会员
众包
新闻
博问
闪存
赞助商
HarmonyOS
Chat2DB
所有博客
当前博客
我的博客
我的园子
账号设置
会员中心
简洁模式
...
退出登录
注册
登录
Mr__wei
少年易老学难成,一寸光阴不可轻。未觉池塘春草梦,阶前梧叶已秋声。
博客园
首页
新随笔
联系
管理
订阅
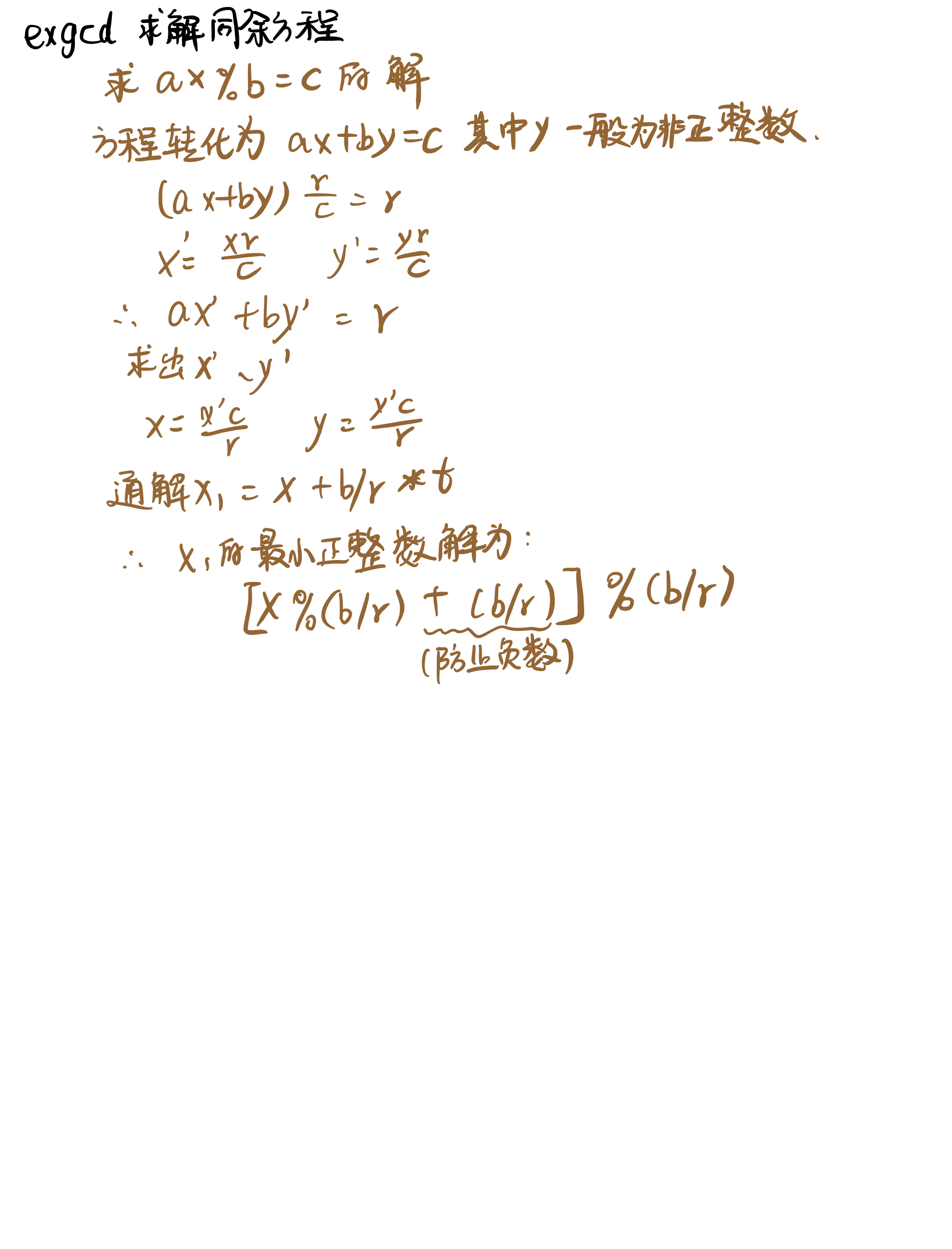
欧几里得算法(辗转相除法)+扩展欧几里得算法(exgcd)
posted @
2020-08-20 22:41
Mr__wei
阅读(
32
) 评论(
0
)
收藏
举报
刷新页面
返回顶部
公告