线性代数期末考题预测和题目详解(个人总结)
【腾讯文档】
https://docs.qq.com/pdf/DVVFiRUlWb0xxdUl4
考题预测目录
1.3节
行列式的5条性质
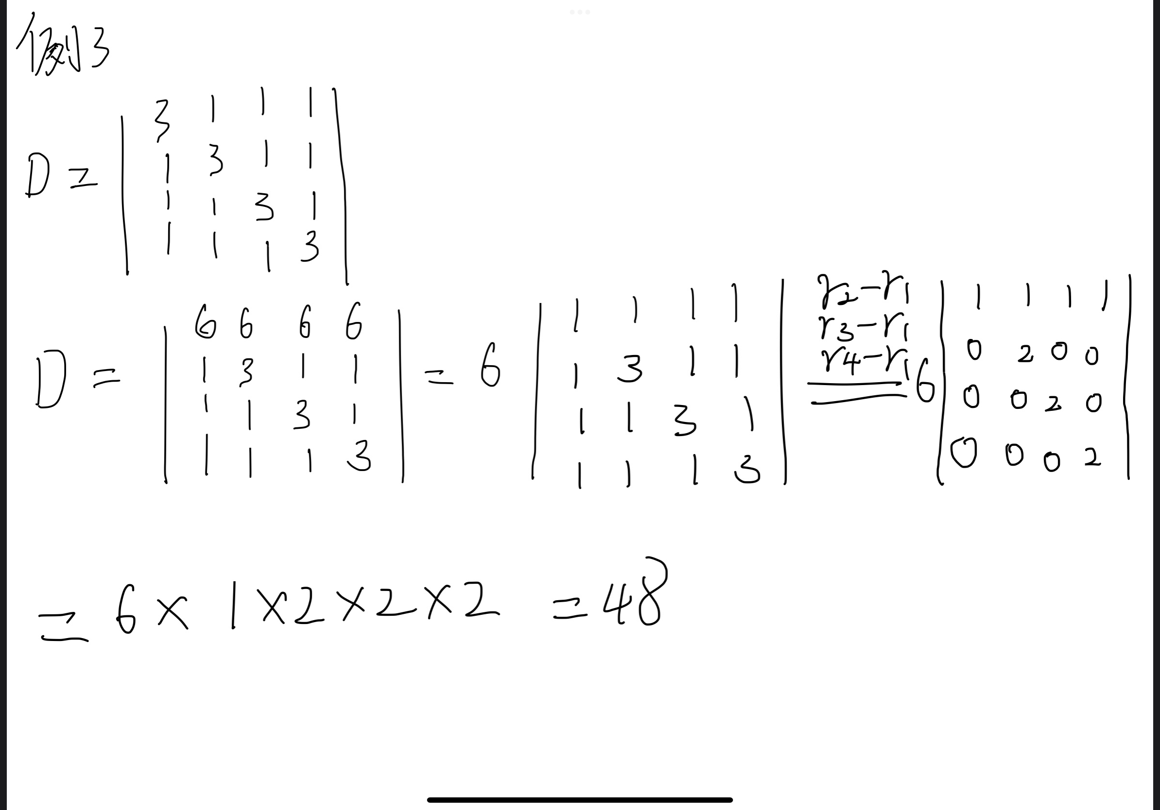
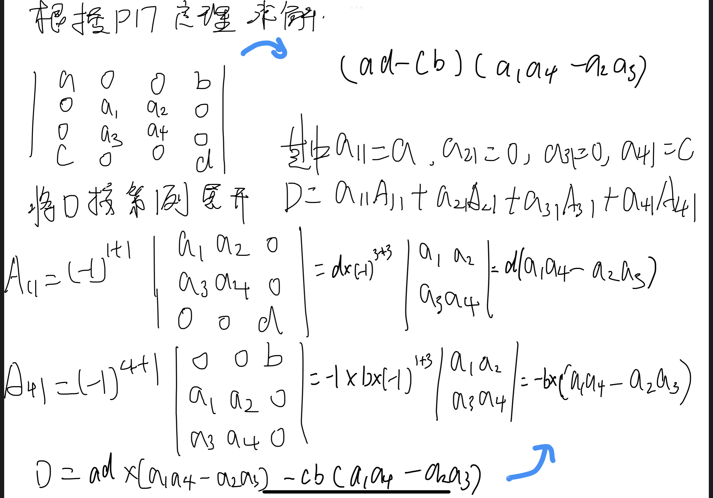
例题3 + P16 2(2) + P26 4(3)
1.4节
