2021-04-10
本篇包括:
(1)1~3节,是《算法竞赛入门到进阶》书中原有的内容。
(2)4节“带权并查集”,是扩展内容。
0 并查集简介
并查集(Disjoint Set)是一种非常精巧而实用的数据结构,它主要用于处理一些不相交集合的合并问题。经典的应用有:连通子图、最小生成树Kruskal算法[ 参考本书第10章“10.10.2 kruskal算法”。]和最近公共祖先(Least Common Ancestors, LCA)等。
并查集在算法竞赛中极为常见。
通常用“帮派”的例子来说明并查集的应用背景。一个城市中有n个人,他们分成不同的帮派;给出一些人的关系,例如1号、2号是朋友,1号、3号也是朋友,那么他们都属于一个帮派;在分析完所有的朋友关系之后,问有多少帮派,每人属于哪个帮派。给出的n可能是106的。
读者可以先思考暴力的方法,以及复杂度。如果用并查集实现,不仅代码很简单,而且复杂度可以达到O(logn)。
并查集:将编号分别为1~n的n个对象划分为不相交集合,在每个集合中,选择其中某个元素代表所在集合。在这个集合中,并查集的操作有:初始化、合并、查找。
本文比较全面地介绍了并查集:
(1)并查集的基本操作。
(2)并查集的优化:合并和路径压缩。
(3)带权并查集。
并查集的基本应用是集合问题;加上权值之后,利用并查集的合并和查询优化,可以对权值所代表的具体应用进行高效的操作。
1 并查集的基本操作
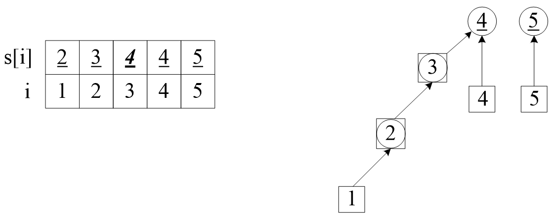
(1)初始化。定义数组int s[]是以结点i为元素的并查集,开始的时候,还没有处理点与点之间的朋友关系,所以每个点属于独立的集,并且以元素i的值表示它的集s[i],例如元素1的集s[1]=1。
下面是图解,左边给出了元素与集合的值,右边画出了逻辑关系。为了便于讲解,左边区分了结点i和集s:把集的编号加上了下划线;右边用圆圈表示集,方块表示元素。
∎例题
下面以hdu 1213为例子,实现上述操作。http://acm.hdu.edu.cn/showproblem.php?pid=1213
有n个人一起吃饭,有些人互相认识。认识的人想坐在一起,而不想跟陌生人坐。例如A认识B,B认识C,那么A、B、C会坐在一张桌子上。
给出认识的人,问需要多少张桌子。
一张桌子是一个集,合并朋友关系,然后统计集的数量即可。下面的代码是并查集操作的具体实现。
#include <bits/stdc++.h>
using namespace std;
const int maxn = 1050;
int s[maxn];
void init_set(){ //初始化
for(int i = 1; i <= maxn; i++)
s[i] = i;
}
int find_set(int x){ //查找
return x==s[x]? x:find_set(s[x]);
}
void merge_set(int x, int y){ //合并
x = find_set(x);
y = find_set(y);
if(x != y) s[x] = s[y]; //把x合并到y上,y的根成为x的根
}
int main (){
int t, n, m, x, y;
cin >> t;
while(t--){
cin >> n >> m;
init_set();
for(int i = 1; i <= m; i++){
cin >> x >> y;
merge_set(x, y);
}
int ans = 0;
for(int i = 1; i <= n; i++) //统计有多少个集
if(s[i] == i)
ans++;
cout << ans <<endl;
}
return 0;
}
- 1
- 2
- 3
- 4
- 5
- 6
- 7
- 8
- 9
- 10
- 11
- 12
- 13
- 14
- 15
- 16
- 17
- 18
- 19
- 20
- 21
- 22
- 23
- 24
- 25
- 26
- 27
- 28
- 29
- 30
- 31
- 32
- 33
- 34
复杂度:上述程序,查找find_set()、合并merge_set()的搜索深度是树的长度,复杂度都是O(n),性能比较差。下面介绍合并和查询的优化方法,优化之后,查找和合并的复杂度都小于O(logn)。
2 合并的优化
合并元素x和y时,先搜到它们的根结点,然后再合并这两个根结点,即把一个根结点的集改成另一个根结点。这两个根结点的高度不同,如果把高度较小的集合并到较大的集上,能减少树的高度。下面是优化后的代码,在初始化时用height[i]定义元素i的高度,在合并时更改。
