项目系统设计与数据库设计
自信即巅峰队—项目系统设计与数据库设计
| 这个作业属于那个课程 | https://edu.cnblogs.com/campus/fzzcxy/2018SE1 |
|---|---|
| 这个作业要求在哪 | https://edu.cnblogs.com/campus/fzzcxy/2018SE1/homework/11456 |
| 这个作业的目标 | 完成系统设计说明书与数据库设计的说明书,完成分工 |
| 作业正文 | 如下 |
预期开发时间安排
| 起始时间 | 任务安排 | 当前进度 |
|---|---|---|
| 第十二周 | 完成后端部分代码 | 进行中 |
| 第十三周 | 完成后端全部代码 | 未进行 |
| 第十四周 | 完成前端页面内容 | 未进行 |
| 第十五周 | 完成前端页面设置 | 未进行 |
| 第十六周 | 修复发现的bug | 未进行 |
| 第十七周 | 前端进行前端测试,后端进行后端测试 | 未进行 |
| 第十八周 | 添加个性化内容 | 未进行 |
| 第十九周 | 进行最终调试,准备交付系统 | 未进行 |
预期开发计划分工安排
| 学号 | 姓名 | 角色 | 预期任务分配 |
|---|---|---|---|
| 211806404 | 陶大锐 | 后端 | 后端代码实现及测试 |
| 211806359 | 张春琳 | 前端 | 前端页面实现及测试 |
| 211806311 | 程耿 | 前端,测试 | 前端页面实现及测试 |
| 211806301 | 蔡华翔 | 前端 | 前端页面实现 |
| 211806423 | 张恒 | 前端 | 前端页面实现 |
| 211806392 | 林清松 | 后端 | 后端代码实现 |
| 211806353 | 徐大洲 | 前端 | 前端页面实现 |
| 211806324 | 李相炎 | 前端 | 前端页面实现 |
体系结构设计
功能模块图

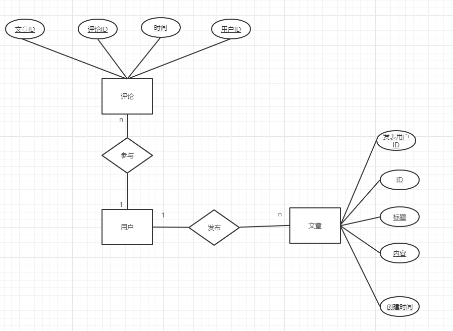
ER图


数据流图

四.问题收集

五.此次工作流程与贡献比例

六.码云的提交 commit 截图


浙公网安备 33010602011771号