PBJ | 扬州大学徐辰武&徐扬开发玉米基因组杂交育种加速器SPDC-HG
文章标题
SPDC-HG: An accelerator of genomic hybrid breeding in maize
背景
玉米是全球最重要的粮食、饲料和生物能源作物之一,杂交育种是提高玉米产量潜力的最有效策略。自20世纪60年代以来,通过不同杂种优势群(heterotic groups, HGs)的亲本杂交开发单交种,极大地推动了玉米育种的发展。然而,随着双单倍体技术的发展,尽管每年可以产生大量自交系,但亲本的综合能力(general combining ability, GCA)评估仍然是玉米育种的瓶颈。基因组技术的发展为整合分子标记以增强GCA评估和预测提供了可能。
方法
-
- 研究设计
研究采用了一种新的遗传交配设计——稀疏部分双列杂交设计(sparse partial diallel cross design, SPDC-HG),基于不同杂种优势群之间的杂交,共涉及266个自交系,生成了945个杂交种。
- 研究设计
-
- 基因组关联研究(GWAS)
使用五种多基因位点方法(Blink、FarmCPU、FASTmrMLM、FASTmrEMMA和ISIS EM-BLASSO)对九个与产量相关的性状及其对应的GCA值进行GWAS分析,以识别显著的单核苷酸多态性(SNPs)。
- 基因组关联研究(GWAS)
-
- 基因组选择(GS)
使用三种GS模型(GBLUP、BayesB和LASSO)对杂交种的性状进行预测,并通过五折交叉验证评估预测准确性。
- 基因组选择(GS)
-
- 基因组评估
基于SPDC-HG设计,利用线性混合模型结合基因组信息预测所有可能杂交种的表型,并准确估计266个自交系的GCA值。
- 基因组评估
-
- 田间验证
选择预测的前100和后100个杂交种进行田间试验,验证GS方法的预测效果。
- 田间验证
-
基于SPDC-HG的基因组杂交育种路线图。
结果
-
- 杂交种表现
研究发现,不同杂种优势群之间的杂交组合表现出显著的遗传差异,尤其是Lvdahonggu × P和P × Reid组合在多个性状上表现出最高的杂种优势。
- 杂交种表现
-
- GS预测准确性
三种GS模型(GBLUP、BayesB和LASSO)的预测准确性在不同性状间变化,范围为0.473到0.795。其中,GBLUP和BayesB在多数性状上表现优于LASSO。田间验证显示,通过GS选择的前100个杂交种的平均穗重比后100个杂交种高105.4%到108.6%。
- GS预测准确性
-
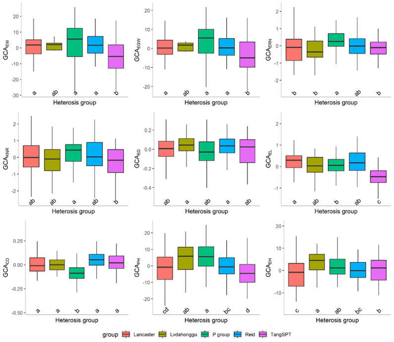
- GCA估计
通过基因组信息估计的GCA值在不同杂种优势群之间存在显著差异,P群在多个性状上表现出最高的GCA值,表明其具有较高的育种潜力。此外,GCA的预测准确性在不同性状间变化,GBLUP在多数性状上表现最佳。
- GCA估计
-
- GWAS分析
GWAS分析共识别出630个与GCA显著相关的SNPs,其中7到25个SNPs与九个产量相关性状的GCA稳定相关。通过基因组数据库筛选出264个候选基因,这些基因主要涉及细胞代谢、内胚乳发育、光合代谢途径等。
- GWAS分析
-
- 标记集对预测准确性的影响
研究发现,基于GCA显著SNPs的标记集显著提高了杂交种的预测准确性。例如,GCA_SNP2标记集在穗重预测中的准确性比全SNP集提高了10.1%。
- 标记集对预测准确性的影响
-
SPDC-HG****群体的构建
-
3种GS方法所选top 100和bottom 100****杂交种的田间验证
不同杂种优势群产量相关性状一般配合力的变异分布
产量相关性状一般配合力的全基因组关联分析
不同SNP标记数据集对玉米杂交种产量相关性状的预测准确性
优异基因型在杂交种的表现情况
讨论
-
- GS在玉米育种中的应用
研究结果表明,GS在玉米杂交育种中具有显著潜力,尤其是在选择高产杂交种方面。通过田间验证,GS方法能够有效识别出表现优异的杂交组合。
- GS在玉米育种中的应用
-
- GCA的准确估计
通过基因组信息和线性混合模型估计的GCA值为亲本选择提供了重要依据。研究中提出的SPDC-HG设计为解决玉米育种中GCA评估的瓶颈问题提供了一种有效方案。
- GCA的准确估计
-
- GWAS与基因组选择的结合
GWAS分析识别的显著SNPs为理解GCA的遗传基础提供了重要线索。通过将GWAS与GS结合,可以进一步提高杂交种预测的准确性。
- GWAS与基因组选择的结合
-
- 未来研究方向
未来的研究可以进一步整合多组学数据(如转录组学和代谢组学)以及更先进的统计模型(如深度学习),以进一步提高GCA估计的准确性和杂交种预测的效果。
- 未来研究方向
结论
本研究通过SPDC-HG设计和基因组技术的结合,为加速玉米杂交育种提供了新的策略。通过准确估计GCA和选择优异杂交组合,研究为玉米基因组杂交育种提供了有价值的见解和实践指导。
本文来自博客园,作者:生物信息与育种,转载请注明原文链接:https://www.cnblogs.com/miyuanbiotech/p/18843655。若要及时了解动态信息,请关注同名微信公众号:生物信息与育种。

浙公网安备 33010602011771号