ACWing
基础课
其他
-
scanf会读空格与回车,cin会跳过空格回车,使用scanf时可以将要读入的元素初始化为字符串,可以过滤空格或者回车,比如
![]()
-
puts(s)等价于printf("%s\n", s);
-
cpp 1s中可以计算1e8次。
-
在dp中,如果涉及dp[i -1 ],那么下标从1开始比较好。
按顺序刷 -
快速排序
void quick_sort(int q[], int l, int r) { if (l >= r) return; int i = l - 1, j = r + 1, x = q[l + r >> 1];//这里之所以需要l - 1与 r + 1,在 while (i < j) //while循环中会先++i与--j { //do i ++ ; while (q[i] < x); //do j -- ; while (q[j] > x); while (q[ ++ i] < x); while (q[ -- j] > x); if (i < j) swap(q[i], q[j]); } quick_sort(q, l, j), quick_sort(q, j + 1, r); } //注意这里分界点数x并不会是在i与j相等的位置,也就说是以x所在的位置为pivot,而不是x本身 //比如1 6 2 3 4 5 7 8 9 //第一次划分结果为 1 4 2 3 6 5 7 8 9 //这时,i与j相交于第五个位置,对于在第五个位置左边的数皆小于等于原本第五个位置的数(也就是4),右边皆大于等于原本第五个位置的数 //这里与常规的教科书(比如算法4)上的快速排序不一样,教科书上的快速排序是会每次排好一个数,而这里的快速排序,是每次划分好两个区间,直到区间只有一个数时,那么排序完成。 //快速排序非常的dirty //把这个模板背下来,也可以自己写,碰到错误样例,对着修改即可 void quick_sort(int q[], int l, int r) { if (l >= r) return; int i = l - 1, j = r + 1, x = q[l]; while (i < j) { //do i ++ ; while (q[i] < x); //do j -- ; while (q[j] > x); while (q[ ++ i] < x); while (q[ -- j] > x); if (i < j) swap(q[i], q[j]); } quick_sort(q, l, j), quick_sort(q, j + 1, r); } //当取quick_sort(q, l, j)与quick_sort(q, j + 1, r)时,不能够取x = q[r],序列 1 2便是反例 //同理,当取quick_sort(q, l, i - 1)与quick_sort(q, i, r)时,不能够取x = q[l], -
归并排序
void merge_sort(int q[], int l, int r) { if (l >= r) return; int mid = l + r >> 1; merge_sort(q, l, mid); merge_sort(q, mid + 1, r); int k = 0, i = l, j = mid + 1; while (i <= mid && j <= r) if (q[i] <= q[j]) tmp[k ++ ] = q[i ++ ]; else tmp[k ++ ] = q[j ++ ]; while (i <= mid) tmp[k ++ ] = q[i ++ ]; while (j <= r) tmp[k ++ ] = q[j ++ ]; for (i = l, j = 0; i <= r; i ++, j ++ ) q[i] = tmp[j]; } -
整数二分
bool check(int x) {/* ... */} // 检查x是否满足某种性质 // 区间[l, r]被划分成[l, mid]和[mid + 1, r]时使用: int bsearch_1(int l, int r) { while (l < r) { int mid = l + r >> 1; if (check(mid)) r = mid; // check()判断mid是否满足性质 else l = mid + 1; } return l; } // 区间[l, r]被划分成[l, mid - 1]和[mid, r]时使用: int bsearch_2(int l, int r) { while (l < r) { int mid = l + r + 1 >> 1; if (check(mid)) l = mid; else r = mid - 1; } return l; } //这里mid = l + r + 1 >> 1,如果写成mid = l + r >> 1时,当l = r - 1时,mid = l,如果check(mid)返回true,这时候会死循环,[1, 2]就是例子 -
浮点二分
bool check(double x) {/* ... */} // 检查x是否满足某种性质 double bsearch_3(double l, double r) { const double eps = 1e-6; // eps 表示精度,取决于题目对精度的要求 while (r - l > eps) { double mid = (l + r) / 2; if (check(mid)) r = mid; else l = mid; } return l; } //对于精度要求n位小数,那么eps写成e-(n + 2)。譬如n = 6,那么eps = 1e-8 -
高精度
A + B, A - B, A * b, A / b, 一般大整数如A的位数小于10^6,而小整数如b数值一般小于10^9
A * B,或者 A / B基本不考
加法