int height[maxn];
void init_set(){
for(int i = 1; i <= maxn; i++){
s[i] = i;
height[i]=0; //树的高度
}
}
void merge_set(int x, int y){ //优化合并操作
x = find_set(x);
y = find_set(y);
if (height[x] == height[y]) {
height[x] = height[x] + 1; //合并,树的高度加一
s[y] = x;
}
else{ //把矮树并到高树上,高树的高度保持不变
if (height[x] < height[y]) s[x] = y;
else s[y] = x;
}
}
- 1
- 2
- 3
- 4
- 5
- 6
- 7
- 8
- 9
- 10
- 11
- 12
- 13
- 14
- 15
- 16
- 17
- 18
- 19
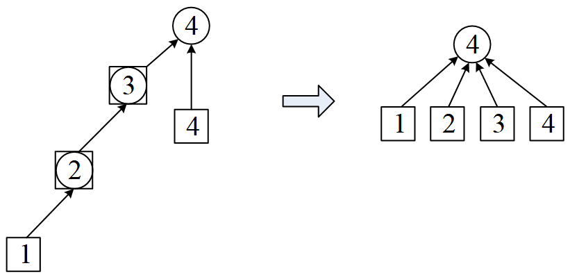
3 查询的优化——路径压缩
在上面的查询程序find_set()中,查询元素i所属的集,需要搜索路径找到根结点,返回的结果是根结点。这条搜索路径可能很长。如果在返回的时候,顺便把i所属的集改成根结点,那么下次再搜的时候,就能在O(1)的时间内得到结果。
程序如下:
int find_set(int x){
if(x != s[x])
s[x] = find_set(s[x]); //路径压缩
return s[x];
}
- 1
- 2
- 3
- 4
- 5
这个方法称为路径压缩,因为整个搜索路径上的元素,在递归过程中,从元素i到根结点的所有元素,它们所属的集都被改为根结点。路径压缩不仅优化了下次查询,而且也优化了合并,因为合并时也用到了查询。
上面代码用递归实现,如果数据规模太大,担心爆栈,可以用下面的非递归代码:
int find_set(int x){
int r = x;
while ( s[r] != r ) r=s[r]; //找到根结点
int i = x, j;
while(i != r){
j = s[i]; //用临时变量j记录
s[i]= r ; //把路径上元素的集改为根结点
i = j;
}
return r;
}
- 1
- 2
- 3
- 4
- 5
- 6
- 7
- 8
- 9
- 10
- 11
4 带权并查集
前面讲解了并查集的基本应用:处理集合问题。并查集的高效,主要是利用了合并和查询的优化。在这些基本应用中,点之间只有简单的归属关系,而没有权值。如果在点之间加上权值,并查集的应用会更广泛。
如果读者联想到树这种数据结构,会发现,并查集实际上是在维护若干棵树。并查集的合并和查询优化,实际上是在改变树的形状,把原来“细长”的、操作低效的大量“小树”,变成了“粗短”的、操作高效的少量“大树”。如果在原来的“小树”上,点之间有权值,那么经过并查集的优化之变成“大树”后,这些权值的操作也变得高效了。
4.1 带权值的路径压缩和合并
定义一个权值数组d[],结点i到父结点的权值为记为d[i]。
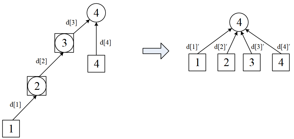
(1)带权值的路径压缩
下面的图,是加上权值之后的路径压缩。原来的权值d[],经过压缩之后,更新为d[]’,例如d[1]’=d[1]+d[2]+d[3]。
需要注意的是,这个例子中,权值是相加的关系,比较简单;在具体的题目的中,可能有相乘、异或等等符合题意的操作。
相应地,在这个权值相加的例子中,把路径压缩的代码改为:
int find_set(int x){
if(x != s[x]) {
int t = s[x]; //记录父结点
s[x] = find_set(s[x]); //路径压缩。递归最后返回的是根结点
d[x] += d[t]; //权值更新为x到根节点的权值
}
return s[x];
}
- 1
- 2
- 3
- 4
- 5
- 6
- 7
- 8
注意代码中的细节。原来的d[x]是点x到它的父结点的权值,经过路径压缩后,x直接指向根节点,d[x]也更新为x到根结点的权值。这是通过递归实现的。
代码中,先用t记录x的原父结点;在递归过程中,最后返回的是根节点;最后将当前节点的权值加上原父结点的权值(注意:经过递归,此时父结点也直接指向根节点,父结点的权值也已经更新为父结点直接到根结点的权值了),就得到当前节点到根节点的权值。
