推荐模型之特征交叉PLOY2模型(特征交叉的开始)【学习笔记】
来源:老弓的学习笔记

视频1 什么事特征交叉?
针对问题:逻辑回归存在很大一个问题是只对单一特征做简单加权,不具备特征交叉生成组合特征的能力,因此表达能力收到了限制。
特征交叉:
例子1:

线性加权 不能1+1>2
例子2:

视频2 POLY2模型讲解 特征交叉的开始
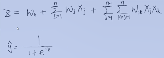
数学模型:

损失函数:交叉熵损失

梯度下降:这里有仔细推导的公式
求梯度
梯度更新
部分代码:

没有特征交叉是n
PLOY2优缺点:


 
同时为1 才能进行权重更新
来源:老弓的学习笔记

视频1 什么事特征交叉?
针对问题:逻辑回归存在很大一个问题是只对单一特征做简单加权,不具备特征交叉生成组合特征的能力,因此表达能力收到了限制。
特征交叉:
例子1:

线性加权 不能1+1>2
例子2:

视频2 POLY2模型讲解 特征交叉的开始
数学模型:

损失函数:交叉熵损失

梯度下降:这里有仔细推导的公式
求梯度
梯度更新
部分代码:

没有特征交叉是n
PLOY2优缺点:


 
同时为1 才能进行权重更新
