高精度
例1:791. 高精度加法
给定两个正整数,计算它们的和。
输入格式
共两行,每行包含一个整数。
输出格式
共一行,包含所求的和。
数据范围
1≤整数长度≤100000
输入样例:
12
23
输出样例:
35
#include <iostream> #include <vector> using namespace std; vector<int> A, B, C;
//C = A + B vector<int> add(vector<int> &A, vector<int> &B) { int t = 0; for (int i = 0; i < A.size() || i < B.size(); i ++) { if (i < A.size()) t += A[i]; if (i < B.size()) t += B[i]; C.push_back(t % 10); t /= 10; } if (t) C.push_back(t); return C; } int main() { string a, b; cin >> a >> b; for (int i = a.size() - 1; i >= 0; i --) A.push_back(a[i] - '0'); for (int i = b.size() - 1; i >= 0; i --) B.push_back(b[i] - '0'); C = add(A, B); for (int i = C.size() - 1; i >= 0; i --) cout << C[i]; return 0; }
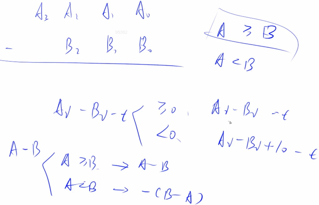
例2:792. 高精度减法
给定两个正整数,计算它们的差,计算结果可能为负数。
输入格式
共两行,每行包含一个整数。
输出格式
共一行,包含所求的差。
数据范围
1≤整数长度≤10^5
输入样例:
32
11
输出样例:
21
![]()
#include <iostream> #include <vector> using namespace std; vector<int> A, B, C; // 判断A是否>=B bool cmp (vector<int> &A, vector<int> &B) { if (A.size() != B.size()) return A.size() > B.size(); for (int i = A.size() - 1; i >= 0; i --) { if (A[i] != B[i]) return A[i] > B[i]; } return true; } vector<int> sub(vector<int> &A, vector<int> &B) { for (int i = 0, t = 0; i < A.size(); i ++) { // t = A[i] - B[i] - t t = A[i] - t; if (i < B.size()) t -= B[i]; C.push_back((t + 10) % 10); if (t < 0) t = 1; else t = 0; } while (C.size() > 1 && C.back() == 0) C.pop_back(); return C; } int main(){ string a, b; cin >> a >> b; for (int i = a.size() - 1; i >= 0; i --) A.push_back(a[i] - '0'); for (int i = b.size() - 1; i >= 0; i --) B.push_back(b[i] - '0'); if (cmp(A, B)) { C = sub(A, B); for (int i = C.size() - 1; i >= 0; i --) cout << C[i]; } else { C = sub(B, A); cout << '-'; for (int i = C.size() - 1; i >= 0; i --) cout << C[i]; } return 0; }
例3:793. 高精度乘法
给定两个非负整数 A 和 B,请你计算 A×B 的值。
输入格式
共两行,第一行包含整数 A,第二行包含整数 B。
输出格式
共一行,包含 A×B 的值。
数据范围
1≤A的长度≤100000
0≤B≤100000
输入样例:
2
3
输出样例:
6
#include <iostream> #include <vector> using namespace std; vector<int> mul(vector<int>& A, int b) { int t = 0; vector<int> C; for (int i = 0; i < A.size() || t; i ++) { t += A[i] * b; C.push_back(t % 10); t /= 10; } while (C.size() > 1 && C.back() == 0) C.pop_back(); return C; } int main() { string a; int b; cin >> a >> b; vector<int> A; for (int i = a.size() - 1; i >= 0; i --) A.push_back(a[i] - '0'); auto C = mul(A, b); for (int i = C.size() - 1; i >= 0; i --) cout << C[i]; return 0; }
794. 高精度除法
给定两个非负整数 A B,请你计算 A/B 的商和余数。
输入格式
共两行,第一行包含整数 A,第二行包含整数 B。
输出格式
共两行,第一行输出所求的商,第二行输出所求余数。
数据范围
1≤A的长度≤100000,
1≤B≤10000
B 一定不为 0
输入样例:
7
2
输出样例:
3
1
#include <iostream> #include <vector> #include <algorithm> using namespace std; vector<int> div (vector<int> A, int b, int &r) { r = 0; vector<int> C; for (int i = A.size() - 1; i >= 0; i --) { r = r * 10 + A[i]; C.push_back(r / b); r %= b; } reverse(C.begin(), C.end()); while (C.size() > 1 && C.back() == 0) C.pop_back(); return C; } int main() { string a; int b; cin >> a >> b; vector<int> A; int r; for (int i = a.size() - 1; i >= 0; i --) A.push_back(a[i] - '0'); auto C = div(A, b, r); for (int i = C.size() - 1; i >= 0; i --) cout << C[i]; cout << endl << r << endl; return 0; }


浙公网安备 33010602011771号