(2)带权值的合并
在合并操作中,把点x与到点y合并,就是把x的根结点fx合并到y的根结点fy。在fx和fy之间增加权值,这个权值要符合题目的要求。
4.2 例题
下面用2个经典例题讲解带权并查集,hdu 3038和poj 1182。
(1)例题1:hdu 3038
∎问题描述
给出区间[a, b],区间之和为v。输入m组数据,每输入一组,判断此组条件是否与前面冲突,最后输出与前面冲突的数据的个数。比如先给出[1, 5]区间和为100,再给出区间[1, 2]的和为200,肯定有冲突。
∎题解
本题是本节讲解的带权值并查集的直接应用。如果能想到可以把序列建模为并查集,就能直接套用模板了。
#include <bits/stdc++.h>
using namespace std;
const int maxn =200010;
int s[maxn]; //集合
int d[maxn]; //权值:记录当前结点到根结点的距离
int ans;
void init_set(){
//初始化
for(int i = 0; i <= maxn; i++)
{
s[i] = i; d[i] = 0; }
}
int find_set(int x){
//带权值的路径压缩
if(x != s[x]) {
int t = s[x]; //记录父结点
s[x] = find_set(s[x]); //路径压缩。递归最后返回的是根结点
d[x] += d[t]; //权值更新为x到根节点的权值
}
return s[x];
}
void merge_set(int a, int b,int v){
//合并
int roota = find_set(a), rootb = find_set(b);
if(roota == rootb){
if(d[a] - d[b] != v)
ans++;
}
else{
s[roota] = rootb; //合并
d[roota] = d[b]- d[a] + v;
}
}
int main(){
int n,m;
while(scanf("%d%d",&n,&m)!=EOF){
init_set();
ans = 0;
while(m–){
int a,b,v;
scanf("%d%d%d",&a,&b,&v);
a–;
merge_set(a, b, v);
}
printf("%d\n",ans);
}
return 0;
}
- 1
- 2
- 3
- 4
- 5
- 6
- 7
- 8
- 9
- 10
- 11
- 12
- 13
- 14
- 15
- 16
- 17
- 18
- 19
- 20
- 21
- 22
- 23
- 24
- 25
- 26
- 27
- 28
- 29
- 30
- 31
- 32
- 33
- 34
- 35
- 36
- 37
- 38
- 39
- 40
- 41
- 42
- 43
- 44
- 45
- 46
- 47
(2)例题2:poj 1182 食物链 http://poj.org/problem?id=1182
∎问题描述
动物王国中有三类动物A、B、C,这三类动物的食物链是:A吃B,B吃C,C吃A。
现有N个动物,以1~N编号。每个动物都是A、B、C中的一种,但是我们并不知道它到底是哪一种。
有人用两种说法对这N个动物所构成的食物链关系进行描述:
第一种说法是"1 X Y",表示X和Y是同类。
第二种说法是"2 X Y",表示X吃Y。
此人对N个动物,用上述两种说法,一句接一句地说出K句话,这K句话有的是真的,有的是假的。当一句话满足下列三条之一时,这句话就是假话,否则就是真话。
1) 当前的话与前面的某些真的话冲突,就是假话;
2) 当前的话中X或Y比N大,就是假话;
3) 当前的话表示X吃X,就是假话。
你的任务是根据给定的N(1 <= N <= 50,000)和K句话(0 <= K <= 100,000),输出假话的总数。
∎题解
这一题中的权值比较有趣,它不是上一题中相加的关系。把权值d[]记录为两个动物在食物链上的相对关系。下面用d(A->B)表示A、B的关系,d(A->B) = 0表示同类,d(A->B) = 1表示A吃B,d(A->B) = 2表示A被B吃。
这一题难点在权值的更新。考虑三个问题:
(i)路径压缩时,如何更新权值。
若d(A->B) =1,d(B->C) = 1,求d(A->c)。因为A吃B,B吃C,那么C应该吃A,得d(A->C)=2;
若d(A->B) =2,d(B->C) =2,求d(A->c)。因为B吃A,C吃B,那么A应该吃C,得d(A->C)=1;
