又一水稻T2T基因组发表,粳稻模式品种中花11,遗传研究的福音!
中花11号(ZH11)作为一种重要的粳稻(Oryza sativa ssp. japonica)模式品种,因其高效的遗传转化能力和广泛的适应性而被广泛应用于水稻研究。然而,此前发布的ZH11基因组组装仍存在25个缺口,未能达到完整水平。

本研究旨在利用最新的长读长测序技术——PacBio HiFi(提供高精度)和Oxford Nanopore(ONT,提供超长读长),结合Hi-C、Bionano光学图谱等辅助技术,实现对ZH11基因组的端粒到端粒(T2T)水平组装,以期获得一个完整、高质量且具有广泛实用价值的水稻参考基因组资源,服务于水稻功能基因组学、比较基因组学和育种研究。

文章内容:
1. 组装策略与初步评估
研究团队综合利用了多种测序数据:约60倍覆盖度的PacBio HiFi数据(23.02 Gb)、102倍覆盖度的ONT长读长数据(56.7 Gb)、60倍覆盖度的Illumina短读长数据(24.96 Gb)、以及Hi-C(42.59 Gb)、Iso-seq(1.89 Gb)、转录组(101 Gb)和Bionano光学图谱(246 Gb)数据(见文末附表S1)。初始组装使用ONT和Illumina数据(NextDenovo和NextPolish),产生了包含17个重叠群的草图(377.78 Mb)。移除叶绿体和线粒体来源的2个重叠群后,得到包含15个重叠群的基因组版本(ZH11 1.0,377.05 Mb),并通过Hi-C锚定到12条染色体上(见文末附表S2, S3)。初步评估(BUSCO 98.47%, CEGMA 93.15%, Bionano验证)显示该版本已具高完整性,但仍存留2个缺口(约264.6 kb未锚定序列)。

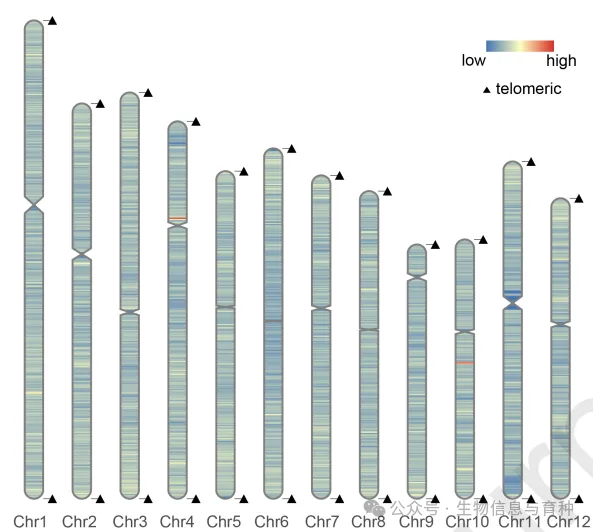
为追求真正的T2T水平,研究团队利用新生成的PacBio HiFi数据进一步优化组(约60x覆盖度),结合原有的ONT长读长,采用Hifiasm进行混合组装。随后使用Hi-C数据(Lachesis)将产生的重叠群锚定成染色体支架(13个重叠群对应12条染色体)。剩余的1个关键缺口最终通过ONT超长读长(Quartet算法)成功填补,并在所有染色体末端添加了端粒重复序列,从而实现了真正的T2T组装(T2T-ZH11),大小为379.33 Mb(图1A)。组装质量通过多种指标验证:Illumina和HiFi数据映射率均>99.9%,覆盖度>99.89%;BUSCO评估(Embryophyta库)完整性达99.01%(1560个单拷贝,38个重复);CEGMA评估显示458个核心真核基因99.56%完整(图1C, D)。利用FindTelomeres和TIDK工具成功预测到所有24个端粒(每条染色体两端)和12个着丝粒的位置(图1E)。值得注意的是,与另一个T2T水稻品种日本晴(Nipponbare, T2T-Nip)相比,T2T-ZH11第9号染色体的着丝粒位置存在显著偏移,这一差异通过CENH3抗体的ChIP-seq实验得到了独立验证。Bionano光学图谱数据也进一步证实了组装的准确性和连续性。与之前版本(ZH11 1.0)的比较揭示了T2T组装带来的实质性提升。

T2T组装填补缺口与序列新增将T2T-ZH11与ZH11 1.0进行共线性分析(MSCanX软件)显示,两个先前存在的缺口被成功填补。一个位于第5号染色体末端(~30 Mb位置),另一个位于第11号染色体中部(~12 Mb位置)(图1F)。这两个缺口的填补为基因组增加了约2.29 Mb的新序列。尤为重要的是,在第5号染色体缺口区域新鉴定出一个基因Osa05G046820,其表达通过RNA-seq数据得到证实,凸显了T2T组装在发现新基因元件方面的优势。


2. 高质量基因组指标与重复序列注释
T2T-ZH11组装表现出高精确度,共识质量值(QV)达到49.49。长末端重复反转录转座子(LTR-RT)组装指数(LAI)评估结果为21.61(图1G),表明其达到了基因组组装的“黄金标准”(LAI > 20),质量与T2T-Nip相当。对基因组重复序列的注释揭示了大量转座元件(TEs),共鉴定出410,952个TEs,总长174.07 Mb,占基因组大小的45.89%。此外,还注释了18.09 Mb(4.77%)的串联重复序列。

