编号559:N叉树的最大深度
编号559:N叉树的最大深度
给定一个 N 叉树,找到其最大深度。
最大深度是指从根节点到最远叶子节点的最长路径上的节点总数。
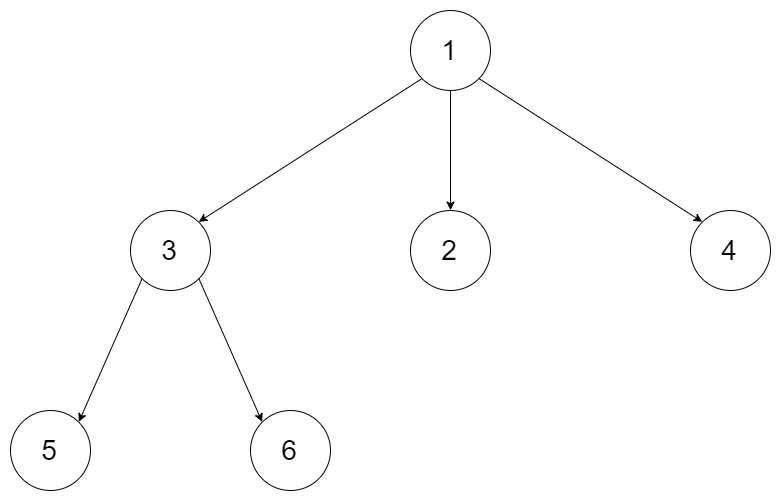
例如,给定一个 3叉树 :
我们应返回其最大深度,3。
思路
跟二叉树的层序遍历相似,当遍历到每一层时,其深度加一
代码
public static int getDepth3(Node root){
Queue<Node> queue = new ArrayDeque<>();
int depth = 0;
queue.add(root);
while(!queue.isEmpty()){
depth++;
int size = queue.size();
for (int i = 0; i < size; i++) {
Node temp = queue.poll();
for (int j = 0; j <temp.children.size ; j++) {
queue.add(temp.children);
}
}
}
return depth;
}

浙公网安备 33010602011771号