《深度学习入门》学习笔记三:感知机
感知机模型是由美国学者Frank Rosenblatt在1957年中提出的。它是一种二类分类的模型。
前言
如果我们教一个小朋友如何去分辨苹果和橙子,我们会怎么做呢?我们可能会告诉他,表皮光滑的、红色的是苹果,表皮粗糙的、黄色的是橙子。这个方法也许并不那么合适,毕竟不是所有的苹果都是红色的,所有的橙子都是黄色的。但是这也能教会小朋友如何去分辨一般情况中的苹果和橙子了。这就是一个感知机模型。而颜色、表皮则是输入信号。
1、何为感知机
感知机可以接收多个信号,然后输出一个信号。如果学过数字电路的话,各位是不是觉得很熟悉,门电路就是一种经典的感知机。但是本文我们主要讨论的是人工神经元。
2、人工神经元

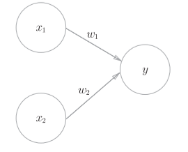
如图所示,这是一个两个输入一个输出的感知机模型。
x
1
,
x
2
x_1,x_2
x1,x2表示的是输入信号,
ω
1
,
ω
2
\omega_1,\omega_2
ω1,ω2表示的是权重,
y
y
y是输出信号。如果
y
y
y最后的结果大于阈值
θ
\theta
θ,记为1,反之记为0。公式表示为:
y
=
{
0
(
x
1
ω
1
+
x
2
ω
2
≤
θ
)
1
(
x
1
ω
1
+
x
2
ω
2
>
θ
)
y=\left\{\begin{aligned} 0&&(x_1\omega_1+x_2\omega_2\leq\theta)\\ 1&&(x_1\omega_1+x_2\omega_2>\theta)\\ \end{aligned} \right.
y={01(x1ω1+x2ω2≤θ)(x1ω1+x2ω2>θ)
3、权重和偏置
我们可以引入一个
b
b
b作为偏置。有了偏置,这个感知机模型会更加的灵活。偏置是调整神经元被激活的容易程度 (输出信号为1的程度)的参数。
y
=
{
0
(
b
+
x
1
ω
1
+
x
2
ω
2
≤
0
)
1
(
b
+
x
1
ω
1
+
x
2
ω
2
>
0
)
y=\left\{\begin{aligned} 0&&(b+x_1\omega_1+x_2\omega_2\leq0)\\ 1&&(b+x_1\omega_1+x_2\omega_2>0)\\ \end{aligned} \right.
y={01(b+x1ω1+x2ω2≤0)(b+x1ω1+x2ω2>0)

浙公网安备 33010602011771号