Splay学习笔记
看了半天的 Splay 都没看懂
引入
Splay 树, 或 伸展树,是一种平衡二叉查找树,它通过 Splay/伸展操作 不断将某个节点旋转到根节点,使得整棵树仍然满足二叉查找树的性质,能够在均摊 \(O(\log N)\) 时间内完成插入,查找和删除操作,并且保持平衡而不至于退化为链。
---摘自 OI Wiki.
Splay 树,是一种二叉搜索树(BST),可以在保证BST的性质的情况下实现相较于 \(O(n)\) 暴力更为优化的 \(O(\log N)\) 操作。(如果您看懂了就可以跳过这一段惹)
那么现在问题来了,什么是 BST ?先上个图:
.png)
没错,这就是一颗 BST (原谅我丑陋的图)
由图我们可以看出,在一颗 BST 中,左子树 的值要 小于 父节点的值,右子树 的值要 大于 父节点的值。这也是 BST(binary search tree)名字的由来——在树中查找一个值所花费的时间期望为 \(O(\log N)\) 。
然而,我们发现在 OI Wiki 中有一句话
并且保持平衡而不至于退化为链
所以 BST 不一定是我们刚才看到的那个样子,它也可能是这样的:
.png)
在这种情况下,我们的操作便退化成了 \(O(N)\) ,这肯定是我们不想看到的。所以,如何让这棵树的 高度 变小,便成了我们的下一个问题。
Splay
兜兜转转终于到正文了
所以我们要怎么通过 Splay 来使这颗丑陋的树变 平衡 呢?答案就是 转 !(雪月花)
咳咳,其实就是我们 Splay 的 rotate 操作。通过让某个点在树上不停的绕它的父节点旋转,最终让我们的树变的平衡。
让我们看看这个旋转的过程是怎么转的:

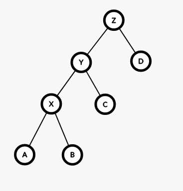
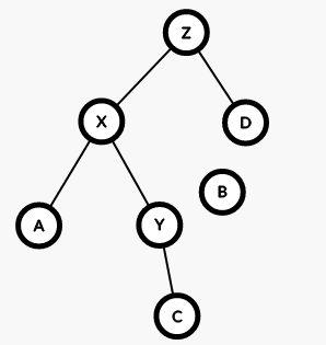
这是一颗 X 节点 待旋转的 BST。
首先我们让 X 节点转到 Y 节点,即切断 X 与 Y 的父子,并让 Y 节点的父节点变为 X 节点的父节点。

现在 Y 节点就被晾在一旁了,所以我们要拉它回来。于是我们切断 X 与 B 的父子关系,并让 X 与 Y 建立父子关系。

但是现在 B 又被抛弃了,于是我们最后让 Y 与 B 建立,父子关系,那么这个旋转操作便完成啦。

Code
void rotate(ll x){
ll y=t[x].fa,z=t[y].fa,k=t[y].son[1]==x;//y z k
t[z].son[t[z].son[1]==y]=x;//
t[x].fa=z;
t[y].son[k]=t[x].son[k^1];//
t[t[x].son[k^1]].fa=y;
t[x].son[k^1]=y;//
t[y].fa=x;
pushup(y),pushup(x);
}

浙公网安备 33010602011771号