第三周-客户流失相关判断
第一部分——飞机客户数据分析预测
代码一:读取数据
import pandas as pd datafile='F:\大数据挖掘-实训/air_data.csv' resultfile=r"F:\大数据挖掘-实训\explore.xlsx" data=pd.read_csv(datafile,encoding='utf-8') explore=data.describe(percentiles=[],include='all').T explore['null']=len(data)-explore['count'] explore=explore[['null','max','min']] explore.columns=[u'空值数',u'最大值',u'最小值']#表头重命名 ''' 这里只选取部分探索结果。 describe()函数自动计算的字段有count(非空值数)、unique(唯一值数)、top(频数最高者)、 freq(最高频数)、mean(平均值)、std(方差)、min(最小值)、50%(中位数)、max(最大值) ''' explore.to_csv(resultfile)

代码二:分析数据并绘制基本图像
from datetime import datetime import matplotlib.pyplot as plt ffp=data['FFP_DATE'].apply(lambda x:datetime.strptime(x,'%Y/%m/%d')) ffp_year=ffp.map(lambda x:x.year) #绘制各年份会员入会人数直方图 fig=plt.figure(figsize=(8,5)) plt.rcParams['font.sans-serif']='SimHei' plt.rcParams['axes.unicode_minus']='False' plt.hist(ffp_year,bins='auto',color='#0504aa') plt.xlabel('年份') plt.ylabel('入会人数') plt.title('各年份会员入会人数(3126)',fontsize=15) plt.show() plt.close #提取会员不同性别人数 male=pd.value_counts(data['GENDER'])['男'] female=pd.value_counts(data['GENDER'])['女'] #绘制会员性别比例饼图 fig=plt.figure(figsize=(10,6)) plt.pie([male,female],labels=['男','女'],colors=['lightskyblue','lightcoral'],autopct='%1.1f%%') plt.title('会员性别比例(3126)',fontsize=15) plt.show() plt.close() #提取不同级别会员人数 lv_four=pd.value_counts(data['FFP_TIER'])[4] lv_five=pd.value_counts(data['FFP_TIER'])[5] lv_six=pd.value_counts(data['FFP_TIER'])[6] #绘制会员各级别人数条形图 fig=plt.figure(figsize=(8,5)) plt.bar(x=range(3),height=[lv_four,lv_five,lv_six],width=0.4,alpha=0.8,color='skyblue') plt.xticks([index for index in range(3)],['4','5','6']) plt.xlabel('会员等级') plt.ylabel('会员人数') plt.title('会员各级别人数(3126)',fontsize=15) plt.show() plt.close #提取会员年龄 age=data['AGE'].dropna() age=age.astype('int64') #绘制会员年龄分布箱型图 fig=plt.figure(figsize=(5,10)) plt.boxplot(age, patch_artist=True, labels=['会员年龄'], boxprops={'facecolor':'lightblue'}) plt.title('会员年龄分布箱型图(3126)',fontsize=15) plt.grid(axis='y') plt.title('3126') plt.show() plt.close()





代码三:客户乘机数据分析箱型图
lte=data['LAST_TO_END'] fc=data['FLIGHT_COUNT'] sks=data['SEG_KM_SUM'] #绘制最后乘机至结束时长箱型图 fig=plt.figure(figsize=(5,8)) plt.boxplot(lte, patch_artist=True, labels=['时长'], boxprops={'facecolor':'lightblue'}) plt.title('会员最后乘机至结束时长分布箱型图(3126)',fontsize=15) plt.grid(axis='y') plt.show() plt.close #绘制客户飞行次数箱型图 fig=plt.figure(figsize=(5,8)) plt.boxplot(fc, patch_artist=True, labels=['飞行次数'], boxprops={'facecolor':'lightblue'}) plt.title('会员飞行次数分布箱型图(3126)',fontsize=15) plt.grid(axis='y') plt.show() plt.close #绘制客户总飞行公里数箱型图 fig=plt.figure(figsize=(5,10)) plt.boxplot(sks, patch_artist=True, labels=['总飞行公里数'], boxprops={'facecolor':'lightblue'}) plt.title('客户总飞行公里数箱型图(3126)',fontsize=15) plt.grid(axis='y') plt.show() plt.close



代码四:会员积分数据分析直方图
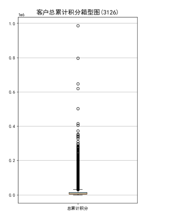
#积分信息类别 #提取会员积分兑换次数 ec=data['EXCHANGE_COUNT'] #绘制会员兑换积分次数直方图 fig=plt.figure(figsize=(8,5)) plt.hist(ec,bins=5,color='#0504aa') plt.xlabel('兑换次数') plt.ylabel('会员人数') plt.title('会员兑换积分次数直方图(3126)',fontsize=15) plt.show() plt.close #提取会员总累计积分 ps=data['Points_Sum'] #绘制会员总累计积分箱型图 fig=plt.figure(figsize=(5,8)) plt.boxplot(ps, patch_artist=True, labels=['总累计积分'], boxprops={'facecolor':'lightblue'}) plt.title('客户总累计积分箱型图(3126)',fontsize=15) plt.grid(axis='y') plt.show() plt.close