// C = A + B, A >= 0, B >= 0 vector<int> add(vector<int> &A, vector<int> &B) { if (A.size() < B.size()) return add(B, A); vector<int> C; int t = 0; for (int i = 0; i < A.size(); i ++ ) { t += A[i]; if (i < B.size()) t += B[i]; C.push_back(t % 10); t /= 10; } if (t) C.push_back(t); return C; }减法
// C = A - B, 满足A >= B, A >= 0, B >= 0 vector<int> sub(vector<int> &A, vector<int> &B) { vector<int> C; for (int i = 0, t = 0; i < A.size(); i ++ ) { t = A[i] - t; if (i < B.size()) t -= B[i]; C.push_back((t + 10) % 10); if (t < 0) t = 1; else t = 0; } while (C.size() > 1 && C.back() == 0) C.pop_back(); return C; } //C.push_back((t + 10) % 10);这里是两种情况的合体,当t>0时,t是负数,向高位借1,当t<0时,加10取余10不变。乘法
// C = A * b, A >= 0, b >= 0 vector<int> mul(vector<int> &A, int b) { vector<int> C; int t = 0; for (int i = 0; i < A.size() || t; i ++ ) { if (i < A.size()) t += A[i] * b; C.push_back(t % 10); t /= 10; } while (C.size() > 1 && C.back() == 0) C.pop_back(); return C; }除法
// A / b = C ... r, A >= 0, b > 0 vector<int> div(vector<int> &A, int b, int &r) { vector<int> C; r = 0; for (int i = A.size() - 1; i >= 0; i -- ) { r = r * 10 + A[i]; C.push_back(r / b); r %= b; } reverse(C.begin(), C.end()); while (C.size() > 1 && C.back() == 0) C.pop_back(); return C; }ios::sync_with_stdio(false)关闭cin与标准输入输出的同步,但是就不能使用scanf了
-
一维前缀和
S[i] = a[1] + a[2] + ... a[i] a[l] + ... + a[r] = S[r] - S[l - 1] -
二维前缀和
S[i, j] = 第i行j列格子左上部分所有元素的和 以(x1, y1)为左上角,(x2, y2)为右下角的子矩阵的和为: S[x2, y2] - S[x1 - 1, y2] - S[x2, y1 - 1] + S[x1 - 1, y1 - 1] -
一维差分
给区间[l, r]中的每个数加上c:B[l] += c, B[r + 1] -= c -
二维差分(二维差分需要想象成前缀和的逆运算,如果细究差分数组的元素是什么,会歇斯底里的)
给以(x1, y1)为左上角,(x2, y2)为右下角的子矩阵中的所有元素加上c: S[x1, y1] += c, S[x2 + 1, y1] -= c, S[x1, y2 + 1] -= c, S[x2 + 1, y2 + 1] += c -
双指针
![]()
for (int i = 0, j = 0; i < n; i ++ ) { while (j < i && check(i, j)) j ++ ; // 具体问题的逻辑 } 常见问题分类: (1) 对于一个序列,用两个指针维护一段区间 (2) 对于两个序列,维护某种次序,比如归并排序中合并两个有序序列的操作 -
位运算
求n的第k位数字: n >> k & 1 返回n的最后一位1:lowbit(n) = n & -n lowbit依据负数的补码是其正数补码取反加一 -
离散化
vector<int> alls; // 存储所有待离散化的值 sort(alls.begin(), alls.end()); // 将所有值排序 alls.erase(unique(alls.begin(), alls.end()), alls.end()); // 去掉重复元素 // 二分求出x对应的离散化的值 int find(int x) // 找到第一个大于等于x的位置 { int l = 0, r = alls.size() - 1; while (l < r) { int mid = l + r >> 1; if (alls[mid] >= x) r = mid; else l = mid + 1; } return r + 1; // 映射到1, 2, ...n,此处的映射从1开始,是因为要计算前缀和 } -
区间合并
// 将所有存在交集的区间合并 void merge(vector<PII> &segs) { vector<PII> res; sort(segs.begin(), segs.end()); int st = -2e9, ed = -2e9; for (auto seg : segs) if (ed < seg.first) { if (st != -2e9) res.push_back({st, ed}); st = seg.first, ed = seg.second; } else ed = max(ed, seg.second); if (st != -2e9) res.push_back({st, ed}); segs = res; } -
