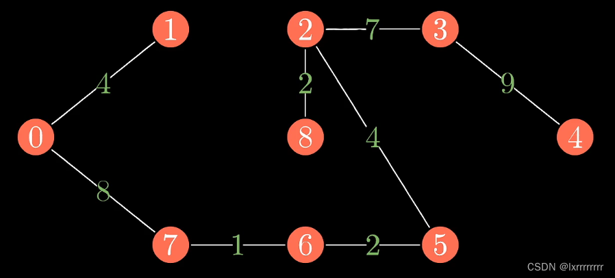
首先给出一张有向图,让我们求最小生成树(用总权值最小的一些边的集合,使得所有点都能互通,很明显n个点会有n-1条边)

kruskal算法思想是先把所有的边按权值大小排序,得到这个样子

然后从小往大依次取边,如果加上这条边和之前的边构成了环,就舍弃这条边,不然就加上,直至取得n-1条边,构成一棵树
例如此图,我们按照权值加完前四条边

在加入第五条边时,我们发现原图出现了环,我们就舍弃这条边

就这样一直加边,直至构成一棵完整的树

这就是kruskal算法的
Kruskal重构树
那么什么又是kruskal重构树呢?
kruskal重构树其实就是把这张图重建成一个二叉树,原图中所有的叶子节点都为原图中的点
其他点都有一个点权w,代表从左集合到右集合的路径,由于重构树是在kruskal的基础上完成的,所以我们必然可以得到一个自下而上点权不降的二叉树
比如我们还用上图距离,建一颗重构树
首先我们合并6,7两个集合,把他们两个连接到一个虚点上,该点权值为他们的边权

