这篇发表在New Phytol.上的水稻基因研究文章值得大家借鉴
分享一篇2024年7月由沈阳农业大学水稻研究所陈温福院士团队徐铨教授在New Phytologist杂志在线发表的文章:“Dissecting the molecular basis of the ultra-large grain formation in rice”。影响因子虽不高(当然是跟近期连连报道的顶刊相比~),但研究思路(or套路?)值得广大普通水稻研究人员参考,毕竟不是人人都能发CNS。
标题就可以借鉴一下
1. 特色材料基因组组装
首先从5000多份种质中鉴定到一个千粒重超过60g的超大粒种质资源ultra-large grain (ULG),形态学分析和电镜扫描表明,与高产优质水稻品种SN265相比较,ULG的籽粒长度、宽度、株高与穗长等都显著增加。利用3+2策略普通组装到染色体水平(为省钱,并不追求T2T),质量一般。
2. 比较基因组
将超长粒ULG基因组与籼稻参考基因组R498、粳稻参考基因组Nipponbare、高产优质水稻品种SN265进行了基因组间的变异鉴定,其中,ULG与粳稻Nipponbare的差异是最小的。同时进行了四个基因组的基因家族聚类与进化树分析,结果表明ULG与Nipponbare共有的基因家族最多,且这两个基因组在进化树上更近,以上结果都表明,ULG与粳稻的进化关系更近。
3. 超大粒性状基因定位
首先,ULG与SN265杂交构建F2群体,选择其中30个超大籽粒子代与小圆粒子代分别进行混池测序。利用亲本与子代混池测序数据进行BSA分析,最终在3号染色体上初定位了一个跨越12.19MB的候选区域。区间太大了,继续换一种方法~
利用ULG和SN265杂交的F8代RIL群体,203个RIL子代进行QTL定位,基于LOD阈值为2.5的ICIM方法,在3号染色体上定位了3个QTL,LOD值为2.65-23.45,PVE(表型方差解释)为0.02-28.75。
其中qULG-1 (LOD=2.65)与已知的两个籽粒大小基因OsLG3、OsMADS1定位在同一区域,qULG-3(LOD=23.45)与已报道两个籽粒大小基因GL3.1、GS3定位在同一区域。
比较ULG与SN265两个基因组序列,发现与SN265相比,ULG在所有4个基因区域上都是优势单倍型,因此推断ULG至少包含4个已知的籽粒长度调节基因。
4. 四个基因分别敲除验证
在ULG遗传背景下使用CRISPR/Cas9分别敲除OsLG3、OsMADS1、GS3和GL3.1这四个基因。在ULG与SN265遗传背景下,敲除OsLG3和GL3.1均减少了籽粒长度,敲除OsMADS1均会导致花器官异常。在SN265背景下,敲除GS3增加了籽粒长度,而敲除GS3不能进一步增加ULG的籽粒长度。
同时评估了4个基因在203个RILs中的作用。其中携带OsLG3和OsMADS1的ULG等位基因的植株粒长略大于携带SN265等位基因的植株,但差异不显著。与GS3SN265相比,GS3ULG等位基因显著增加了籽粒长度。同样,携带GL3.1ULG等位基因的植株比携带GL3.1SN265等位基因的植株表现出更大的籽粒长度,其中GL3.1ULG基因对籽粒伸长的影响最大,对应了QTL分析中GL3.1所在qULG-3区域的LOD值最高这一结果。
5. 四个基因的互作