链表与邻接表(y总的静态链表需要使用idx记录插入顺序,表示第n次插入的节点,是与题目相关的,acwing上的链表题与“第n次插入的节点相关”,还有一种使用struct的静态链表表示方法)
笔试一般不用动态链表,太慢了
![]()
// head存储链表头,e[]存储节点的值,ne[]存储节点的next指针,idx表示当前用到了哪个节点 int head, e[N], ne[N], idx; // 初始化 void init() { head = -1; idx = 0; } // 在链表头插入一个数a void insert(int a) { e[idx] = a, ne[idx] = head, head = idx ++ ; } // 将头结点删除,需要保证头结点存在 void remove() { head = ne[head]; } -
双链表
// e[]表示节点的值,l[]表示节点的左指针,r[]表示节点的右指针,idx表示当前用到了哪个节点 int e[N], l[N], r[N], idx; // 初始化 void init() { //0是左端点,1是右端点 r[0] = 1, l[1] = 0; idx = 2; } // 在节点a的右边插入一个数x void insert(int a, int x) { e[idx] = x; l[idx] = a, r[idx] = r[a]; l[r[a]] = idx, r[a] = idx ++ ;//注意一定要先改变l[r[a]],再改变r[a] } // 删除节点a void remove(int a) { l[r[a]] = l[a]; r[l[a]] = r[a]; } -
栈
// tt表示栈顶 int stk[N], tt = 0; // 向栈顶插入一个数 stk[ ++ tt] = x; // 从栈顶弹出一个数 tt -- ; // 栈顶的值 stk[tt]; // 判断栈是否为空 if (tt > 0) { } //这里浪费了一个位置,但是判空的时候比较优雅 -
队列
- 普通队列
// hh 表示队头,tt表示队尾 int q[N], hh = 0, tt = -1; // 向队尾插入一个数 q[ ++ tt] = x; // 从队头弹出一个数 hh ++ ; // 队头的值 q[hh]; // 判断队列是否为空 if (hh <= tt) { }-
循环队列(需要使用1个元素位,来判断队空)
// hh 表示队头,tt表示队尾的后一个位置 int q[N], hh = 0, tt = 0; // 向队尾插入一个数 q[tt ++ ] = x; if (tt == N) tt = 0; // 从队头弹出一个数 hh ++ ; if (hh == N) hh = 0; // 队头的值 q[hh]; // 判断队列是否为空 if (hh != tt) { }
-
单调栈
常见模型:找出每个数左边离它最近的比它大/小的数 int tt = 0; for (int i = 1; i <= n; i ++ ) { while (tt && check(stk[tt], i)) tt -- ; stk[ ++ tt] = i; } -
单调队列
常见模型:找出滑动窗口中的最大值/最小值 int hh = 0, tt = -1; for (int i = 0; i < n; i ++ ) { while (hh <= tt && check_out(q[hh])) hh ++ ; // 判断队头是否滑出窗口 while (hh <= tt && check(q[tt], i)) tt -- ; q[ ++ tt] = i; } -
kmp算法
kmp算法的本质是通过利用字符串的前后缀来达到减少模式串匹配主字符串的次数的目的,如下图,aba的最长的相同元素的前后缀为a,而abab的最长的相同元素的前后缀为ab,这里还需要注意一点abab并不是abab的前缀,所以就不会出现aaaa是aaaa的前缀以导致难以理解的想法😅。
此处next数组,比如第二个b不匹配时,需要移至第一个b与主串匹配(当然这里可以优化next数组,因为p[next[3]] = p[3]),这里便是利用了模式串的前后缀 。
![]()
#include<iostream>
using namespace std;
const int N = 1e5 + 10, M = 1e6 + 10;
int n, m, ne[N];
char p[N], s[M];
int main(){
cin>>n>>p + 1>>m>>s + 1;
for(int i = 2, j = 0; i <= n;++i){
while(j && p[i] != p[j + 1]) j = ne[j];
if(p[i] == p[j + 1]) ++j;
if(j || p[i + 1] != p[j + 1]){//此处优化next数组,也就是如果移位后,元素相同,应该继续移位
ne[i] = j;
}else{
ne[i] = ne[j];
}
}
for(int i = 1, j = 0; i <= m; ++i){
while(j && s[i] != p[j + 1]) j = ne[j];//每次回退到j+1之前元素的前后缀最大交集
if(s[i] == p[j + 1]) ++j;
// printf("%d ", j);
if(j == n){
printf("%d ", i - n);//下标从零开始
j = ne[j];
}
}
}
下标从0开始的写法(不推荐)
#include <cstring>
#include <iostream>
#include <algorithm>
using namespace std;
const int N = 1000010;
int n, m;
char s[N], p[N];
int ne[N];
