02.07 链表相交
1、题目
给你两个单链表的头节点 headA 和 headB ,请你找出并返回两个单链表相交的起始节点。如果两个链表没有交点,返回 null 。
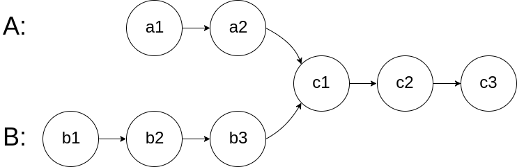
图示两个链表在节点 c1 开始相交:

题目数据 保证 整个链式结构中不存在环。
注意,函数返回结果后,链表必须 保持其原始结构 。
2、初步作答
2.1 思路
- 题目已经给出不存在环,所以不需要考虑环的问题
- 链表相交,那么在相交之后的链表部分完全相同,那么我们可以采用类似
快慢指针的方法去处理
2.2 做法
- 判断链表是否为空,如果存在空链表,则不可能存在相交节点,直接返回null
- 遍历链表,得到两条链表长度
- 移动长度较长的链表,使得两链表剩下部分链表长度一致
- 同时移动链表,直到两链表指针指到相同节点,返回节点
2.3 代码
public ListNode getIntersectionNode(ListNode headA, ListNode headB) {
//用来保存头结点
ListNode listNodeA = new ListNode(0);
ListNode listNodeB = new ListNode(0);
listNodeA.next = headA;
listNodeB.next = headB;
//记录A,B两个链表的长度
int lengthA = 0;
int lengthB = 0;
while(headA.next != null){
lengthA++;
headA = headA.next;
}
while(headB.next != null){
lengthB++;
headB = headB.next;
}
//计算链表之差
int num = (lengthB>=lengthA)?lengthB - lengthA:lengthA-lengthB;
//使得链表处于同一起跑线
headA = listNodeA.next;
headB = listNodeB.next;
if(lengthA >= lengthB){
while(num > 0){
headA = headA.next;
num--;
}
}else{
while(num > 0){
headB = headB.next;
num--;
}
}
//寻找A,B两链表的交点
while(headA != headB){
headA = headA.next;
headB = headB.next;
//排除链表交点是空节点的可能
if(headA == null || headB == null){
System.out.println("null");
return null;
}
num++;//用以记录链表移动的长度
}
//输出链表相交节点前分别有几个节点
if(headA!=null){
if(lengthA>=lengthB){
System.out.println(Math.abs(lengthA-lengthB)+num);
System.out.println(num);
}else{
System.out.println(num);
System.out.println(Math.abs(lengthA-lengthB)+num);
}
}
//返回相交节点
return headA;
}
2.4 思考
- 如果链表有环的话,就不能采用这种方法。
- 因为链表有环所以我们可以通过快慢指针得到入环的节点
- 遍历到入环节点,得到两个链表的长度之后再使用上述部分算法
3、其余解法
- 来自力扣作者:jyd
public class Solution {
public ListNode getIntersectionNode(ListNode headA, ListNode headB) {
ListNode A = headA, B = headB;
while (A != B) {
A = A != null ? A.next : headB;
B = B != null ? B.next : headA;
}
return A;
}
}
-
来自K神的代码,算法思路一致,但是实现方法我简直看不下去我的代码,推荐看一下K神的代码解析

浙公网安备 33010602011771号