CS61B srping 2018 project00-NBody https://sp18.datastructur.es/
Getting the Skeleton Files ,网站上应该有仓库地址,这个也行,https://gitee.com/heqilaoge/skeleton-sp18。
拉下来找到proj0 ,就能开始作业。可以不使用IDE。这个作业是个 快速学习java基本语法和知识的教程,也可以快速重温java基础知识和语法。。。
后面内容变多,又有点语焉不详,为的就是让你自己摸索。。。
The Planet Class and Its Constructor
创建Planet类
public class Planet {
public double xxPos;
public double yyPos;
public double xxVel;
public double yyVel;
public double mass;
public String imgFileName;
public Planet(double xP, double yP, double xV,
double yV, double m, String img) {
xxPos = xP;
yyPos = yP;
xxVel = xV;
yyVel = yV;
mass = m;
imgFileName = img;
}
public Planet(Planet p) {
xxPos = p.xxPos;
yyPos = p.yyPos;
xxVel = p.xxVel;
yyVel = p.yyVel;
mass = p.mass;
imgFileName = p.imgFileName;
}
}
通过 javac Planet.java TestPlanetConstructor.java 和 java TestPlanetConstructor来测试。(这些文件在 proj0的skeleton里边都有)
规则介绍


继续写 Planet 类
calcDistance 方法 计算两个 星体之间的距离
public double calcDistance(Planet p) {
double dx = p.xxPos - xxPos;
double dy = p.yyPos - yyPos;
return Math.sqrt(dx * dx + dy * dy);
}
用javac Planet.java TestCalcDistance.java 和java TestCalcDistance测试
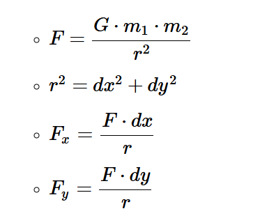
calcForceExertedBy 计算星体之间的力
public double calcForceExertedBy (Planet p){
double G= 6.67*Math.pow(10, -11);
double r = this.calcDistance(p);
double force =(G*this.mass*p.mass)/(r*r);
return force;
}
用plaintext javac Planet.java TestCalcForceExertedBy.java java TestCalcForceExertedBy 测试
calcForceExertedByX and calcForceExertedByY 测试x和y方向上的分力
public double calcForceExertedByX (Planet p){
double r = this.calcDistance(p);
double force =this.calcForceExertedBy(p);
double dx=p.xxPos-this.xxPos;
double fx=force*dx/r;
return fx;
}
public double calcForceExertedByY(Planet p){
double r = this.calcDistance(p);
double force =this.calcForceExertedBy(p);
double dy=p.yyPos-this.yyPos;
double fx=force*dy/r;
return fx;
}
用plaintext javac Planet.java TestCalcForceExertedByXY.java java TestCalcForceExertedByXY 测试
calcNetForceExertedByX and calcNetForceExertedByY 计算某一方向上的合力;
Planet[] allPlanets = {samh, rocinante, aegir};
samh.calcNetForceExertedByX(allPlanets);
samh.calcNetForceExertedByY(allPlanets);
接收一个数组,计算数组内部(除了本身)所有星体对他的合力
public double calcNetForceExertedByX(Planet[] allPlanets) {
double fx = 0;
for (Planet p : allPlanets) {
if (this.equals(p)) {
continue;
}
fx += this.calcForceExertedByX(p);
}
return fx;
}
public double calcNetForceExertedByY(Planet[] allPlanets) {
double fy = 0;
for (Planet p : allPlanets) {
if (this.equals(p)) {
continue;
}
fy += this.calcForceExertedByY(p);
}
return fy;
}
用javac Planet.java TestCalcNetForceExertedByXY.java java TestCalcNetForceExertedByXY测试
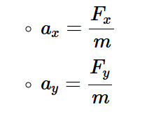
update方法,
比如samh.update(0.005, 10, 3) ,给samh施加一个x方向10牛,y方向3牛,0.005秒的力,计算其加速度,计算速度,计算位置。



