NOIP初赛复习(十三)计算几何基础
计算几何(Computational Geometry),即以计算为主的几何。主要研究几何形体的计算机表示、分析与综合。计算几何在数字可视化、图形学、辅助设计、机器人、地理信息、集成电路、计算机视觉等领域被广泛使用。
1、点

点一般表示成P(x,y),其中x,y为点的坐标。如上图4个点的坐标分别为:
P1(3,2) P2(-2,-2) P3(2,4) P4(4,0)。
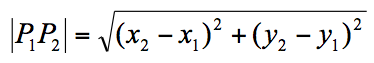
过两点可连成一线段,两点之间的距离记为:

假设点的坐标为:

由勾股定理可知:


例如:


2、直线
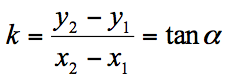
直线的方程:
一般形式为:ax+by+c=0,或y=kx+b。k称为直线的斜率,b称为截矩。

如上图中,直线L1的方程为:0.75x-y+1=0,L2:y=3,L3:x=4。
直线的斜率:
如上图中,直线L1的斜率为0.75。
特别地:当y1=y2时,斜率k=0(如上图中的L2),
当 x1=x2时,k不存在(如上图中的L3)。

过两点P1,P2可以决定一条直线。斜率为:

而当x1与x2无限接近时,斜率k趋于无穷大,这在编程时要特别小心。
3、向量(矢量)
简单的说,向量(vector)就是有大小有方向的量,如速度、位移等物理量都是向量。
如:有方向的线段,即P1和P2的顺序是有关系的,记为:
如果P1是坐标原点,则
又称为向量P2,如下面示意图。
向量的斜率:既然向量是有方向的,那么向量的斜率k就是有正负之分的,具体如下:

设
=a,则有向线段
的长度叫做向量a的长度或模。记作|a|。
夹角:两个非0向量a、b,在空间任取一点O,作
=a,
=b,则角∠AOB叫做向量a与b的夹角,记作<a,b>。若<a,b>=π/2,则称a与b互相垂直,记作a⊥b。
4、向量的加减法
以点O为起点、A为端点作向量a,以点A为起点、B为端点作向量b,则以点O为起点、B为端点的向量称为a与b的和a+b,如下中图。
若从A点作
,要求
的模等于|b|,方向与b相反,即
=-b,则以O为起点、B’为端点的向量称为a与b的差a-b,如下右图。

5、向量的数量积(点乘)
两个向量的数量积是一个数,大小等于这两个向量的模的乘积再乘以它们夹角的余弦。
a·b=|a||b|cos<a,b>
用上面讲到的向量的分解可以证明,数量积等于两个向量的对应支量乘积之和。
a·b=axbx+ayby+azbz
数量积的性质:
a·e=|a||e|cos<a,e>=|a|cos<a,e>
a⊥b 等价于 a·b=0,即axbx+ayby+azbz=0
自乘:|a|2 = a·a
结合律:(λ·a)·b = λ(a·b)
交换律:a·b = b·a
分配律:a·(b + c) = a·b + a·c
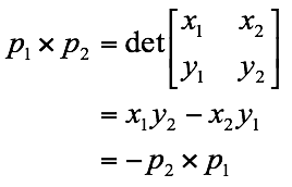
6、向量的向量积(叉乘、叉积)
向量积的一般含义:两个向量a和b的向量积是一个向量,记作a×b,其模等于由a和b作成的平行四边形的面积,方向与平行四边形所在平面垂直,当站在这个方向观察时,a逆时针转过一个小于π的角到达b的方向。这个方向也可以用物理上的右手螺旋定则判断:右手四指弯向由A转到B的方向(转过的角小于π),拇指指向的就是向量积的方向。如下左图。

我们给出叉积的等价而更有用的定义,把叉积定义为一个矩阵的行列式:

如上右图,如果为正数,则相对原点(0,0)来说,
在
的顺时针方向;如果为负数,则
在
的逆时针方向。如果
=0,则
和
模相等且共线,方向相同或相反。
也可以用向量的分解证明:
即:
注:i,j,k分别为x,y,z方向上的单位向量
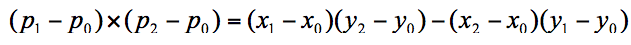
现在探讨一个重要的问题:给定两个向量:和
,对它们的公共端点P0来说,判断
是否在
的顺时针方向。
方法:如上图,把P0作为原点,得出向量P1’=P1-P0和P2’=P2-P0,因此,这两个向量的叉积为:
如果该叉积为正,则在
的顺时针方向,如果为负,则
在
的逆时针方向。如果等于0,则P0,P1,P2三点共线。
讨论另一个重要问题:确定连续线段是向左转还是向右转,如下图,即两条连续线段和
在点P1是向左转还是向右转。也即∠P1P0P2的转向。
方法:叉积,同上。
向量的叉积对于计算几何有着重要的意义,是很多算法的核心。用叉积可以判断从一个向量到另一个向量的旋转方向,可以求同时垂直于两个向量的直线(向量)方向,还能用来计算面积……。
向量的旋转:实际应用中,经常需要从一个向量转到另一个向量,这个过程称为向量的旋转,旋转的方向由叉积判定。很多例子都用到向量的旋转这个方法和相应特性。
作者:newcode 更多资源请关注纽扣编程微信公众号

从事机器人比赛、机器人等级考试、少儿scratch编程、信息学奥赛等研究学习

浙公网安备 33010602011771号