会员
众包
新闻
博问
闪存
赞助商
HarmonyOS
Chat2DB
所有博客
当前博客
我的博客
我的园子
账号设置
会员中心
简洁模式
...
退出登录
注册
登录
牛佳文
博客园
首页
新随笔
联系
订阅
管理
dls的数论-积性函数,莫比乌斯反演
积性函数
完全积性函数
常见积性函数
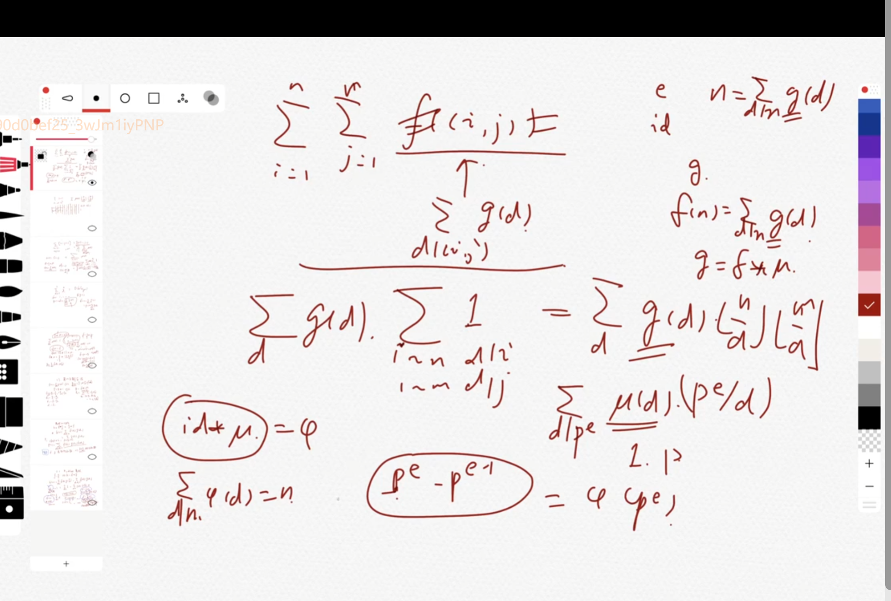
莫比乌斯函数
线性筛求积性函数
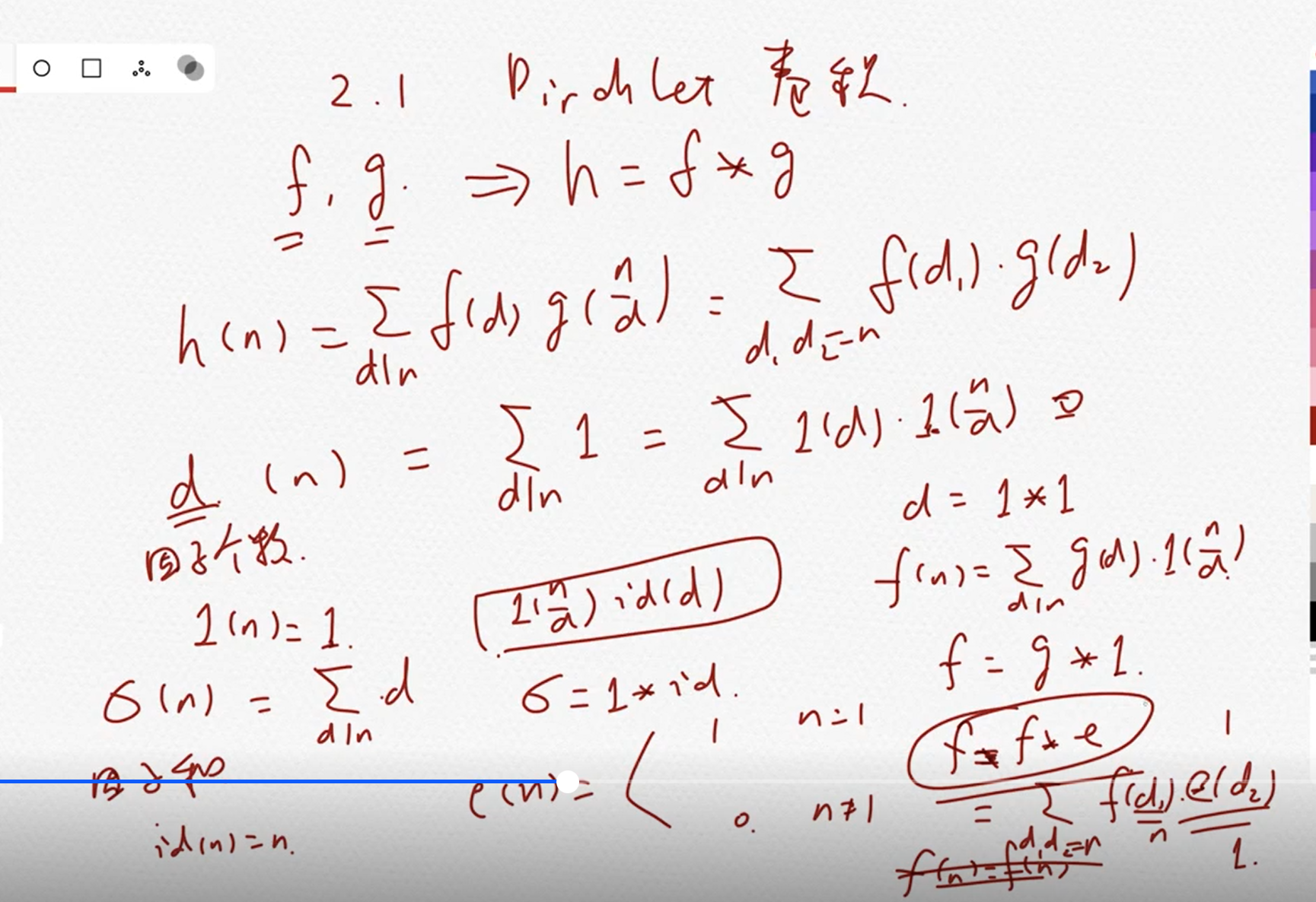