代码五:相关矩阵及热力图
#提取属性并合并为新数据集 data_corr=data[['FFP_TIER','FLIGHT_COUNT','LAST_TO_END','SEG_KM_SUM','EXCHANGE_COUNT','Points_Sum']] age1=data['AGE'].fillna(0) data_corr['AGE']=age1.astype('int64') data_corr['ffp_year']=ffp_year #计算相关性矩阵 dt_corr=data_corr.corr(method='pearson') print('相关性矩阵为:\n',dt_corr) #绘制热力图 import seaborn as sns plt.subplots(figsize=(10,10)) sns.heatmap(dt_corr,annot=True,vmax=1,square=True,cmap='Blues') plt.title('相关性热力图-3126') plt.show() plt.close


代码六:进行数据清洗
import numpy as np import pandas as pd datafile ='F:\大数据挖掘-实训/air_data.csv' cleanedfile='F:\大数据挖掘-实训\\data_cleaned.csv' #读取数据 airline_data=pd.read_csv(datafile,encoding='utf-8') print('原始数据的形状为:',airline_data.shape) #去除票价为空的记录 airline_notnull=airline_data.loc[airline_data['SUM_YR_1'].notnull()&airline_data['SUM_YR_2'].notnull(),:] print('删除缺失记录后数据的形状为:',airline_notnull.shape) #只保留票价非零的,或者平均折扣率不为0且总飞行公里数大于0的记录 index1=airline_notnull['SUM_YR_1']!=0 index2=airline_notnull['SUM_YR_2']!=0 index3=(airline_notnull['SEG_KM_SUM']>0)&(airline_notnull['avg_discount']!=0) index4=airline_notnull['AGE']>100#去除年龄大于100的记录 airline=airline_notnull[(index1|index2)&index3&~index4] print('数据清洗后数据的形状为:',airline.shape) airline.to_csv(cleanedfile)

代码七:
import pandas as pd import numpy as np #读取数据清洗后的数据 cleanedfile='F:\大数据挖掘-实训\\data_cleaned.csv' airline=pd.read_csv(cleanedfile,encoding='utf-8') #选取需求属性 airline_selection=airline[['FFP_DATE','LOAD_TIME','LAST_TO_END','FLIGHT_COUNT','SEG_KM_SUM','avg_discount']] print('筛选的属性前5行为:\n',airline_selection.head())

import pandas as pd import numpy as np #读取数据清洗后的数据 cleanedfile='D:\大三下大数据分析\课堂练习第三周\\data_cleaned.csv' airline=pd.read_csv(cleanedfile,encoding='utf-8') #选取需求属性 airline_selection=airline[['FFP_DATE','LOAD_TIME','LAST_TO_END','FLIGHT_COUNT','SEG_KM_SUM','avg_discount']] print('筛选的属性前5行为:\n',airline_selection.head())

雷达图代码:
%matplotlib inline import matplotlib.pyplot as plt # 客户分群雷达图 labels = ['ZL','ZR','ZF','ZM','ZC'] legen = ['客户群' + str(i + 1) for i in cluster_center.index] # 客户群命名,作为雷达图的图例 lstype = ['-','--',(0, (3, 5, 1, 5, 1, 5)),':','-.'] kinds = list(cluster_center.iloc[:, 0]) # 由于雷达图要保证数据闭合,因此再添加L列,并转换为 np.ndarray cluster_center = pd.concat([cluster_center, cluster_center[['ZL']]], axis=1) centers = np.array(cluster_center.iloc[:, 0:]) # 分割圆周长,并让其闭合 n = len(labels) angle = np.linspace(0, 2 * np.pi, n, endpoint=False) angle = np.concatenate((angle, [angle[0]])) # 绘图 fig = plt.figure(figsize=(8,6)) ax = fig.add_subplot(111, polar=True) # 以极坐标的形式绘制图形 plt.rcParams['font.sans-serif'] = ['SimHei'] # 用来正常显示中文标签 plt.rcParams['axes.unicode_minus'] = False # 用来正常显示负号 # 画线 for i in range(len(kinds)): ax.plot(angle, centers[i], linestyle=lstype[i], linewidth=2, label=kinds[i]) # 添加属性标签 ax.set_thetagrids(angle * 180 / np.pi, labels) plt.title('客户特征分析雷达图3126-tang') plt.legend(legen) plt.show() plt.close


浙公网安备 33010602011771号