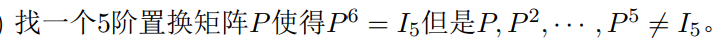
线性代数 随缘一题[1]

\[P=\begin{bmatrix}
& 1 \\
1 \\
& & & 1 \\
& & & & 1 \\
& & 1 \\
\end{bmatrix}
\]
实际上就是:
\[\begin{pmatrix} 2 & 1 & 4 & 5 & 3 \end{pmatrix}= \begin{pmatrix} 2 & 1 \end{pmatrix} \begin{pmatrix} 2 & 3 & 1 \end{pmatrix} \]

实际上就是:
\[\begin{pmatrix} 2 & 1 & 4 & 5 & 3 \end{pmatrix}= \begin{pmatrix} 2 & 1 \end{pmatrix} \begin{pmatrix} 2 & 3 & 1 \end{pmatrix} \]