若d(A->B) = 0,d(B->C) =1,求d(A->c)。因为A、B同类,B吃C,那么A应该吃C,得d(A->C)=1;
找规律知:d(A->C) = (d(A->B) + d(B->C) ) % 3,因此关系值的更新是累加再模3。
(ii)合并时,如何更新权值。本题的权值更新是取模操作,内容见下面的代码。
(iii)如何判断矛盾。如果已知A与根节点的关系,B与根节点的关系,如何求A、B之间的关系?内容见下面的代码。
下面是代码。
#include <iostream>
#include <stdio.h>
using namespace std;
const int maxn = 50005;
int s[maxn]; //集合
int d[maxn]; // 0:同类; 1:吃; 2:被吃
int ans;
void init_set(){
//初始化
for(int i = 0; i <= maxn; i++)
{
s[i] = i; d[i] = 0; }
}
int find_set(int x){
//带权值的路径压缩
if(x != s[x]) {
int t = s[x]; //记录父结点
s[x] = find_set(s[x]); //路径压缩。递归最后返回的是根结点
d[x] = (d[x] + d[t]) % 3; //权值更新为x到根节点的权值
}
return s[x];
}
void merge_set(int x, int y, int relation){
//合并
int rootx = find_set(x);
int rooty = find_set(y);
if (rootx == rooty){
if ((relation - 1) != ((d[x] - d[y] + 3) % 3)) //判断矛盾
ans++;
}
else {
s[rootx] = rooty; //合并
d[rootx] = (d[y] - d[x] + relation - 1) % 3; //更新权值
}
}
int main(){
int n, k; cin >> n >> k;
init_set();
ans = 0;
while (k–){
int relation, x, y;
scanf("%d%d%d",&relation,&x,&y);
if ( x > n || y > n || (relation 2 && x y ) )
ans++;
else
merge_set(x,y,relation);
}
cout << ans;
return 0;
}
- 1
- 2
- 3
- 4
- 5
- 6
- 7
- 8
- 9
- 10
- 11
- 12
- 13
- 14
- 15
- 16
- 17
- 18
- 19
- 20
- 21
- 22
- 23
- 24
- 25
- 26
- 27
- 28
- 29
- 30
- 31
- 32
- 33
- 34
- 35
- 36
- 37
- 38
- 39
- 40
- 41
- 42
- 43
- 44
- 45
- 46
- 47
- 48
- 49
5 习题
poj 2524 Ubiquitous Religions,并查集简单题。
poj 1611 The Suspects,简单题。
poj 1703 Find them, Catch them。
poj 2236 Wireless Network。
poj 2492 A Bug’s Life。
poj 1988 Cube Stacking。
poj 1182食物链,经典题。
hdu 3635 Dragon Balls。
hdu 1856 More is better。
hdu 1272 小希的迷宫。
hdu 1325 Is It A Tree。
hdu 1198 Farm Irrigation。
hdu 2586 How far away,最近公共祖先,并查集+深搜。
hdu 6109 数据分割,并查集+启发式合并。
6 参考文献
poj 1182的不同解法,参考[1][2]:
[1]《算法竞赛进阶指南》李煜东,河南电子音像出版社,用“扩展域”的并查集求解poj1182。
[2]《挑战程序设计竞赛》秋叶拓哉,人民邮电出版社,用普通并查集求解poj1182。
[3]leetcode上有一个并查集题目集:https://leetcode-cn.com/tag/union-find/

浙公网安备 33010602011771号