【线性代数】PCA主成分析与相关概念
降维问题:
首先需要理解的:降维的本质操作时是什么?
之前自己理解的只是通过找到一系列新的坐标轴来表示原始数据,但是从来没有细细深究背后的数学原理;
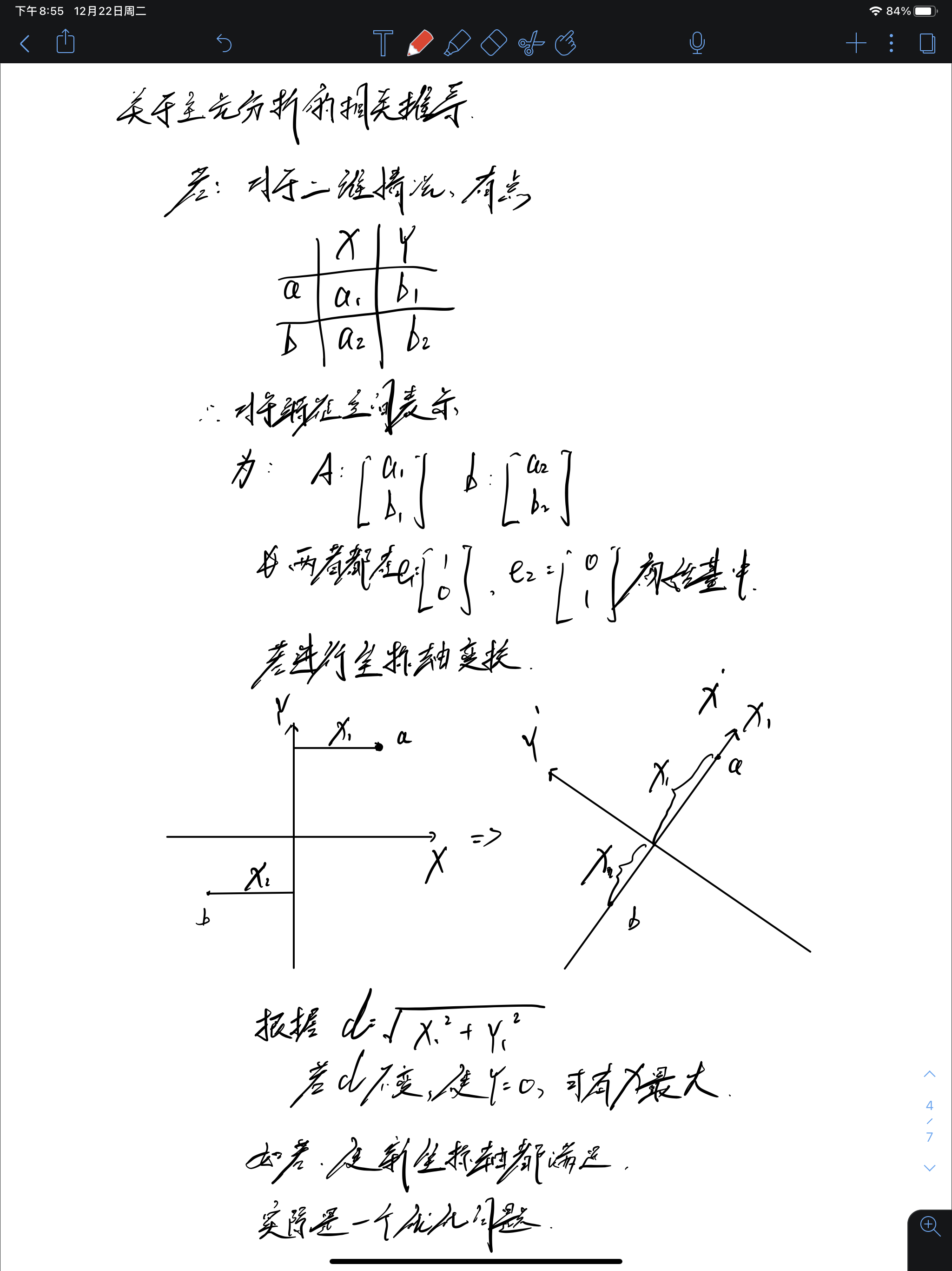
例如对于特征空间为二维的坐标点来说,其拥有两个特征,所以在特征空间中采用(x,y)两个参变量进行表示;
但是对于我们数据分析来说,如果变化的趋势或者方向明显,往往不需要高维来表示方向;

如果我们对上述坐标轴进行新的构建;

如上图所示,可以很轻松的看出来,如果采用一个新的主元方向进行一维坐标轴的表示,可以很轻松的减少一个维度的数据,并且也能进行很好的数据预测和分析,这对于计算和模型输入都是很有帮助的;
对于空间坐标变换,使用的方法就是采用线性变换,相当于对基向量进行旋转和拉伸,构成新的坐标表示;
因此,这也是为什么线性代数和降维如此息息相关,降维的本质也就是使用一定的方法来寻找出一个新的正交基向量,来表示原本的点,在这过程中也表现为高维特征空间缩减为低维数据空间的过程;
对于数学理解来说:
看到别人的博客,对于降维也有不一样的数学描述;
尽管我们对于基向量进行新的寻找和变换,但是唯一不变的是该点到坐标原点的欧氏距离;
所以我们只需要使得某个坐标轴值变为0,在欧氏距离d不变的情况下,增加或者减少其他坐标轴上的值,削减为0的值,即可完成降维操作;



从上述数学推导很轻松的看出来,寻找新基的过程其实就是做奇异值分解的过程;
PCA主成分析实际操作:


所以可以看到,所谓的主成分析的主成分,就是找奇异值大的对应的特征向量,作为基进行表示;
【注意问题】:
但是值得注意的是,实际操作中,舍弃的都是比较小的特征值,特征值也不一定全为0;
特征值越小,代表该方向所贡献的信息量越少,所以舍弃也就越无伤大雅;
所以可以说,PCA主成分析,就是借助协方差矩阵(也可以不借助,直接采用点积得到的矩阵进行分解),进行特征值分解,从而进行特征向量的舍弃,完成降维操作;

浙公网安备 33010602011771号