spring三级缓存,lambda表达式,函数式接口
IOC容器中的bean是单例的
bean生命周期

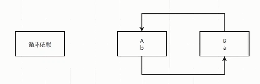
什么是循环依赖


什么是成品对象和半成品对象

解决循环依赖方式

spring中使用三个map来表示三级缓存



lambda表达式, createBean方法执行时机: 在调用形式参数的getObject方法执行时候,createBean才能执行




lambda表达式的执行时机

getSingleton的详细代码如下



三级缓存中的对象随着时间变化
开始

然后

最后



IOC容器中的bean是单例的
bean生命周期

什么是循环依赖


什么是成品对象和半成品对象

解决循环依赖方式

spring中使用三个map来表示三级缓存



lambda表达式, createBean方法执行时机: 在调用形式参数的getObject方法执行时候,createBean才能执行




lambda表达式的执行时机

getSingleton的详细代码如下



三级缓存中的对象随着时间变化
开始

然后

最后