int main()
{
cin >> m >> p >> n >> s;
ne[0] = -1;
for (int i = 1, j = -1; i < m; i ++ )
{
while (j >= 0 && p[j + 1] != p[i]) j = ne[j];
if (p[j + 1] == p[i]) j ++ ;
ne[i] = j;
}
for (int i = 0, j = -1; i < n; i ++ )
{
while (j != -1 && s[i] != p[j + 1]) j = ne[j];
if (s[i] == p[j + 1]) j ++ ;
if (j == m - 1)
{
cout << i - j << ' ';
j = ne[j];
}
}
return 0;
}
-
trie树
int son[N][26], cnt[N], idx; // 0号点既是根节点,又是空节点 // son[][]存储树中每个节点的子节点 // cnt[]存储以每个节点结尾的单词数量 // 插入一个字符串 void insert(char *str) { int p = 0; for (int i = 0; str[i]; i ++ ) { int u = str[i] - 'a'; if (!son[p][u]) son[p][u] = ++ idx; p = son[p][u]; } cnt[p] ++ ; } // 查询字符串出现的次数 int query(char *str) { int p = 0; for (int i = 0; str[i]; i ++ ) { int u = str[i] - 'a'; if (!son[p][u]) return 0; p = son[p][u]; } return cnt[p]; } -
并查集
![]()
(1)朴素并查集: int p[N]; //存储每个点的祖宗节点 // 返回x的祖宗节点 int find(int x) { if (p[x] != x) p[x] = find(p[x]); return p[x]; } // 初始化,假定节点编号是1~n for (int i = 1; i <= n; i ++ ) p[i] = i; // 合并a和b所在的两个集合: p[find(a)] = find(b); (2)维护size的并查集: int p[N], size[N]; //p[]存储每个点的祖宗节点, size[]只有祖宗节点的有意义,表示祖宗节点所在集合中的点的数量 // 返回x的祖宗节点 int find(int x) { if (p[x] != x) p[x] = find(p[x]); return p[x]; } // 初始化,假定节点编号是1~n for (int i = 1; i <= n; i ++ ) { p[i] = i; size[i] = 1; } // 合并a和b所在的两个集合: size[find(b)] += size[find(a)]; p[find(a)] = find(b); (3)维护到祖宗节点距离的并查集: int p[N], d[N]; //p[]存储每个点的祖宗节点, d[x]存储x到p[x]的距离 // 返回x的祖宗节点 int find(int x) { if (p[x] != x) { int u = find(p[x]); d[x] += d[p[x]]; p[x] = u; } return p[x]; } // 初始化,假定节点编号是1~n for (int i = 1; i <= n; i ++ ) { p[i] = i; d[i] = 0; } // 合并a和b所在的两个集合: p[find(a)] = find(b); d[find(a)] = distance; // 根据具体问题,初始化find(a)的偏移量 -
堆
![]()
// h[N]存储堆中的值, h[1]是堆顶,x的左儿子是2x, 右儿子是2x + 1 // ph[k]存储第k个插入的点在堆中的位置 // hp[k]存储堆中下标是k的点是第几个插入的 int h[N], ph[N], hp[N], size; // 交换两个点,及其映射关系 void heap_swap(int a, int b) { swap(ph[hp[a]],ph[hp[b]]); swap(hp[a], hp[b]); swap(h[a], h[b]); } void down(int u) { int t = u; if (u * 2 <= size && h[u * 2] < h[t]) t = u * 2; if (u * 2 + 1 <= size && h[u * 2 + 1] < h[t]) t = u * 2 + 1; if (u != t) { heap_swap(u, t); down(t); } } void up(int u) { while (u / 2 && h[u] < h[u / 2]) { heap_swap(u, u / 2); u >>= 1; } } // O(n)建堆 for (int i = n / 2; i; i -- ) down(i);O(n)的推导
![]()
-
一般hash