定义1 引理 定理1 推论 除了例题4/例题5,其他都要看
P21 1和2 + P22 5(3) + P26 7(2)
1.5节
克莱姆法则的5条定理
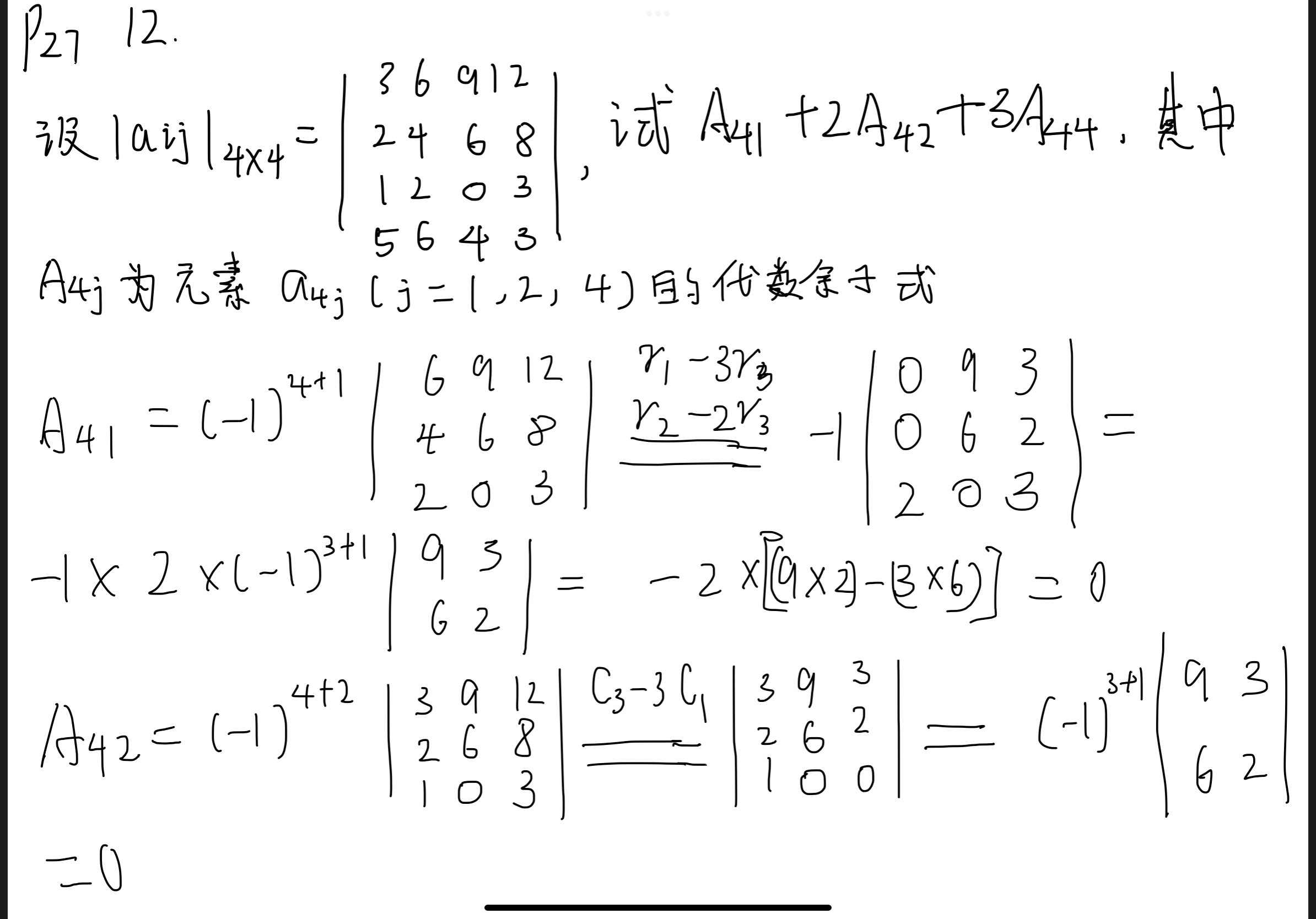
P26 6和11 + P27 12
2.2节
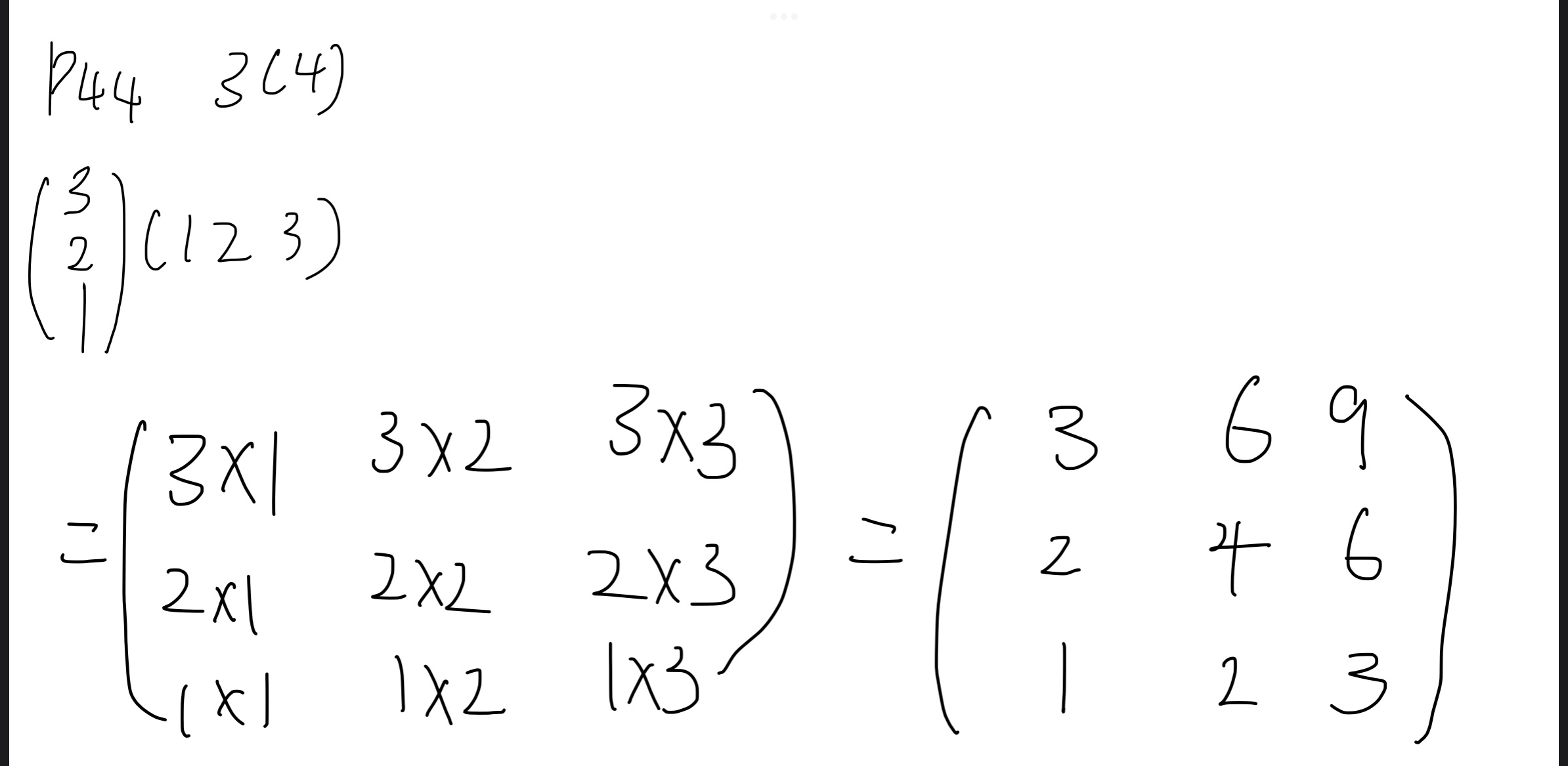
P44 3(3)(4)和4 +P45 10和14
2.3节
看看定义和例题即可
