缩点笔记
例题
P3387 【模板】缩点
遇到这种题,你们是不是都很懵。每个点都只能经过一次,而且图里面面还有环。
法1
暴力做法都会吧。既然没规定开头,那就枚举起点,跑单源最长路。然后枚举过的打上标记。
因为\(n<m\),所以我们用\(\mathrm{spfa}\)。算法复杂度\(O(n^2\log n)\)
法2
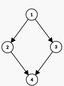
既然跑开头太慢了。那就每条边都走一遍。然后用上幷查集,遇到一条边就合并。但是出现了一个问题。我们无法确定来合并之后正确答案是否真对。举个例子。

想这样的图合并之后最大值应该是四个点的权值和。但是事实上最大值是\(1\rightarrow2\rightarrow4~\mathrm{or}~1\rightarrow3\rightarrow4\)
所以这种方式是错误的。
法3
通过法2我们可以获得一些启示。并不是所有路径点权和都可以加在一起。因为中间一些点无法互相到达。如果所有点都可以互相到达,那就可一用类似于并查集的方法缩成一个点。
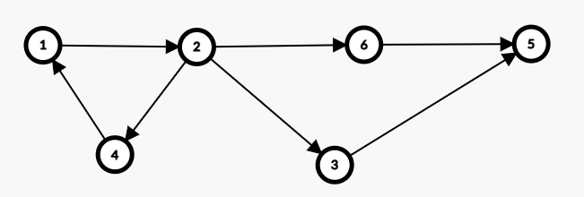
先来一张图

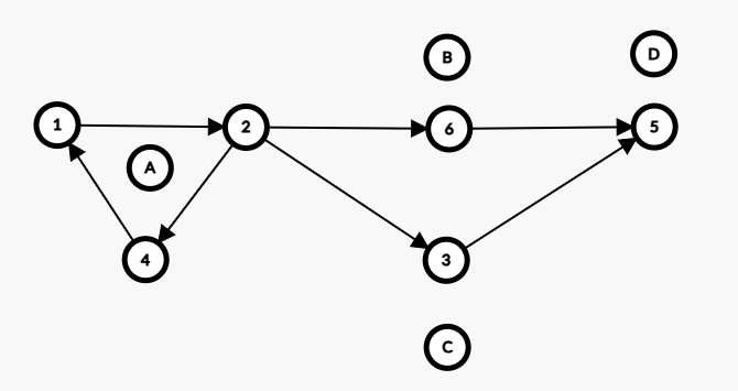
我们在里面找强联通分量。然后给强连通分量编号。

最后把原来的边移到新图上

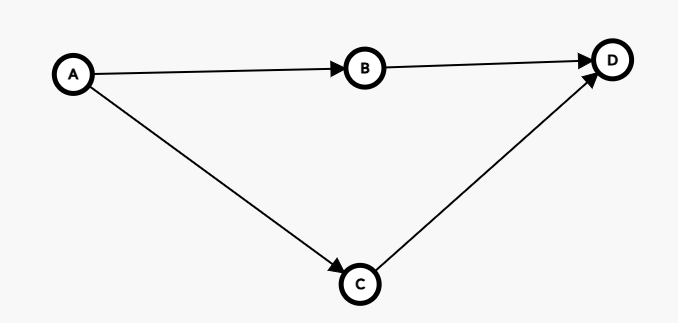
然后新图就建好了。新图的每个结点是原来的图的一个强联通分量。每条边是原来不在一个强联通分量里的点的连边。
新问题,该如何求和?其实也很简单。新点权很好求吧。就是强联通分量上的点圈之和。那我们不妨设起始的长度为当前点的点(简称\(sum_i\))。
那新边\(u\rightarrow v\)的边权就是\(sum_v\)。点有了,边也有了,那就直接跑\(\mathrm{spfa}\)就行了。
题目里没有说保证图联通,那我们需要再求强联通分量和求路径长度的时候注意一下。
代码
#include<bits/stdc++.h>
using namespace std;
const int N=1e4+10;
vector<int>g[N],g2[N];
int dfn[N],low[N];
int inscc[N];
bool instk[N];
int sum[N];
int stk[N];
int a[N];
int cnt=0,top=0,tot=0;
struct edge{
int from,to;
}e[N];
void tarjan(int u)
{
dfn[u]=low[u]=++cnt;
instk[u]=1;
stk[++top]=u;
for(int i=0;i<g[u].size();i++)
{
int v=g[u][i];
if(!dfn[v])
{
tarjan(v);
low[u]=min(low[u],low[v]);
}
else if(instk[v])
{
low[u]=min(low[u],dfn[v]);
}
}
if(low[u]==dfn[u])
{
tot++;
while(true)
{
int v=stk[top];
instk[v]=0;
top--;
sum[tot]=sum[tot]+a[v];
inscc[v]=tot;
if(stk[top+1]==u)break;
}
}
}
queue<int>q;
int dis[N];
bool vis[N];
bool bj[N];
void spfa(int rt)
{
q.push(rt);
dis[rt]=sum[rt];
while(!q.empty())
{
int u=q.front();
vis[u]=0;
q.pop();
for(int i=0;i<g2[u].size();i++)
{
int v=g2[u][i];
if(dis[v]<dis[u]+sum[v])
{
dis[v]=dis[u]+sum[v];
if(!vis[v])
{
vis[v]=1;
q.push(v);
}
}
}
}
}
int main()
{
int n,m;
cin>>n>>m;
for(int i=1;i<=n;i++)
{
cin>>a[i];
}
for(int i=1;i<=m;i++)
{
int u,v;
cin>>u>>v;
e[i]={u,v};
g[u].push_back(v);
}
for(int i=1;i<=n;i++) if(!dfn[i]) tarjan(i);
for(int i=1;i<=m;i++)
{
int u=e[i].from,v=e[i].to;
if(inscc[u]!=inscc[v])g2[inscc[u]].push_back(inscc[v]);
}
for(int i=1;i<=tot;i++)
{
if(!dis[i])spfa(i);
}
int mx=0;
for(int i=1;i<=tot;i++)
{
mx=max(dis[i],mx);
}
cout<<mx;
}
双倍经验
这个题新加了两个限制:终点限制和起点限制。其实很好处理。每个新图中的点加一个变量,能不能成为终点。如果可以,那就可以作为终点取\(\max\)。
至于起点,我们知道他属于哪个强联通分量,就从哪开始。

浙公网安备 33010602011771号