2肖臻区块链_听课笔记
btc的全节点维护一个UTXO,未花出去的交易btc,检测是否合法,要在UTXO中的币才行
结点还要打包其他人的交易信息,有第二个激励机制,transaction fee,0.000*
每隔10min产生一个新区块,每隔2016个区块系统调整难度保持出块时间为10min
21w*10min为4年时间,往后交易费变为了主要的
BTC无账户概念,需要说明每个币的来源,以太坊:基于账户的模式,显示记录账户余额
target有一长串0,故header的hash有一长串0

现在不仅需要该nonce,32位nonce穷举完也找不到,还需要改header中其他内容,才能满足target
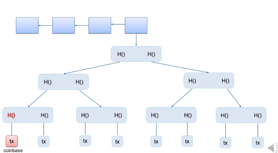
通过改coinbase来改root hash

coinbase的内容随便写,挖矿有两层循环,先改coinbase再改nonce
输入和上一个输出拼起来跑脚本通过则合法
出块时间服从指数分布,按照系统总算力定的,不是个人算力
无记忆,挖10min后平均还要10min,每次尝试nonce都是一样的概率成功,不会不公平,只靠算力区分概率,10min是平均的,出块时间在不断变化以维持公平

从任意位置截断,还是指数分布,故无记忆?还是10min
挖矿维护btc的安全性,以后是交易fee激励
恶意结点M获得记账权,无A私钥无法签名,写入转账交易不合法,诚实用户不接受
M损失铸币,最长合法链,才会拓展
挖矿前就要确定前一个区块,即插入位置,写入header的hash

回滚M->A,在M->A的影响产生之后,不可逆的外部效果后,发出M->M'回滚
如果不是最后区块,在中间,难度很大

缺省等待6个确认区块才认为是不可篡改的,概率很低了已经,交易刚刚发布但还没写入下一个区块,0confirmation,全节点查不到交易,但支付到发货天然的有时间间隔
每个区块最多1MB,正常情况下会有0confirmation的,一段时间交易数过多
selfish mining可以减少竞争
浙公网安备 33010602011771号