2.5节⭐
至少会用初等变换法求逆矩阵
至少会用初等变换法求解矩阵方程【AX=B即求:"若A可逆,则X=A-1B(A B)】和【矩阵方程变形,一般把X放同侧,带上E,给出X=?】
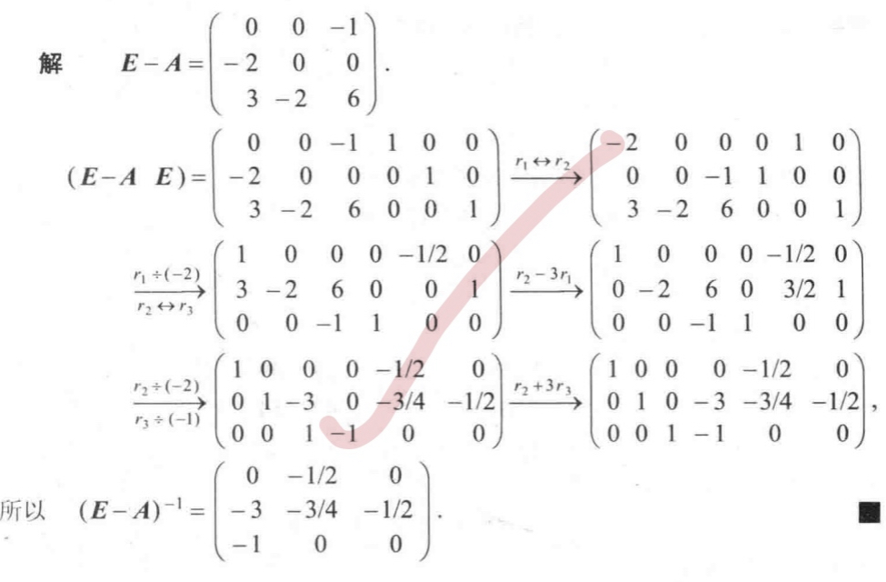
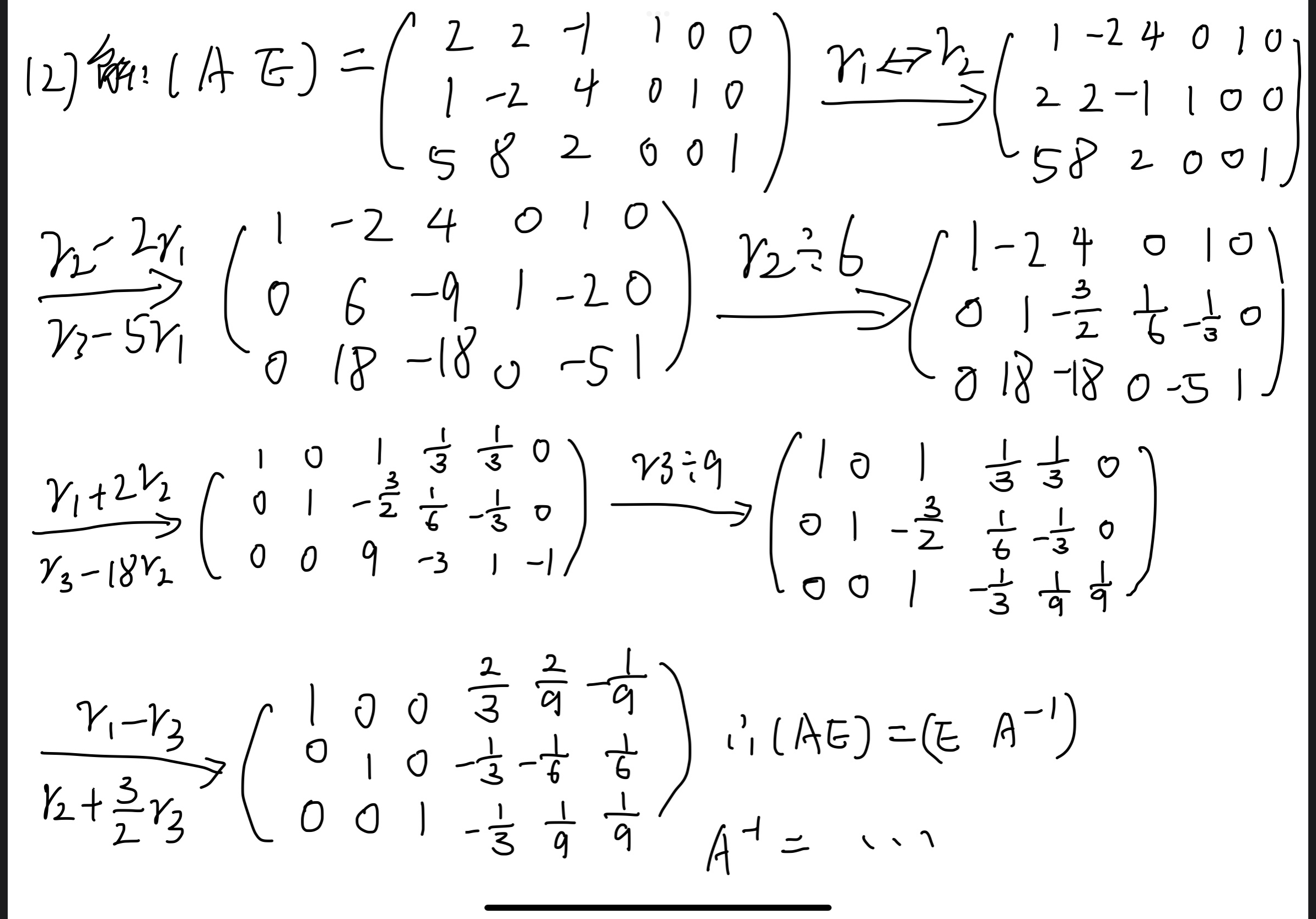
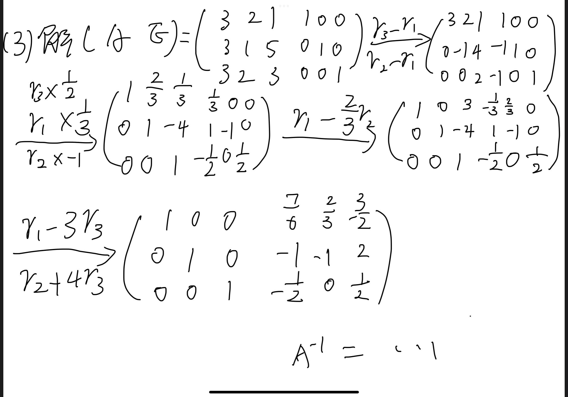