public void update(double dt, double fX, double fY) {
double ax = fX / this.mass;
double ay = fY / this.mass;
double vx = this.xxVel + ax * dt;
double vy = this.yyVel + ay * dt;
double px = this.xxPos + vx * dt;
double py = this.yyPos + vy * dt;
this.xxVel = vx;
this.yyVel = vy;
this.xxPos = px;
this.yyPos = py;
}
用javac Planet.java TestUpdate.java java TestUpdate测试
NBody.java
这个类没有构造函数,就是用来模拟运行 星球运行的,
readRadius方法,用来读取data/planets中的半径数据。examples/BasicInDemo有对In的介绍
public class NBody {
public static double readRadius(String planetsTxtPath) {
In in = new In(planetsTxtPath);
int count = in.readInt();
double radius = in.readDouble();
return radius;
}
public static void main(String[] args) {
}
}
ReadPlanets方法 就是用In方法把planets里边的 星球数据读出来,然后放到一个数组里。
public static Planet[] readPlanets(String planetsTxtPath) {
int countOfPlanets = 5;
Planet[] planets = new Planet[5];
In in = new In(planetsTxtPath);
in.readInt();
in.readDouble();
while (countOfPlanets != 0) {
double xxPos = in.readDouble();
double yyPos = in.readDouble();
double xxVel = in.readDouble();
double yyVel = in.readDouble();
double mass = in.readDouble();
String planetName = in.readString();
Planet newP = new Planet(xxPos, yyPos, xxVel, yyVel, mass, planetName);
countOfPlanets -= 1;
planets[countOfPlanets] = newP;
}
return planets;
}
用javac Planet.java NBody.java TestReadPlanets.java java TestReadPlanets测试
Drawing the Initial Universe State 分四步骤把初始“宇宙”状态画出来,因为都在main中进行,所以不会有对应测试。
StdDraw.picture(xxPos, yyPos, "images/" + imgFileName);
}
public static void main(String[] args) {
double T = Double.parseDouble(args[0]);
double dt = Double.parseDouble(args[1]);
String filename = args[2];
double radius = NBody.readRadius(filename);
Planet[] planets = NBody.readPlanets(filename);
// draw bg
StdDraw.setScale(-radius , radius);
StdDraw.clear();
StdDraw.picture(0, 0, "images/starfield.jpg");
for (Planet p : planets) {
p.draw();
}
}
把这四步做完,输入`javac NBody.java
java NBody 157788000.0 25000.0 data/planets.txt` 就应该能看见5个静止的星球的画面。到这里已经,注意!不一定准确
让星球动起来 Creating an Animation
要把时间打撒成单位时间,然后一段时间位移一点,大概就是这意思。
public class NBody {
public static double readRadius(String planetsTxtPath) {
In in = new In(planetsTxtPath);
int count = in.readInt();
double radius = in.readDouble();
return radius;
}
public static Planet[] readPlanets(String planetsTxtPath) {
int countOfPlanets = 5;
Planet[] planets = new Planet[5];
In in = new In(planetsTxtPath);
in.readInt();
in.readDouble();
while (countOfPlanets != 0) {
double xxPos = in.readDouble();
double yyPos = in.readDouble();
double xxVel = in.readDouble();
double yyVel = in.readDouble();
double mass = in.readDouble();
String planetName = in.readString();
Planet newP = new Planet(xxPos, yyPos, xxVel, yyVel, mass, planetName);
countOfPlanets -= 1;
planets[countOfPlanets] = newP;
}
return planets;
}
public static void main(String[] args) {
StdDraw.enableDoubleBuffering();
double T = Double.parseDouble(args[0]);
double dt = Double.parseDouble(args[1]);
String filename = args[2];
double radius = NBody.readRadius(filename);
Planet[] planets = NBody.readPlanets(filename);
// draw bg
StdDraw.setScale(-radius, radius);
StdDraw.clear();
StdDraw.picture(0, 0, "images/starfield.jpg");
for (Planet p : planets) {
p.draw();
}
double timeVariable = 0;
while (timeVariable < T) {
timeVariable += dt;
double[] xForces = new double[5];
double[] yForces = new double[5];
for (int i = 0; i < 5; i++) {
xForces[i] = planets[i].calcNetForceExertedByX(planets);
yForces[i] = planets[i].calcNetForceExertedByY(planets);
}
StdDraw.picture(0, 0, "images/starfield.jpg");
for (int i = 0; i < 5; i++) {
planets[i].update(dt, xForces[i], yForces[i]);
planets[i].draw();
}
StdDraw.show();
StdDraw.pause(10);
}
StdOut.printf("%d\n", planets.length);
StdOut.printf("%.2e\n", radius);
for (int i = 0; i < planets.length; i++) {
StdOut.printf("%11.4e %11.4e %11.4e %11.4e %11.4e %12s\n",
planets[i].xxPos, planets[i].yyPos, planets[i].xxVel,
planets[i].yyVel, planets[i].mass, planets[i].imgFileName);
}
}
}
提醒,不合适的绘制背景和 show 、pause方法的调用会导致画面闪烁,动画并不如预期般顺滑。
最后要 打印出更新后的planets数据,网站已经提供了解决
用javac NBody.java java NBody 157788000.0 25000.0 data/planets.txt来测试
后面的内容,难度很大,我不再尝试了。

浙公网安备 33010602011771号