连通图、强连通图
连通图、强连通图
图中从一个顶点到达另一顶点,若存在至少一条路径,则称这两个顶点是连通着的。
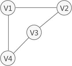
例如图 1 中,虽然 V1 和 V3 没有直接关联,但从 V1 到 V3 存在两条路径,分别是 V1-V2-V3 和 V1-V4-V3,因此称 V1 和 V3 之间是连通的。

图 1 顶点之间的连通状态示意图
连通图
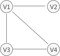
无向图中,如果任意两个顶点之间都能够连通,则称此无向图为连通图。例如,图 2 中的无向图就是一个连通图,因为此图中任意两顶点之间都是连通的。

图 2 连通图示意图
连通分量
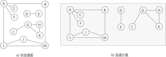
若无向图不是连通图,但图中存储某个子图符合连通图的性质,则称该子图为连通分量
最大子图 极大连通子图
图中部分顶点和边构成的图为该图的一个子图,但这里的子图指的是图中"最大"的连通子图(也称"极大连通子图")
如图 3 所示,虽然图 3a) 中的无向图不是连通图,但可以将其分解为 3 个"最大子图"(图 3b)),它们都满足连通图的性质,因此都是连通分量

图 3 连通分量示意图
提示 图 3a) 中的无向图只能分解为 3 部分各自连通的"最大子图"。
要注意的是,连通分量的提出是以"整个无向图不是连通图"为前提的,因为如果无向图是连通图,则其无法分解出多个最大连通子图,因为图中所有的顶点之间都是连通的
强连通图
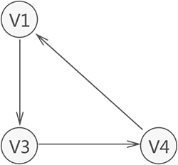
有向图中,若任意两个顶点 \(V_i\) 和 \(V_j\),满足从 \(V_i\)到 \(V_j\)以及从 \(V_j\)到 \(V_i\) 都连通,也就是都含有至少一条通路,则称此有向图为强连通图。
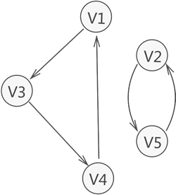
如图 4 所示就是一个强连通图

强连通分量
若有向图本身不是强连通图,但其包含的最大连通子图具有强连通图的性质,则称该子图为强连通分量

可以这样说,连通图是在无向图的基础上对图中顶点之间的连通做了更高的要求,而强连通图是在有向图的基础上对图中顶点的连通做了更高的要求
作者:newcode 更多资源请关注纽扣编程微信公众号

从事机器人比赛、机器人等级考试、少儿scratch编程、信息学奥赛等研究学习

浙公网安备 33010602011771号