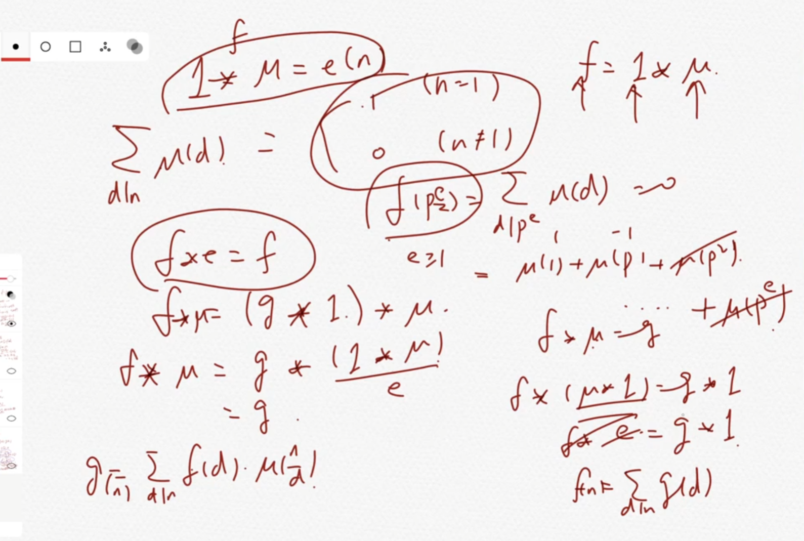
迪利克雷卷积
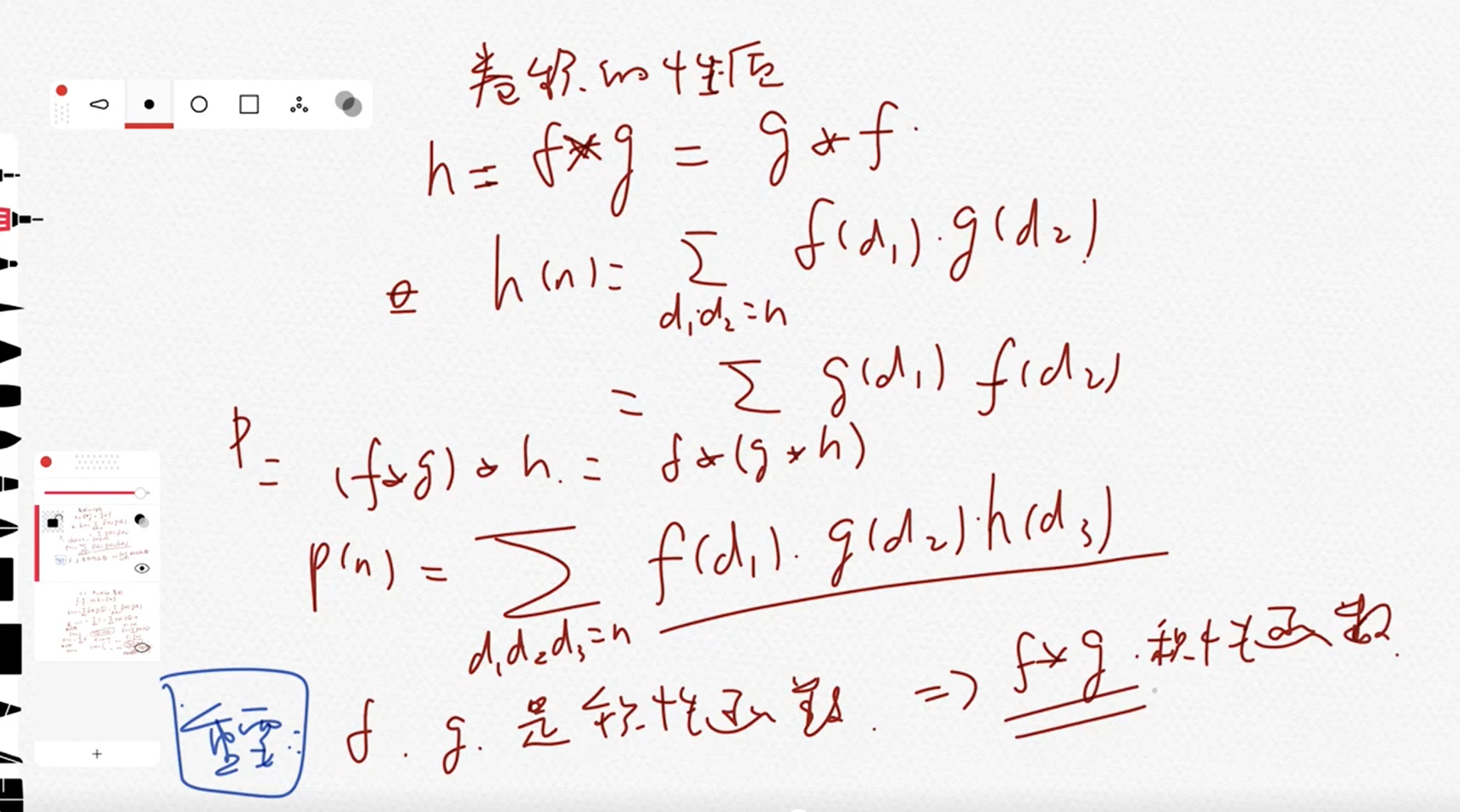
迪利克雷卷积的性质
