3.Spring-Cloud服务注册与发现-Eureka
服务治理可以说是微服务架构中最为核心的基础模块,它主要用来实现各个服务实例的自动化注册于发现。为什么要用服务治理模块,没有它有什么不好的地方。
在最初开始构建微服务系统的时候可能服务并不多,我们可通过做一些静态配置来实现服务的调用。但随着业务的发展,系统的功能越来越复杂,相应的微服务应用也不断增加,我们的静态配置就会变得越来越难以维护。并且面对不断发展的业务,我们的集群规模、服务的位置、服务的命名都有可能发生变化,如果还是纯手工的方式,那么还是很容易的发生错误或命名冲突。同时,对于这类静态内容的维护也是很浪费人力的。
为了解决微服务架构中的服务实例维护的问题,产生了大量的服务治理框架和产品。
服务注册:在服务治理框架中通常会有一个注册中心,也叫服务中心。管理各种服务功能包括服务的注册、发现、熔断、负载、降级等,比如dubbo admin后台的各种功能。
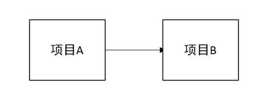
有了服务中心调用关系会有什么变化,画几个简图来帮忙理解
项目A调用
项目B
正常调用项目A请求项目B
有了服务中心之后,任何一个服务都不能直接去掉用,都需要通过服务中心来调用
项目A调用项目B,项目B在调用项目C
这时候调用的步骤就会为两步:第一步,项目A首先从服务中心请求项目B服务器,然后项目B在从服务中心请求项目C服务。
服务发现:由于在服务治理框架下运作,服务间的调用不能再通过具体的实例地址来实现,而是通过向服务名发起请求调用来实现的所以,服务调用方在调用提供的接口时,并不知道具体的实例位置。因此调用方需要向服务注册中心咨询服务,并获取所有的是咧清单,以实现对服务实例的访问。
Eureka
Spring Cloud 封装了 Netflix 公司开发的 Eureka 模块来实现服务注册和发现。Eureka 采用了 C-S 的设计架构。Eureka Server 作为服务注册功能的服务器,它是服务注册中心。而系统中的其他微服务,使用 Eureka 的客户端连接到 Eureka Server,并维持心跳连接。这样系统的维护人员就可以通过 Eureka Server 来监控系统中各个微服务是否正常运行。Spring Cloud 的一些其他模块(比如Zuul)就可以通过 Eureka Server 来发现系统中的其他微服务,并执行相关的逻辑。
Eureka由两个组件组成:Eureka服务器和Eureka客户端。Eureka服务器用作服务注册服务器。Eureka客户端是一个java客户端,用来简化与服务器的交互、作为轮询负载均衡器,并提供服务的故障切换支持。Netflix在其生产环境中使用的是另外的客户端,它提供基于流量、资源利用率以及出错状态的加权负载均衡。
创建服务注册中心
基于springboot的注册中心
1.pom.xml需要引入的内容
<project xmlns="http://maven.apache.org/POM/4.0.0" xmlns:xsi="http://www.w3.org/2001/XMLSchema-instance" xsi:schemaLocation="http://maven.apache.org/POM/4.0.0 http://maven.apache.org/maven-v4_0_0.xsd"> <modelVersion>4.0.0</modelVersion> <groupId>1.spring-cloud-eureka-server</groupId> <artifactId>spring-cloud</artifactId> <packaging>war</packaging> <version>0.0.1-SNAPSHOT</version> <name>spring-cloud Maven Webapp</name> <url>http://maven.apache.org</url> <!--springboot采用1.5.x 对应springcloud版本为 Dalston--> <parent> <groupId>org.springframework.boot</groupId> <artifactId>spring-boot-starter-parent</artifactId> <version>1.5.2.RELEASE</version> <relativePath/> </parent> <properties> <project.build.sourceEncoding>UTF-8</project.build.sourceEncoding> <project.reporting.outputEncoding>UTF-8</project.reporting.outputEncoding> <java.version>1.8</java.version> <spring-cloud.version>Dalston.RELEASE</spring-cloud.version> </properties> <dependencies> <dependency> <groupId>org.springframework.cloud</groupId> <artifactId>spring-cloud-starter</artifactId> </dependency> <dependency> <groupId>org.springframework.cloud</groupId> <artifactId>spring-cloud-starter-eureka-server</artifactId> </dependency> <dependency> <groupId>org.springframework.boot</groupId> <artifactId>spring-boot-starter-test</artifactId> <scope>test</scope> </dependency> </dependencies> <dependencyManagement> <dependencies> <dependency> <groupId>org.springframework.cloud</groupId> <artifactId>spring-cloud-dependencies</artifactId> <version>${spring-cloud.version}</version> <type>pom</type> <scope>import</scope> </dependency> </dependencies> </dependencyManagement> <build> <finalName>spring-cloud</finalName> </build> </project>
2. 通过@EnableEurekaServer注解启动一个服务注册中心提供给其他应用进行对
3.application.properties
eureka.client.register-with-eureka :由于该应用为注册中心,所以设置为false,代表不向注册中心注册自己
eureka.client.fetch-registry :由于注册中心的职责就是维护服务实例,它并不需要去检索服务,所以设置为false
eureka.client.serviceUrl.defaultZone :设置与Eureka Server交互的地址,查询服务和注册服务都需要依赖这个地址。默认是http://localhost:8761/eureka ;多个地址可使用 , 分隔。
4.启动工程访问 http:testhost:8000
Instance currently registered with Eureka 为空,说明当前还没有注册任何服务
未完
微信公众号


浙公网安备 33010602011771号