JASB | 利用生物注释神经网络提高奶牛基因组预测准确性
近期,中国农大张毅教授联合华南农大张哲团队利用贝叶斯神经网络算法提高了奶牛基因组预测的准确性,文章发表在JASB(一区top)上:Improving the accuracy of genomic prediction in dairy cattle using the biologically annotated neural networks framework。
基因组选择已被广泛应用于动植物育种中,统计模型是影响选择准确性的关键因素之一。传统线性模型往往假定遗传变异仅以加性方式来影响表型,忽略了基因间的相互作用。生物注释神经网络(BANNs)是一类具有部分连接架构的前馈贝叶斯网络模型,其利用基于SNP集注释的部分连接架构,结合非线性激活函数,考虑位点间的互作。
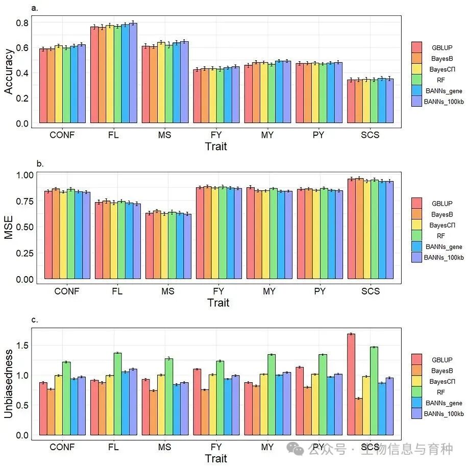
本研究利用奶牛数据将BANNs框架拓展到基因组选择领域,并探索了最佳SNP集划分策略。利用中国荷斯坦牛群体基因型和表型数据,其中基因型来自50K芯片,表型包括产奶性状、体型性状和乳房健康性状。在BANNs框架下,分别基于基因注释和100kb窗口两种SNP集划分策略构建了BANN_gene和BANN_100kb两种模型,并将其与传统GBLUP、随机森林、BayesB和BayesCp方法进行比较,通过5次重复的5倍交叉验证探索了BANNs模型在基因组预测上的效果。
BANNs算法
结果比较
BANNs框架在本研究测试中比传统的基因组预测方法具有更好的整体预测性能,或许可以作为奶牛基因组预测中一种有前景的替代方法。
文章链接:https://jasbsci.biomedcentral.com/articles/10.1186/s40104-024-01044-1
本文来自博客园,作者:生物信息与育种,转载请注明原文链接:https://www.cnblogs.com/miyuanbiotech/p/18402946。若要及时了解动态信息,请关注同名微信公众号:生物信息与育种。

浙公网安备 33010602011771号