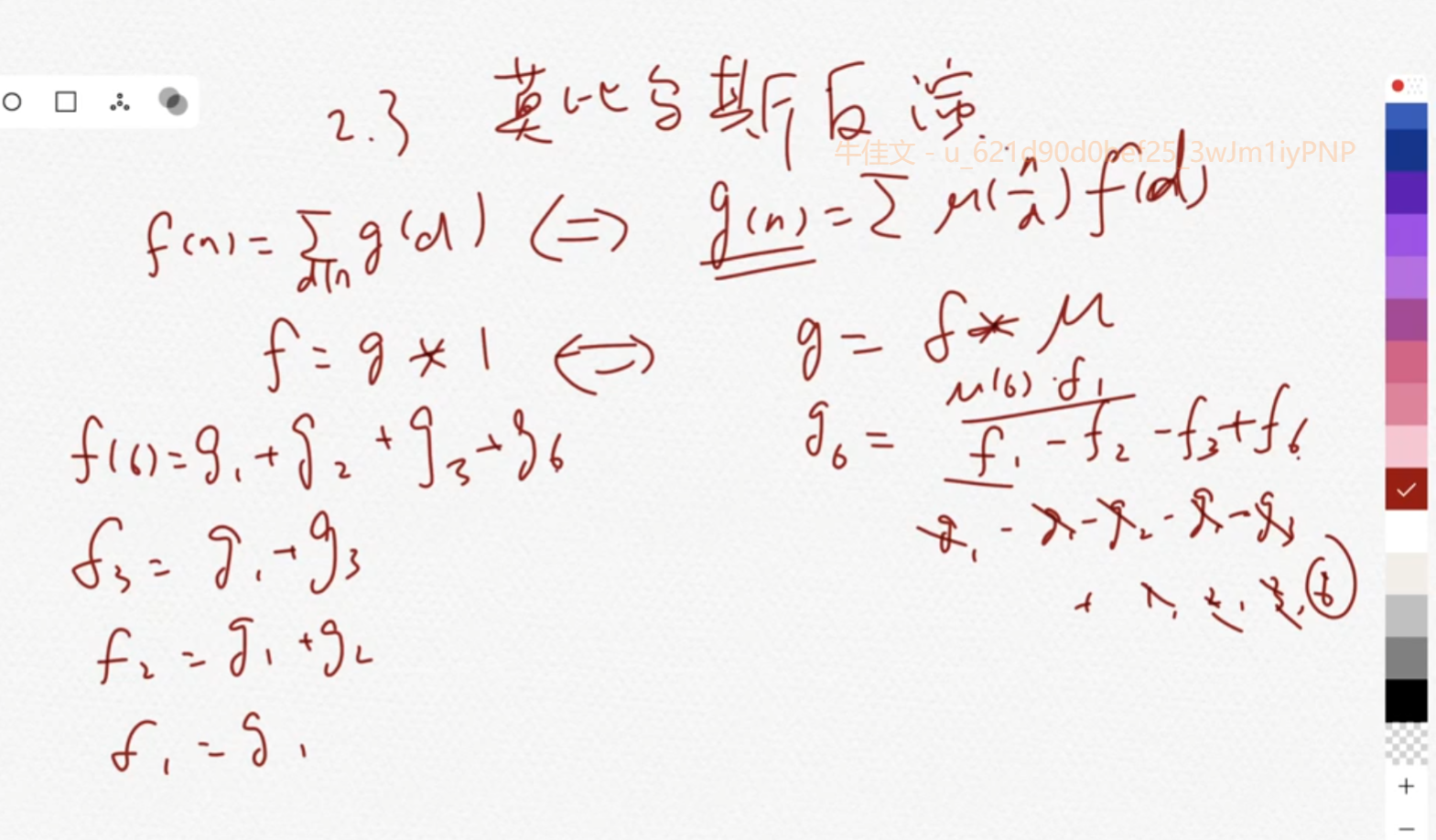
莫比乌斯反演
互质对数
gcd之和
总结
posted @
2022-03-25 12:29
牛佳文
阅读(
107
) 评论(
0
)
收藏
举报
刷新页面
返回顶部
公告