#0001. 合法序列
//想强迫自己每天写一篇题解哈哈哈
//解法中不加粗的部分是一些自己思维approach的过程
题目大意:
给定n,m,求有多少个长度为2*(n+m)的由A B构成的序列,可以拆成n个"AB"子序列和m个"BA"序列。eg. 序列ABAABB,可以将它拆成3个子序列AB(第1个和第6个字符),BA(第2个和第3个字符),AB(第4个和第5个字符)。对1e9+7取模。
多测。T<=1e5, 1<=n,m<=1e5。
题目解法:
首先我们需要知道一个序列合法需要满足的条件。
感性理解的话我们可以想到如果一个前缀有太多的A那么会导致后面有太多的B无法被用来组成“BA”。反之如果有太多的B则会导致"AB"的失配。
那么我们现在应该找到一个判断前缀合法的式子P 若一个序列的所有前缀均满足P 则合法。那么现在我们就要找到这个P。
考虑一个前缀,我们用cntA cntB分别代表该前缀中A和B的数量
1° cntA>cntB 此时BA可能失配
该情况下我们最多可以组成的BA数量为cntB+(n+m)-cntA。因此若cntA-cntB>n,包含该前缀的序列一定不合法。
2° cntB>cntA 此时AB可能适配
该情况下我们最多可以组成的AB数量为cntA+(n+m)-cntB。因此若cntA-cntB<-m,包含该前缀的序列一定不合法。
因此我们可以得到一个结论:
合法序列等价于对于任意一个前缀-m<=cntA-cntB<=n
接着我们可以想到dp状态及转移方程:f(cntA,cntB)=f(cntA-1,cntB)+f(cntA,cntB-1), (-m<=cntA-cntB<=n)
从数据范围猜测组合数乱搞。再结合这个转移方程的特征,将其转化为如下问题:
从(0,0)走到(n+m,n+m),如下点不能走:
1. x-y>n
2. x-y<-m

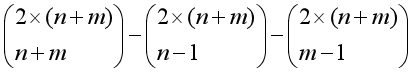
显然这两种情况不重合,可以从总方案数
中减去
考虑第一种情况,我们需要寻找经过特定右下角的路径条数(显然这个等腰直角三角形的边长为m)

通过如上翻折转化我们将本来的问题转化为了从一个(2n+2+m)*m的方格左下角走到右上角的方案数。
显然这种关系是一一对应的。
第二种情况同理。
因此对于任意n,m,有答案
由此我又想到了另一个计算路径条数的奇技淫巧:

(OI wiki)
核心思想都是把起点到离开界线的路径关于界线对称

浙公网安备 33010602011771号