(1) 拉链法 int h[N], e[N], ne[N], idx; // 向哈希表中插入一个数 void insert(int x) { int k = (x % N + N) % N; e[idx] = x; ne[idx] = h[k]; h[k] = idx ++ ; } // 在哈希表中查询某个数是否存在 bool find(int x) { int k = (x % N + N) % N; for (int i = h[k]; i != -1; i = ne[i]) if (e[i] == x) return true; return false; } (2) 开放寻址法 int h[N]; // 如果x在哈希表中,返回x的下标;如果x不在哈希表中,返回x应该插入的位置 int find(int x) { int t = (x % N + N) % N; while (h[t] != null && h[t] != x) { t ++ ; if (t == N) t = 0; } return t; }#include <cstring> #include <iostream> using namespace std; const int N = 200003, null = 0x3f3f3f3f; int h[N]; int find(int x) { int t = (x % N + N) % N; while (h[t] != null && h[t] != x) { t ++ ; if (t == N) t = 0; } return t; } int main() { memset(h, 0x3f, sizeof h); int n; scanf("%d", &n); while (n -- ) { char op[2]; int x; scanf("%s%d", op, &x); if (*op == 'I') h[find(x)] = x; else { if (h[find(x)] == null) puts("No"); else puts("Yes"); } } return 0; } /*这里之所以要把数组大小开成200003,第一它是质数,第二如果在数组第100000个位置一直发生冲突,也就是所有数都为10^5,那么也不会超出数组边界*/ /*在算法竞赛中,我们常常需要用到设置一个常量用来代表“无穷大”。 比如对于int类型的数,有的人会采用INT_MAX,即0x7fffffff作为无穷大。但是以INT_MAX为无穷大常常面临一个问题,即加一个其他的数会溢出。 而这种情况在动态规划,或者其他一些递推的算法中常常出现,很有可能导致算法出问题。 所以在算法竞赛中,我们常采用0x3f3f3f3f来作为无穷大。0x3f3f3f3f主要有如下好处: 0x3f3f3f3f的十进制为1061109567,和INT_MAX一个数量级,即10^9数量级,而一般场合下的数据都是小于10^9的。 0x3f3f3f3f * 2 = 2122219134,无穷大相加依然不会溢出。 可以使用memset(array, 0x3f, sizeof(array))来为数组设初值为0x3f3f3f3f,因为这个数的每个字节都是0x3f。*/ -
字符串hash
注意字符不可以映射成0,否则,比如A是0,AA也是0
计算子串hash类似于前缀和,只用两次操作(一次乘法,一次减法)
核心思想:将字符串看成P进制数,P的经验值是131或13331,取这两个值的冲突概率低 小技巧:取模的数用2^64,这样直接用unsigned long long存储,溢出的结果就是取模的结果 typedef unsigned long long ULL; ULL h[N], p[N]; // h[k]存储字符串前k个字母的哈希值, p[k]存储 P^k mod 2^64 // 初始化 p[0] = 1; for (int i = 1; i <= n; i ++ ) { h[i] = h[i - 1] * P + str[i]; p[i] = p[i - 1] * P; } // 计算子串 str[l ~ r] 的哈希值 ULL get(int l, int r) { return h[r] - h[l - 1] * p[r - l + 1]; } -
cpp中的bool是一个字节
vector, 变长数组,倍增的思想 size() 返回元素个数 empty() 返回是否为空 clear() 清空 front()/back() push_back()/pop_back() begin()/end() [] 支持比较运算,按字典序 pair<int, int> first, 第一个元素 second, 第二个元素 支持比较运算,以first为第一关键字,以second为第二关键字(字典序) string,字符串 size()/length() 返回字符串长度 empty() clear() substr(起始下标,(子串长度)) 返回子串 c_str() 返回字符串所在字符数组的起始地址 queue, 队列 size() empty() push() 向队尾插入一个元素 front() 返回队头元素 back() 返回队尾元素 pop() 弹出队头元素 priority_queue, 优先队列,默认是大根堆 size() empty() push() 插入一个元素 top() 返回堆顶元素 pop() 弹出堆顶元素 定义成小根堆的方式:priority_queue<int, vector<int>, greater<int>> q; stack, 栈 size() empty() push() 向栈顶插入一个元素 top() 返回栈顶元素 pop() 弹出栈顶元素 deque, 双端队列 size() empty() clear() front()/back() push_back()/pop_back() push_front()/pop_front() begin()/end() [] set, map, multiset, multimap, 基于平衡二叉树(红黑树),动态维护有序序列 size() empty() clear() begin()/end() ++, -- 返回前驱和后继,时间复杂度 O(logn) set/multiset insert() 插入一个数 find() 查找一个数 count() 返回某一个数的个数 erase() (1) 输入是一个数x,删除所有x O(k + logn) (2) 输入一个迭代器,删除这个迭代器 lower_bound()/upper_bound() lower_bound(x) 返回大于等于x的最小的数的迭代器 upper_bound(x) 返回大于x的最小的数的迭代器 map/multimap insert() 插入的数是一个pair erase() 输入的参数是pair或者迭代器 find() [] 注意multimap不支持此操作。 