图像压缩
JPEG
对于彩色图片处理 将rgb—>Y Cb Cr 通过一个3x1的可逆矩阵
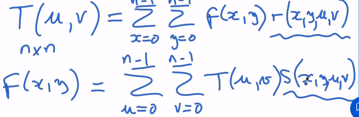
KL变换 是通过nxn个元素中选取第一个元素 乘以系数矩阵 来得到另外元素 比如将一个图片 分为 8x8 则将第一个图块 传输 乘以系数矩阵来得到另外63个图块,KL变换是MSR(均方误差)最小的变换,但系数矩阵不适用于每个图片 所以需要先获取图像信息,得出系数矩阵才能运行
DCT在压缩中的作用
可以参考https://zhuanlan.zhihu.com/p/576204849
DCT(discrete cosine transform) 则适用于所有图像。

有时候r和s是相等有时不等
r和s在理想情况下均方误差极小 但做不到KLT
因此需要用到DCT的通用公式


α(v)同理
选择DCT原因
1、在一些特定的情况下 DCT=KLT 比如图像满足马尔可夫链
2、对于周期性的假设 DCT更加实用
取用8x8
做多个小的换算比一个大的划算
另外就是DCT和KLT的相似性 在8x8里面出现马尔可夫链的概率更高,但在更大图中 这个概率会变得更小
 
                    
                
 
                
            
         浙公网安备 33010602011771号
浙公网安备 33010602011771号