例题4/例题5 +P69 4(三阶/3X4阶) + P66的《⭐用初等变换法求解矩阵方程AX=B》+ 例题6/例题7 +P69 5(1)(3)
2.6节⭐
至少会求矩阵的秩
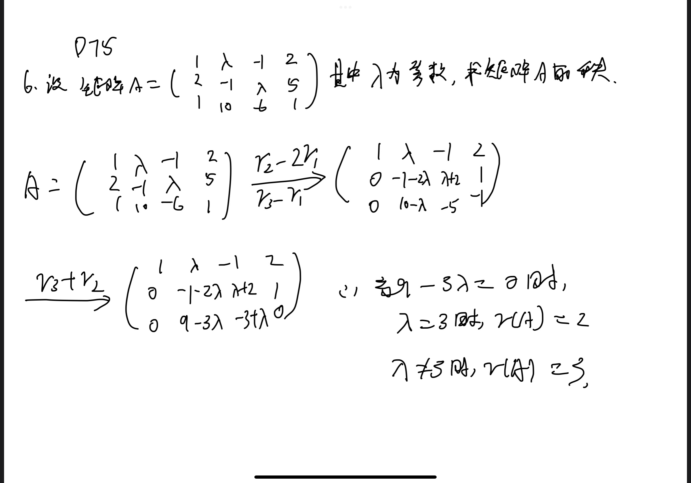
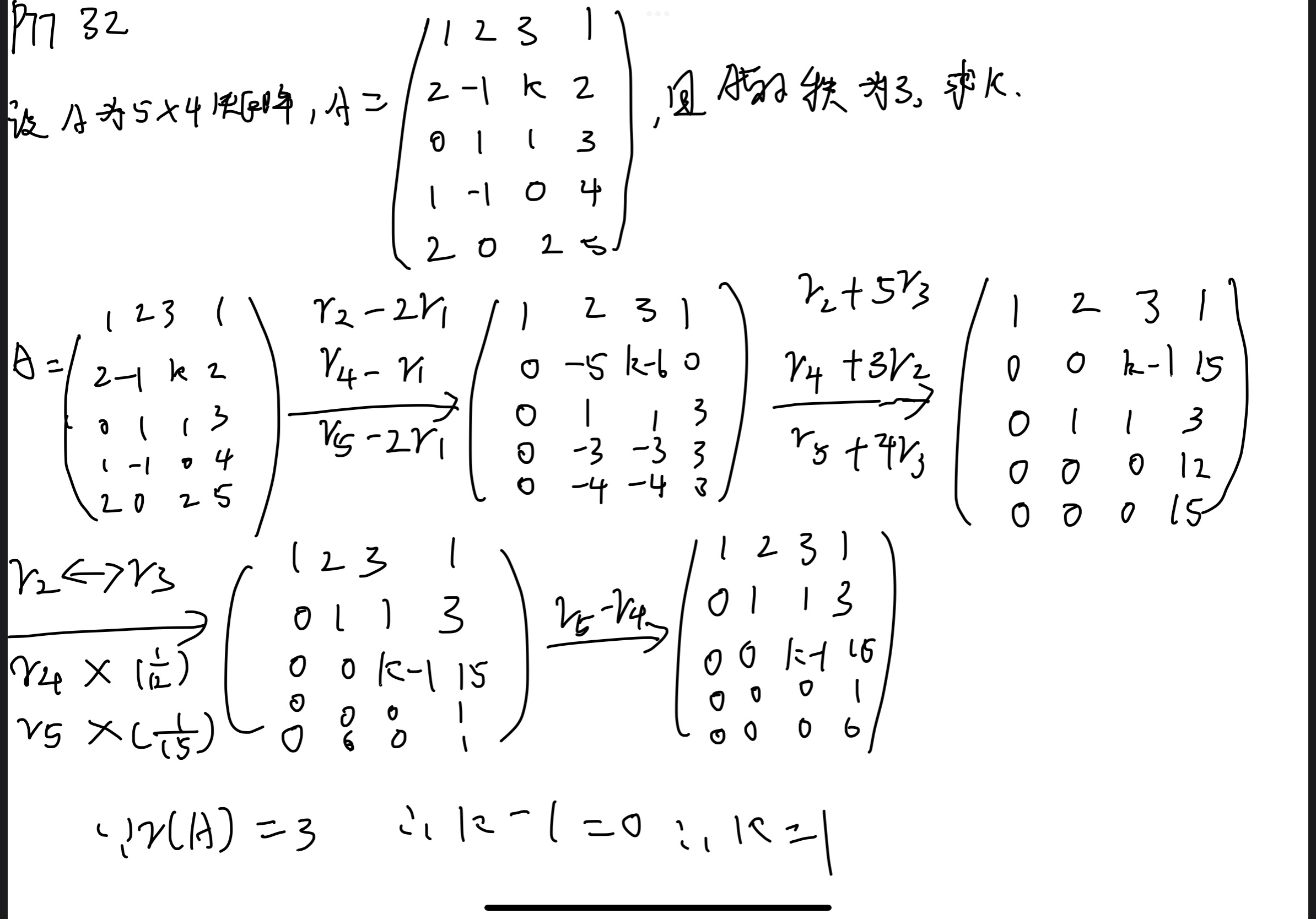
包括难点带参 例题6 + P75 6(带参) + P77 32
总习题2不用看
3节