时间复杂度是 O(logn) lower_bound()/upper_bound() unordered_set, unordered_map, unordered_multiset, unordered_multimap, 哈希表 和上面类似,增删改查的时间复杂度是 O(1) 不支持 lower_bound()/upper_bound(), 迭代器的++,-- bitset, 圧位 bitset<10000> s; ~, &, |, ^ 使用这些运算符的bitset位数必须相同 >>, << ==, != [] count() 返回有多少个1 any() 判断是否至少有一个1 none() 判断是否全为0 set() 把所有位置成1 set(k, v) 将第k位变成v reset() 把所有位变成0 flip() 等价于~ flip(k) 把第k位取反 -
dfs/bfs
![]()
-
全排列
#include <iostream> using namespace std; const int N = 10; int n; int path[N]; void dfs(int u, int state) { if (u == n) { for (int i = 0; i < n; i ++ ) printf("%d ", path[i]); puts(""); return; } for (int i = 0; i < n; i ++ ) if (!(state >> i & 1)) { path[u] = i + 1; dfs(u + 1, state + (1 << i));//这里用了位运算,没用bool数组 } } int main() { scanf("%d", &n); dfs(0, 0); return 0; } -
n皇后
//对角线是由点的坐标决定,比如x + y相等的在一个对角线上。反对角线,x - y相等或者y - x相等 #include<iostream> using namespace std; const int N = 10; int n; char q[N][N]; int r[N], c[N], dg[N], bdg[N]; void dfs(int x, int y, int s){ if(y == n) y = 0, x++; if(s == n){ for(int i = 0; i < n; ++i) puts(q[i]); puts(""); return; } if(x == n) return; q[x][y] = '.'; dfs(x, y + 1, s); if(!r[x] && !c[y] && !dg[x + y] && !bdg[x - y + n]){ r[x] = c[y] = dg[x + y] = bdg[x - y + n] = true; q[x][y] = 'Q'; dfs(x, y + 1, s + 1); r[x] = c[y] = dg[x + y] = bdg[x - y + n] = false; q[x][y] = '.'; } // if(u == n){ // for(int i = 0; i < n; ++i) puts(q[i]); // puts(""); // return; // } // for(int i = 0; i < n; ++i){ // if(!c[i] && !dg[i + u] && !bdg[i - u + n]){ // c[i] = dg[i + u] = bdg[i - u + n] = true; // q[u][i] = 'Q'; // dfs(u + 1); // c[i] = dg[i + u] = bdg[i - u + n] = false; // q[u][i] = '.'; // } // } } int main(){ // int n; cin>>n; // for(int i = 0; i < n; ++i){ // for(int j = 0; j < n; ++j){ // q[i][j] = '.'; // } // } dfs(0, 0, 0); }
-
-
树与图
树是一种特殊的图,与图的存储方式相同。
对于无向图中的边ab,存储两条有向边a->b, b->a。
因此我们可以只考虑有向图的存储。(1) 邻接矩阵:g[a][b] 存储边a->b
(2) 邻接表:
// 对于每个点k,开一个单链表,存储k所有可以走到的点。h[k]存储这个单链表的头结点
int h[N], e[N], ne[N], idx;
// 添加一条边a->b
void add(int a, int b)
{
e[idx] = b, ne[idx] = h[a], h[a] = idx ++ ;
}
// 初始化
idx = 0;
memset(h, -1, sizeof h);
- 树与图的遍历
时间复杂度 O(n+m), n 表示点数,m 表示边数
(1) 深度优先遍历
int dfs(int u)
{
st[u] = true; // st[u] 表示点u已经被遍历过
for (int i = h[u]; i != -1; i = ne[i])
{
int j = e[i];
if (!st[j]) dfs(j);
}
}
(2) 宽度优先遍历
queue<int> q;
st[1] = true; // 表示1号点已经被遍历过
q.push(1);
while (q.size())
{
int t = q.front();
q.pop();
for (int i = h[t]; i != -1; i = ne[i])
{
int j = e[i];
if (!st[j])
{
st[j] = true; // 表示点j已经被遍历过
q.push(j);
}
}
}
- 拓扑排序
时间复杂度 O(n+m), n 表示点数,m 表示边数
bool topsort()
