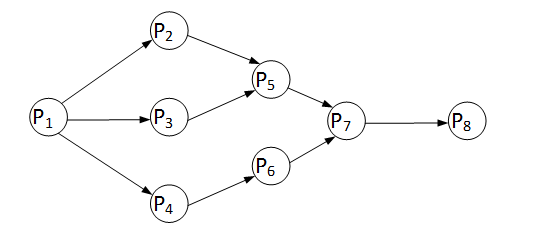
操作系统:前趋图

1. 定义:描述各进程之间执行的先后顺序

 

2. 前趋图描述:

     ① 结点表示进程、程序段、语句

    a. 初始结点:没有前趋的结点

    b. 终止结点:没有后继的结点

    c. 结点的权:程序的量/程序的执行时间

     ② 有向边表示结点之间存在的偏序关系/前趋关系

  ③  若进程Pi与Pj存在前趋关系,记为 (Pi,Pj) 或 Pi -> Pj,Pi是Pj的直接前趋,Pj是Pi的直接后继

 

posted @ 2022-08-07 21:20  nixwl  阅读(643)  评论(0)    收藏  举报