(红色代表虚点,白色代表原图的点)
然后我们依次2-8 , 5-6

就这样把这颗二叉树建完

最后重构树大概长这样
这棵树有很多独特的性质
就比如我们想知道从节点2到7路径的最大边权是多少,其实就是他们公共祖先这个虚点的点权值
再比如我们想知道从某个点出发,给出一个值,在通过所有边的权值都小于等于这个值时,我们走过多少个点,其实就等于这个点一直往上面找,找到最后一个小于等于这个值的虚点,他的子树的点我们都是可以通过的(因为从上到下点权不上升)
以上这种问题我们都可以通过在重构树上倍增的方式,把时间复杂度压到logn
例题:
P9235 [蓝桥杯 2023 省 A] 网络稳定性 - 洛谷 | 计算机科学教育新生态 (luogu.com.cn)
首先,我们需要重构一棵kruskal最大树,那么由于重构书的性质,我们先把最大的连接上,然后依次递减连接,这样我们走得就是最大生成树,对于任意两点之间的距离,其lca肯定是简单路径中边权最小得最大值,因为我们排过序了
#include <bits/stdc++.h> #define int long long using namespace std; const int N=1e6+10,mod=1e9+7; int son[N],fa[N],sz[N],top[N],dep[N],p[N],w[N]; vector<int>g[N]; struct node{ int u,v,w; bool operator<(const node&W)const{ return w>W.w; } }edge[N]; int find(int x){ if(x!=p[x]) p[x]=find(p[x]); return p[x]; } void dfs1(int u){ sz[u]=1,dep[u]=dep[fa[u]]+1; for(auto x:g[u]){ if(x==fa[u]) continue; fa[x]=u; dfs1(x); sz[u]+=sz[x]; if(sz[son[u]]<sz[x]) son[u]=x; } } void dfs2(int u,int h){ top[u]=h; if(son[u]) dfs2(son[u],h); for(auto x:g[u]){ if(x==fa[u]||x==son[u]) continue; dfs2(x,x); } } int lca(int a,int b){ while(top[a]!=top[b]){ if(dep[top[a]]>dep[top[b]]) a=fa[top[a]]; else b=fa[top[b]]; } return dep[a]>dep[b]?b:a; } signed main(){ std::ios::sync_with_stdio(false),cin.tie(0),cout.tie(0); int n,m,q; cin>>n>>m>>q; for(int i=1;i<=2*n;i++) p[i]=i; for(int i=1;i<=m;i++){ int a,b,c; cin>>a>>b>>c; edge[i]={a,b,c}; } sort(edge+1,edge+1+m); int cnt=n; for(int i=1;i<=m;i++){ int u=find(edge[i].u),v=find(edge[i].v),val=edge[i].w; if(u==v) continue; w[++cnt]=val,p[u]=p[v]=find(cnt); g[cnt].push_back(u),g[cnt].push_back(v); } for(int i=cnt;i>=cnt-1;i--) if(!son[i]||!top[i]) dfs1(i),dfs2(i,i); while(q--){ int a,b; cin>>a>>b; if(find(a)!=find(b)) cout<<-1<<endl; else cout<<w[lca(a,b)]<<endl; } }
P2245 星际导航 - 洛谷 | 计算机科学教育新生态 (luogu.com.cn)
这个就是求最小生成树kurskal重构树了
#include <bits/stdc++.h> #define int long long using namespace std; const int N=1e6+10,mod=1e9+7; struct node{ int u,v,w; bool operator<(const node&W)const{ return w<W.w; } }edge[N]; int w[N],son[N],sz[N],fa[N],top[N],dep[N],p[N]; vector<int>g[N]; int find(int x){ if(x!=p[x]) p[x]=find(p[x]); return p[x]; } void dfs1(int u){ sz[u]=1,dep[u]=dep[fa[u]]+1; for(auto x:g[u]){ if(x==fa[u]) continue; fa[x]=u; dfs1(x); sz[u]+=sz[x]; if(sz[son[u]]<sz[x]) son[u]=x; } } void dfs2(int u,int h){ top[u]=h; if(son[u]) dfs2(son[u],h); for(auto x:g[u]){ if(x==fa[u]||x==son[u]) continue; dfs2(x,x); } } int lca(int a,int b){ while(top[a]!=top[b]){ if(dep[top[a]]>dep[top[b]]) a=fa[top[a]]; else b=fa[top[b]]; } return dep[a]>dep[b]?b:a; } signed main(){ std::ios::sync_with_stdio(false),cin.tie(0),cout.tie(0); int n,m; cin>>n>>m; for(int i=1;i<=2*n;i++) p[i]=i; for(int i=1;i<=m;i++){ int a,b,c; cin>>a>>b>>c; edge[i]={a,b,c}; } sort(edge+1,edge+1+m); int cnt=n; for(int i=1;i<=m;i++){ int u=find(edge[i].u),v=find(edge[i].v),val=edge[i].w; if(u==v) continue; w[++cnt]=val,p[u]=p[v]=find(cnt); g[cnt].push_back(u),g[cnt].push_back(v); } for(int i=cnt;i>=cnt-1;i--) if(!son[i]||!top[i]) dfs1(i),dfs2(i,i); int q; cin>>q; while(q--){ int a,b; cin>>a>>b; if(find(a)!=find(b)) cout<<"impossible"<<endl; else cout<<w[lca(a,b)]<<endl; } // for(int i=n+1;i<=cnt;i++){ // cout<<i<<endl; // for(auto x:g[i]) cout<<x<<' '; // cout<<endl; // } }
维护一下父节点的值,然后倍增的跳就行,不要问我为什么要倍增,因为会超时呜呜呜
#include <bits/stdc++.h> #define int long long using namespace std; const int N=5e5+10,mod=1e9+7; struct node{ int u,v,w; bool operator<(const node&W)const{ return w<W.w; } }edge[N]; int dp[N][21],a[2*N],p[N],w[N],val[N]; vector<int>g[N]; int find(int x){ if(x!=p[x]) p[x]=find(p[x]); return p[x]; } void dfs(int u,int fa){ dp[u][0]=fa; for(int i=1;i<=20;i++) dp[u][i]=dp[dp[u][i-1]][i-1]; for(auto x:g[u]){ if(x==fa) continue; dfs(x,u); a[u]+=a[x]; } } signed main(){ std::ios::sync_with_stdio(false),cin.tie(0),cout.tie(0); int n,m,q; cin>>n>>m>>q; for(int i=1;i<=2*n;i++) p[i]=i; for(int i=1;i<=n;i++) cin>>a[i]; for(int i=1;i<=m;i++){ int x,y,z; cin>>x>>y>>z; edge[i]={x,y,z}; } sort(edge+1,edge+1+m); int cnt=n; for(int i=1;i<=m;i++){ int u=find(edge[i].u),v=find(edge[i].v); if(u==v) continue; w[++cnt]=edge[i].w,p[u]=p[v]=cnt; g[cnt].push_back(u),g[cnt].push_back(v); } dfs(cnt,0),w[0]=1e18; while(q--){ int c,k; cin>>c>>k; int res=k+a[c]; while(c!=cnt){ int x=c; for(int i=20;i>=0;i--) if(w[dp[c][i]]<=res) c=dp[c][i]; if(x==c) break; res=a[c]+k; } cout<<res<<endl; } }
P1967 [NOIP2013 提高组] 货车运输 - 洛谷 | 计算机科学教育新生态 (luogu.com.cn)
#include <bits/stdc++.h> #define int long long using namespace std; const int N=1e6+10,mod=1e9+7; int sz[N],dep[N],top[N],son[N],fa[N],w[N],p[N]; vector<int>g[N]; struct node{ int u,v,w; bool operator<(const node&W)const{ return w>W.w; } }edge[N]; int find(int x){ if(x!=p[x]) p[x]=find(p[x]); return p[x]; } void dfs1(int u){ sz[u]=1,dep[u]=dep[fa[u]]+1; for(auto x:g[u]){ if(x==fa[u]) continue; fa[x]=u; dfs1(x); sz[u]+=sz[x]; if(sz[x]>sz[son[u]]) son[u]=x; } } void dfs2(int u,int h){ top[u]=h; if(son[u]) dfs2(son[u],h); for(auto x:g[u]){ if(x==fa[u]||x==son[u]) continue; dfs2(x,x); } } int lca(int a,int b){ while(top[a]!=top[b]){ if(dep[top[a]]>dep[top[b]]) a=fa[top[a]]; else b=fa[top[b]]; } return dep[a]>dep[b]?b:a; } signed main() { std::ios::sync_with_stdio(false),cin.tie(0),cout.tie(0); int n,m; cin>>n>>m; for(int i=1;i<=m;i++){ int a,b,c; cin>>a>>b>>c; edge[i]={a,b,c}; } sort(edge+1,edge+1+m); for(int i=1;i<=4*n;i++) p[i]=i; int cnt=n; for(int i=1;i<=m;i++){ int u=find(edge[i].u),v=find(edge[i].v); if(u==v) continue; cnt++,p[u]=p[v]=find(cnt); w[cnt]=edge[i].w; g[cnt].push_back(u),g[cnt].push_back(v); } // dfs1(cnt),dfs2(cnt,cnt); // cout<<cnt<<'\n'; for(int i=cnt;i>=n+1;i--) if(!son[i]||!top[i]) dfs1(i),dfs2(i,i); int q; cin>>q; while(q--){ int a,b; cin>>a>>b; int res=w[lca(a,b)]; cout<<(res?res:-1)<<'\n'; } return 0; }

浙公网安备 33010602011771号