{
int hh = 0, tt = -1;
// d[i] 存储点i的入度
for (int i = 1; i <= n; i ++ )
if (!d[i])
q[ ++ tt] = i;
while (hh <= tt)
{
int t = q[hh ++ ];
for (int i = h[t]; i != -1; i = ne[i])
{
int j = e[i];
if (-- d[j] == 0)
q[ ++ tt] = j;
}
}
// 如果所有点都入队了,说明存在拓扑序列;否则不存在拓扑序列。
return tt == n - 1;
}
-
最短路问题
m表示边数,n表述点数
spfa如果求路径小于k的最短路就不行
多源汇是指多个起点,多个终点
![]()
堆优化dijkstra,适合稀疏图O(mlogn),每次用t更新其他点需要m次,也就是边的数量,而堆需要每次调整花费logn,即使是在稠密途中优先队列priority_queue中存在冗余,那么元素个数是变得数量,log m = log(n^2) = 2 log n,手写堆可以调整,可以保证元素只有n个
![]()
![]()

朴素dijkstra算法
间复杂度为O(n^2 + m),n表示点数,m表示边数
int g[N][N]; // 存储每条边
int dist[N]; // 存储1号点到每个点的最短距离
bool st[N]; // 存储每个点的最短路是否已经确定
// 求1号点到n号点的最短路,如果不存在则返回-1
int dijkstra()
{
memset(dist, 0x3f, sizeof dist);
dist[1] = 0;
for (int i = 0; i < n - 1; i ++ )//这里是n - 1次,因为最后一个节点已经无法对其他节点做更新距离的操作了
{
int t = -1; // 在还未确定最短路的点中,寻找距离最小的点
for (int j = 1; j <= n; j ++ )
if (!st[j] && (t == -1 || dist[t] > dist[j]))
t = j;
// 用t更新其他点的距离
for (int j = 1; j <= n; j ++ )
dist[j] = min(dist[j], dist[t] + g[t][j]);
st[t] = true;
}
if (dist[n] == 0x3f3f3f3f) return -1;
return dist[n];
}
堆优化版dijkstra
时间复杂度 O(mlogn), n 表示点数,m 表示边数
typedef pair<int, int> PII;
int n; // 点的数量
int h[N], w[N], e[N], ne[N], idx; // 邻接表存储所有边
int dist[N]; // 存储所有点到1号点的距离
bool st[N]; // 存储每个点的最短距离是否已确定
// 求1号点到n号点的最短距离,如果不存在,则返回-1
int dijkstra()
{
memset(dist, 0x3f, sizeof dist);
dist[1] = 0;
priority_queue<PII, vector<PII>, greater<PII>> heap;
heap.push({0, 1}); // first存储距离,second存储节点编号
while (heap.size())
{
auto t = heap.top();
heap.pop();
int ver = t.second, distance = t.first;
if (st[ver]) continue;
st[ver] = true;
for (int i = h[ver]; i != -1; i = ne[i])
{
int j = e[i];
if (dist[j] > distance + w[i])
{
dist[j] = distance + w[i];
heap.push({dist[j], j});
}
}
}
if (dist[n] == 0x3f3f3f3f) return -1;
return dist[n];
}
- Bellman-Ford算法—— 模板题 AcWing 853. 有边数限制的最短路
向量路径算法使用bellman-ford算法(单源最短路算法的主要思想是:每次递归计算每条边,松弛操作,因为源点到每个节点的最短路径最多为|V| - 1条边,V为节点数量,所以每次递归一定可以得出源点到每个点的最短路径,并且可以判断图是否有负环
![]()
![]()
![]()
![]()
时间复杂度 O(nm), n 表示点数,m 表示边数
注意在模板题中需要对下面的模板稍作修改,加上备份数组,详情见模板题。
int n, m; // n表示点数,m表示边数
int dist[N]; // dist[x]存储1到x的最短路距离
struct Edge // 边,a表示出点,b表示入点,w表示边的权重
{
int a, b, w;
}edges[M];
// 求1到n的最短路距离,如果无法从1走到n,则返回-1。
int bellman_ford()
{
memset(dist, 0x3f, sizeof dist);
dist[1] = 0;
// 如果第n次迭代仍然会松弛三角不等式,就说明存在一条长度是n+1的最短路径,由抽屉原理,路径中至少存在两个相同的点,说明图中存在负权回路。
for (int i = 0; i < n; i ++ )
{
for (int j = 0; j < m; j ++ )
{
int a = edges[j].a, b = edges[j].b, w = edges[j].w;
if (dist[b] > dist[a] + w)
dist[b] = dist[a] + w;
}
}
if (dist[n] > 0x3f3f3f3f / 2) return -1;
return dist[n];
}
- spfa 算法(队列优化的Bellman-Ford算法)
