动态规划——所有点对最短路径问题
所有点对的最短路径问题

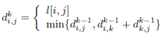
按照书上所说,\(d^k_{i,j}\)代表了点\(i\) 到 \(j\) 经过 \(1 or 2 or 3 or 4 ...... k\)的最短路径长度,比如\(d^3_{1,6}\)表示点1到点6, 可以经过点1,点2,点3的最短长度。
算法基本思路:
引理,点 i 到点 j 的最短路径可能是点 i 到点 j 的直接路径长度,也可能是以某点 k 为中间节点,i, k, j 的路径长度。
采用自底向上逐步求解的方法,设\(D_{i,j}^k\)表示 点 i 到 j 以点集[0..k] 为中间节点的最短路径。

k 从0开始枚举各点,则第一步先求所有点以可能经过点0为中间节点的最短路径;
第二步求所有点以可能经过点1为中间节点的最短路径,在此时所有的D[i, j] 已经考虑过0作为中间节点的最短路径,即第二步做的是以点集[0..1]作为考虑,满足自底向上,不难看出,到了最后一步,就是以点集[0...n-1]作为考虑,此时求得的D[i, j] 就是最短路径。
如:

初始: k = 0
先代入公式 k = 0时,有 \(D_0[i,j] = L[i, j]\); 所以有 \(D_0 = \begin{bmatrix} 0& 2 &9 \\ 8& 0& 6\\ 1& ∞& 0\\ \end{bmatrix}\)
之后计算D1, 按照公式有 \(D_1 = min(D_0[i,j],D_0[i,k] + D_0[k,j]) \\所以 D_1= \begin{bmatrix} 0& 2 &9 \\ 8& 0& 6\\ 1& 3& 0\\ \end{bmatrix}\)
以此类推,当计算到\(D_3\)时,说明已经是经过整个点集的最短路径
以下是python代码实现:
n = 3 //n*n的矩阵
D = [
[0, 2, 9],
[8, 0, 6],
[1, 9999999, 6]
]
for k in range(0, 3): //从D_0到D_k进行k次运算
for i in range(0, 3): //i从0到3
for j in range(0, 3): //j从0到3,给每条边赋值
D[i][j] = min(D[i][j], D[i][k] + D[k][j])
print(D) //打印矩阵

浙公网安备 33010602011771号