P81 两个定理和5个结论
P93 线性相关和线性无关定义
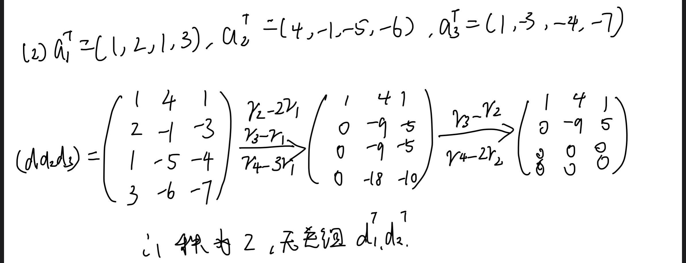
P100 例题2 + P102 2和3和4
P108 齐次线性方程组2个性质
P109 定理1
P111 例题1/例题2
P113 性质3/性质4/定理2
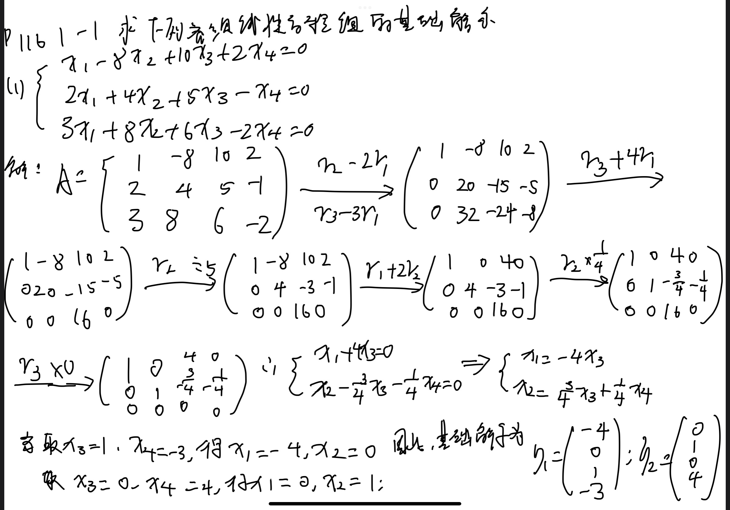
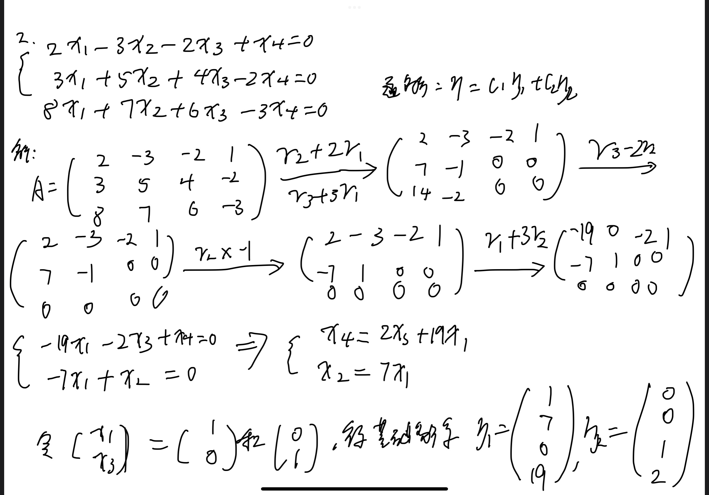
P116 1(1)(2)
前两章全对的话 分值可达到80分+ 老师课堂自出的四道题
出题类型
一 选择题 5x2'
二 判断题 5x2'
三 填空题 4x5'
四 计算题 6x10'。
声明:本人数学不咋滴,看看过程理解下就行
第一章
1.3行列式的性质





1.4行列式按行列展开






1.5克莱姆法则




第二章
2.2矩阵的运算






2.3逆矩阵


2.5用初等变换求逆矩阵
化为单位阵





用初等变换求矩阵方程
两种形式 化为单位阵





2.6矩阵的秩
求矩阵的秩 只需化为行阶梯形矩阵。


带参
带参矩阵求解参数:已知矩阵的秩(直接得出)/未知矩阵的秩(假设法),都是基于行阶梯形矩阵的形式。



第3节 线性方程组
求极大无关组 只需化为行阶梯形矩阵。






求齐次线性方程组 只需化为最简形矩阵。




课上四道题





浙公网安备 33010602011771号