时间复杂度 平均情况下 O(m),最坏情况下 O(nm), n 表示点数,m 表示边数
算法主要是改进了这段代码,if (dist[b] > dist[a] + w) dist[b] = dist[a] + w;,只有当dist[a]变小了,才会去更新a点的后继。
int n; // 总点数
int h[N], w[N], e[N], ne[N], idx; // 邻接表存储所有边
int dist[N]; // 存储每个点到1号点的最短距离
bool st[N]; // 存储每个点是否在队列中
// 求1号点到n号点的最短路距离,如果从1号点无法走到n号点则返回-1
int spfa()
{
memset(dist, 0x3f, sizeof dist);
dist[1] = 0;
queue<int> q;
q.push(1);
st[1] = true;
while (q.size())
{
auto t = q.front();
q.pop();
st[t] = false;
for (int i = h[t]; i != -1; i = ne[i])
{
int j = e[i];
if (dist[j] > dist[t] + w[i])
{
dist[j] = dist[t] + w[i];
if (!st[j]) // 如果队列中已存在j,则不需要将j重复插入
{
q.push(j);
st[j] = true;
}
}
}
}
if (dist[n] == 0x3f3f3f3f) return -1;
return dist[n];
}
- spfa 算法(队列优化的Bellman-Ford算法
时间复杂度 平均情况下 O(m),最坏情况下 O(nm), nn 表示点数,m 表示边数
int n; // 总点数
int h[N], w[N], e[N], ne[N], idx; // 邻接表存储所有边
int dist[N]; // 存储每个点到1号点的最短距离
bool st[N]; // 存储每个点是否在队列中
// 求1号点到n号点的最短路距离,如果从1号点无法走到n号点则返回-1
int spfa()
{
memset(dist, 0x3f, sizeof dist);
dist[1] = 0;
queue<int> q;
q.push(1);
st[1] = true;
while (q.size())
{
auto t = q.front();
q.pop();
st[t] = false;
for (int i = h[t]; i != -1; i = ne[i])
{
int j = e[i];
if (dist[j] > dist[t] + w[i])
{
dist[j] = dist[t] + w[i];
if (!st[j]) // 如果队列中已存在j,则不需要将j重复插入
{
q.push(j);
st[j] = true;
}
}
}
}
if (dist[n] == 0x3f3f3f3f) return -1;
return dist[n];
}
- floyd算法
时间复杂度是 O(n^3), n 表示点数
初始化:
for (int i = 1; i <= n; i ++ )
for (int j = 1; j <= n; j ++ )
if (i == j) d[i][j] = 0;
else d[i][j] = INF;
// 算法结束后,d[a][b]表示a到b的最短距离
void floyd()
{
for (int k = 1; k <= n; k ++ )
for (int i = 1; i <= n; i ++ )
for (int j = 1; j <= n; j ++ )
d[i][j] = min(d[i][j], d[i][k] + d[k][j]);
}
- 背包问题
![]()
分组背包是分为n组,每一组只能选一个
![]()
f(i,j)是一个状态集合,求解某些属性,比如max,min,数量等。
完全背包
![]()
![]()
![]()
多重背包
![]()
多重背包由于限制了数量,那么f[i, j - v] 与 f[i, j]的候选值的个数不对应了。也就是Max操作无法做减法
优化多重背包时间复杂度为n·v·logs
讲每种物品以二进制的方式打包成logs包,那么多重背包退化成01背包问题
#include<iostream>
using namespace std;
const int N = 12010, M = 2010;//N = 1000 * log2 2000
int m, n, v[N], f[M], w[N];
int main(){
cin>>n>>m;
int cnt = 0;
while(n --){
int a, b, c;
cin>>a>>b>>c;
int k = 1;
while(k <= c){
cnt++;
v[cnt] = k * a;
w[cnt] = k * b;
c -= k;
k *= 2;
}
if(c > 0){
cnt++;
v[cnt] = c * a;
w[cnt] = c * b;
}
}
n = cnt;
for(int i = 1; i <= n; ++i){
for(int j = m; j >= v[i]; --j){
f[j] = max(f[j], f[j - v[i]] + w[i]);
}
}
cout<<f[m];
}
分组背包

- 线性dp
dp复杂度计算:状态数量 * 状态转移数量
数字三角形
最长上升子序列
时间复杂度是n^2

最长公共子序列

- 区间dp
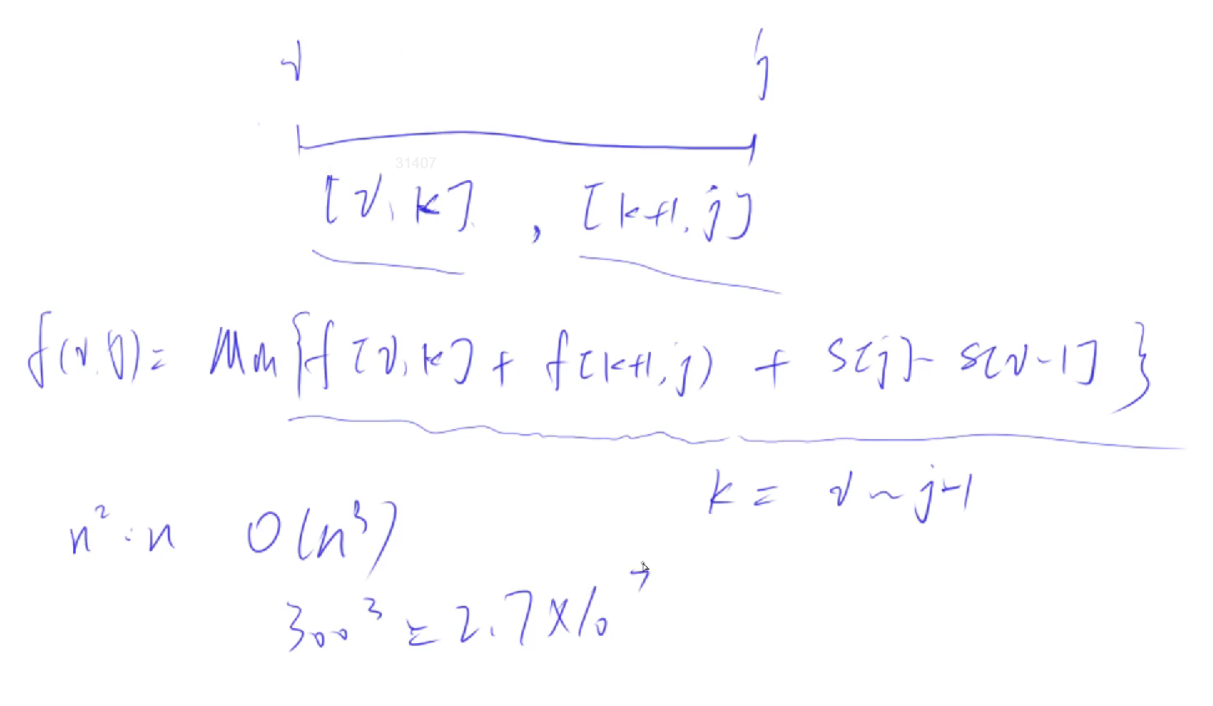
石子合并
时间复杂度为O(n^3)
![]()

-
计数类dp
整数划分 -
状态压缩dp
蒙德里安的梦想
![]()
-
记忆化搜索(就是递归的dp)
提高课
优先dp,搜索,基础算法

























浙公网安备 33010602011771号