ShinyGS:一个做基因组选择的图形工具包
近日,中国农业科学院烟草所昝艳君和西北农林科技大学赵涛课题组合作开发全基因组选择软件ShinyGS—a graphical toolkit with a serial of genetic and machine learning models for genomic selection: application, benchmarking, and recommendations,相关成果发表在Frontiers in Plant Science。
ShinyGS集成了目前已开发的常见主流GS模型。包括基于线性回归模型的岭回归(RR)、最小绝对收缩和选择算子(LASSO)、弹性网(EN);基于线性混合模型的基因组最佳线性无偏预测模型(GBLUP)、岭回归最佳线性无偏模型(rrBLUP);基于贝叶斯线性回归的贝叶斯LASSO(BL)、Bayes A(BA)、Bayes B(BB)、Bayes C(BC)、贝叶斯岭回归(BRR)模型;基于核函数的显性混合模型、多核再生核希尔伯特空间模型(MKRKHS)、再生核希尔伯特空间模型(RKHS);基于机器学习的梯度提升方法的模型(GBM)、随机森林(RF)以及支持向量机(SVM)模型和基于深度多层隐含神经网络架构的(DNNGP)等16个GS模型。
每个模型的描述。
ShinyGS 应用程序的工作面板。
其次,基于多亲本杂交、种质资源、自交系等多类型遗传群体,针对花期、产量和生长性状等不同性状进行了模型比较及模型使用建议。
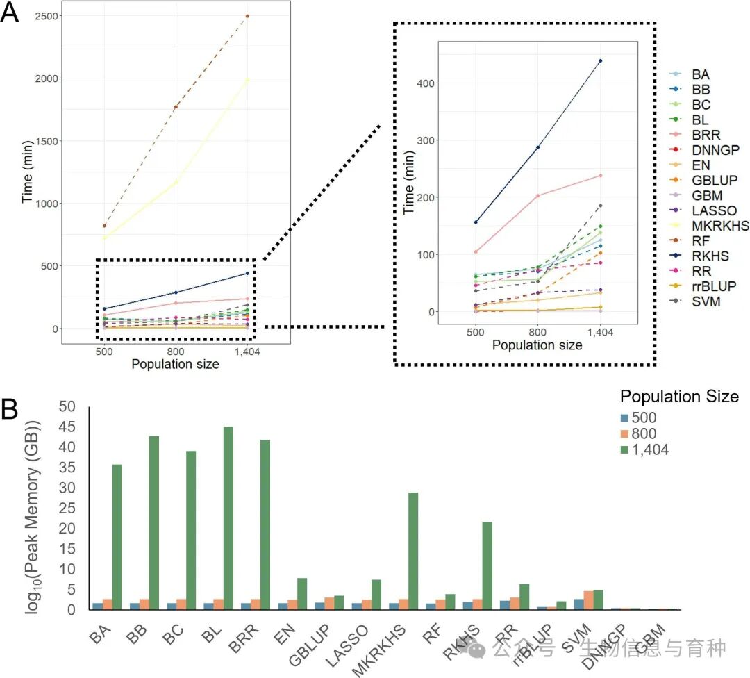
总体来看,贝叶斯模型预测精度一般,随着群体变大计算资源消耗显著增加,不推荐使用。
而rrBLUP、MKRKHS、GBM和DNNGP,在不同群体和性状中表现相对较好、模型消耗计算资源随群体变化在可接受范围,因此建议后续针对这几个模型进行重点比较。
282 个RIL的玉米多样性面板中预测 DTF 来证明 ShinyGS
玉米 CUBIC 种群的 16 个模型的预测精度。
玉米 Goodman 多样性面板的 16 个模型的预测准确性。
计算具有不同总体大小的不同模型的时间和内存使用情况。
ShinyGS上传至 Docker Hub,对非商业用户免费开放(https://hub.docker.com/r/yfd2/ags)。
本文来自博客园,作者:生物信息与育种,转载请注明原文链接:https://www.cnblogs.com/miyuanbiotech/p/18841909。若要及时了解动态信息,请关注同名微信公众号:生物信息与育种。

 
                
            
         
         浙公网安备 33010602011771号
浙公网安备 33010602011771号