为研究在SN265遗传背景下ULG等位基因是否能增加籽粒长度,以 ULG 为供体亲本,以 SN265 为受体亲本,培育了一系列近等基因系NILs。经过4代回交与4代标记辅助选择的近交,获得了含有单、双、三、四倍ULG等位基因的NIL子代,通过比较这些NIL的籽粒长度,发现OsLG3、OsMADS1、GS3和GL3.1之间存在加性效应,且OsLG3ULG、OsMADS1ULG、GS3ULG和GL3.1ULG的组合对应了NIL中最大的籽粒长度。同时,与前文研究结果一致,GL3.1在籽粒调节中起着关键作用。
同时进行了酵母双杂交实验,结果显示OsLG3、OsMADS1、GS3和GL3.1之间没有相互作用,只有OsMADS1和GS3之间存在相互作用。
接着,转录组分析。在ULG背景下,将四个基因敲除突变体的差异表达基因(DEGs)进行比较,发现共有1491个基因。同时,将含有ULG型等位基因的NILs与SN265基因的DEGs进行比较,发现了579个共表达基因。PFAM富集和GO分析表明,112个基因在孢粉素生物合成和花粉外壁形成相关的生物过程中富集,其分子功能与羧化酶和碳-碳裂解酶活性相关。值得注意的是,与ULG相比,CRISPR/Cas9敲除系中几乎所有112个基因都下调,而112个基因中的大多数基因在NILs中上调。
6. 寻找粒长新位点
以上只是已知基因及其单倍型分析,作者不死心,仍然要找新位点。
ULG的籽粒长度超过了含有四倍ULG等位基因的NIL子代,这表明除了以上4个基因外,还有其他基因对ULG籽粒长度有影响。将ULG与SN265候选区域的序列进行了比较,在910个预测基因的候选区域中,发现59个基因存在非同义snp, 14个基因在SN265和ULG之间存在移码突变。在qULG2区域中只出现了一个位点(LOC_Os03g28270),编码一种富含亮氨酸的重复受体样激酶(LRR-RLK),被命名为qULG2-b。
为了证实qULG2-b参与籽粒长度的调控,创建了CRISPR/Cas9敲除纯合突变体。结果表明,qULG2-b敲除纯合突变体的籽粒明显长于WT,表明qULG2-b对籽粒长度起负调节作用。
这里,作者没有对新位点进行进一步验证和分子机理的研究,比如跟已知位点的互作等(具体原因不详,可能等不及了吧),而是转而又来对已知基因的一因多效功能进行延伸研究。
7. 一因多效延伸研究
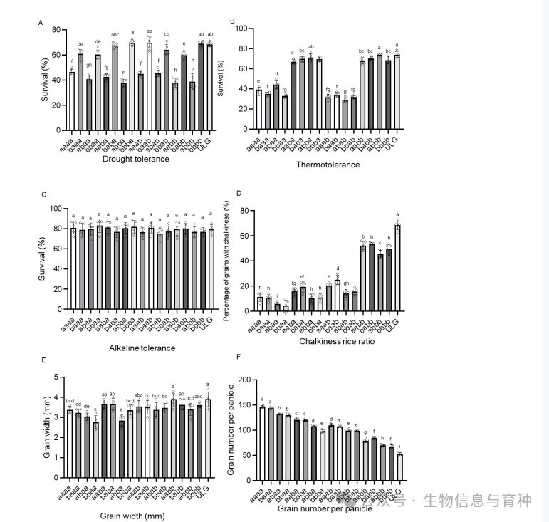
最新研究表明,除了粒长调节以外,OsLG3、OsMADS1和GS3还具有多效性,因此本研究试图基于这三个基因来提高SN265的性状。对前文构建的NIL群体进行了耐旱性、耐热性、耐碱性、垩白率、粒宽和每穗粒数调查。
NIL群体中,携带OsLG3-ULG的NILs表现出更高的耐旱性,GS3-ULG在不影响耐碱性的情况下提高了耐热性,OsMADS1-ULG提高了垩白相关性状,GL3.1-ULG显著影响了垩白率和每穗粒数。这些转基因植物在干旱、高温和碱性胁迫下的存活率显著提高。
总结
证明了ULG包含了4个已报道的有利等位基因,也发现了一个新的籽粒调节基因qULG2-b,初步揭示了水稻超大型粒形成的分子机制,为利用基因加性效应和基因编辑技术改良水稻品种提供了理论框架和宝贵的基因组资源。
别看“小小”一篇文章,没有太深的分子机制研究,可是耗费了研究人员不少精力啊!值得各位参考。
本文来自博客园,作者:生物信息与育种,转载请注明原文链接:https://www.cnblogs.com/miyuanbiotech/p/18766433。若要及时了解动态信息,请关注同名微信公众号:生物信息与育种。

浙公网安备 33010602011771号