Pytorch基础-一维线性参数估计
主要是给了一个简单的实例去展示系统的一个完整的线性回归模拟是什么样的;
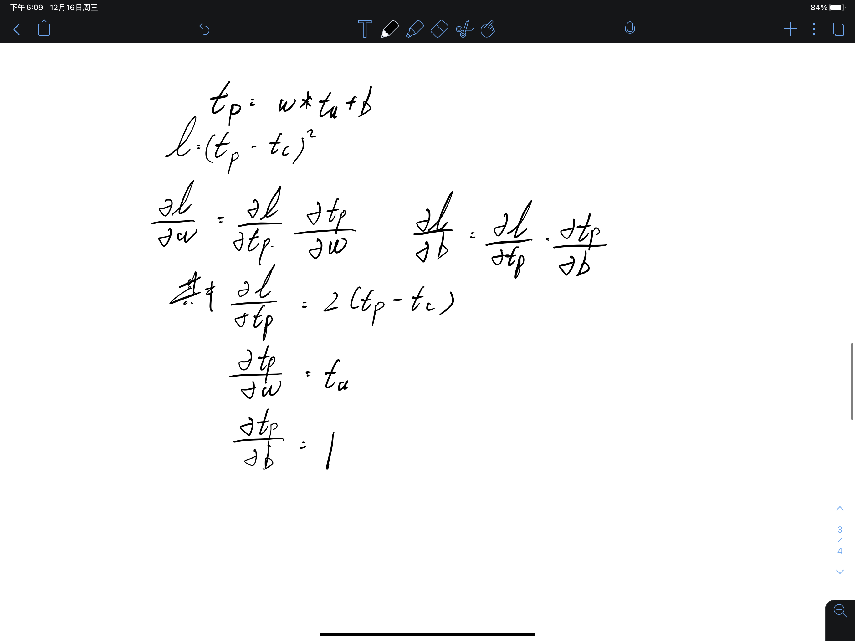
例如,对于一个简单的线性回归模型,我们采用如下公式进行模拟:

可以自己拟定数据集:
t_c = [0.5, 14.0, 15.0, 28.0, 11.0, 8.0, 3.0, -4.0, 6.0, 13.0, 21.0] t_u = [35.7, 55.9, 58.2, 81.9, 56.3, 48.9, 33.9, 21.8, 48.4, 60.4, 68.4] t_c = torch.tensor(t_c) t_u = torch.tensor(t_u)
对于损失函数,有:

所以,对于链式求导法则,我们有如下推导:

所以,整体函数有以下表述形式:

所以,上述就是每次在epoch循环体中调用的随时函数,要求使得更新后的w,d使得loss足够小;

直接更新就完事了;
注意几点:
1.关于学习速率的选择;
2.各个参数的归一化问题;
两者大量影响学习效果,后续可以给出数学推导给予证明;

浙公网安备 33010602011771号