空间(3d)共面不共线三点求解圆心与半径
坐标形式:

假设有共面不共线三点:

求解过程如下:



下面求解范数norm(即向量长度)


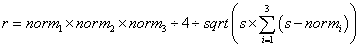
下面求解半径r


下面求解圆心p



构建如下矩阵:



(转发请标注来源:https://www.cnblogs.com/nanyunan/p/12054935.html)
坐标形式:

假设有共面不共线三点:

求解过程如下:



下面求解范数norm(即向量长度)


下面求解半径r


下面求解圆心p



构建如下矩阵:



(转发请标注来源:https://www.cnblogs.com/nanyunan/p/12054935.html)