3. 基因注释与功能验证
综合运用Iso-seq全长转录本、RNA-seq数据和同源蛋白信息,对T2T-ZH11基因组进行基因结构预测,共注释出56,948个基因。为了评估T2T-ZH11作为参考基因组的实用性和相对于其他参考(如T2T-Nip)的优势,研究团队利用已发表的147.56 Gb水稻根部单细胞RNA测序(scRNA-seq)数据进行分析。结果显示,scRNA-seq数据比对到T2T-ZH11的映射率(94.70%)显著高于比对到T2T-Nip的映射率(81.3%)(图1H)。

此外,使用T2T-ZH11作为参考时,分析得到的每个细胞的唯一分子标识符(UMI)中位数(25,739 vs 25,935)和检测到的基因中位数(1,808 vs 1,818)与T2T-Nip相当,但检测到的总基因数更多(37,797 vs 36,891)(图1I, J)。基于T2T-ZH11的UMAP分析同样清晰地解析了水稻根部的14个细胞类群(图1K),效果与T2T-Nip参考相当(图1L)。

利用公共组学数据(如ATAC-seq, RNA-seq, DNA甲基化数据)进行的进一步比较也证实,使用T2T-ZH11作为参考时,数据的映射率、覆盖度和可检测到的峰(如开放染色质区域)数量均有提升。通过对比水稻基因组注释项目(Rice Genome Annotation Project)的数据,在T2T-ZH11中鉴定出13,389个与转座子相关的基因(>85%相似度)。值得注意的是,有9,365个基因在T2T-ZH11中的序列与MSU7.0(另一常用参考)中的相应基因相似度低于90%,其中一些基因(如Osa01G001700)包含在MSU7.0中缺失的特异插入序列)。
4. 群体遗传学应用验证
为了验证T2T-ZH11在遗传研究中的实用性,研究团队利用RiceVarMap2数据库中的533份水稻品种资源(包含超过4百万个SNP位点)进行了全基因组关联分析(GWAS),分别以抽穗期和粒重为目标性状。使用T2T-ZH11作为参考进行GWAS分析(图1M),成功检测到已知控制抽穗期的主效基因Hd1(位于第6号染色体)的显著关联信号,其结果与使用T2T-Nip参考获得的结果(图1N)一致。同时,在粒重分析中也成功检测到位于第8号染色体上的已知位点GW8的显著信号。此外,利用最大似然法(MCMCtree)估计了这533个品种及野生稻(Oryza rufipogon)的分化时间,结果符合预期,即野生稻的分化早于栽培稻。这些分析证明了T2T-ZH11在群体遗传研究中作为参考基因组的有效性和可靠性。

5. 数据资源整合与共享
研究人员整合了T2T-ZH11参考基因组及其相关注释信息(与T2T-Nip、MSU7.0等参考基因组并列),建立了一个在线资源平台(CROPTILLING网站:www.croptilling.com/ZH11)(图1O),为水稻研究界提供了一个便捷的访问入口。该网站集中展示了T2T-ZH11及其与其他重要参考基因组的比较信息。

总结:
本研究成功利用PacBio HiFi和Oxford Nanopore长读长测序技术,结合Hi-C、Bionano等辅助手段,首次完成了粳稻重要模式品种中花11号(ZH11)的端粒到端粒(T2T)水平的高质量基因组组装(T2T-ZH11),大小为379.33 Mb。该组装填补了之前版本中的25个缺口,新增约2.29 Mb序列(包括新基因),并通过了严格的BUSCO(99.01%)、CEGMA(99.56%)、高QV值(49.49)、LAI指数(21.61,达黄金标准)及多种组学数据(scRNA-seq, ChIP-seq, Bionano, GWAS等)的综合验证,证明了其高度的完整性、准确性和实用性。
文章亮点:
1. 首个ZH11的T2T组装: 填补了该关键模式品种基因组的所有缺口,首次提供其完整染色体序列。
2. 双技术协同组装: 创新性地结合PacBio HiFi(高精度)和ONT(超长读长)技术优势,有效攻克复杂重复区域,实现高质量组装(高QV、高LAI)。
3. 功能元件全面解析: 精确鉴定了所有24个端粒和12个着丝粒的位置,并新发现基因(如Osa05G046820)。
4. 优越的实用性验证: 通过scRNA-seq、GWAS等多组学分析,证明T2T-ZH11作为参考基因组在转录组分析、单细胞图谱构建、群体遗传研究中的性能优于或等同于其他顶级参考(如T2T-Nip),尤其对基于ZH11背景的研究具有不可替代的优势。
5. 重要资源开放共享: 所有组装和注释数据已公开,并整合到CROPTILLING在线平台,为全球水稻研究界提供了宝贵的基因组资源,将极大促进水稻功能基因组学、分子育种和进化研究。
原文链接:
https://www.cell.com/plant-communications/fulltext/S2590-3462(25)00225-1
来源:组学大讲堂
2025“基因定位与育种设计”暑期培训班将于8月11日正式开班,为期5天!培训内容包括群体遗传和数量遗传基础、两个纯合亲本衍生各种类型群体的连锁分析、遗传图谱构建和基因定位方法、无性系杂交F1和多亲杂交后代群体的遗传分析、杂种优势遗传机制解析、育种模拟预测与分子设计等内容。届时主讲老师将与您深入交流解答遗传分析中的常见问题,诚邀您的参加!

填写如下报名信息,提交并汇款,即为报名成功,报名截止8月10日17:00(到时将自动关闭报名通道,预报从速)。

本文来自博客园,作者:生物信息与育种,转载请注明原文链接:https://www.cnblogs.com/miyuanbiotech/p/19011787。若要及时了解动态信息,请关注同名微信公众号:生物信息与育种。

浙公网安备 33010602011771号